桃花源qm花论坛(品茶),凤楼阁论坛官网入口网址,一品楼品凤楼论坛最新动态,风楼阁全国信息2024登录入口

你的位置:首页 > 电源管理 > 正文

确定薄膜电阻“飘移”后的阻值变化? 告诉你一个好方法!

发布时间:2021-09-03 来源:Vishay 责任编辑:wenwei

【导读】薄膜电阻在使用过程中,随着工作时间的增加,电阻的阻值会发生飘移,进而对整个电路系统的性能造成影响。为了能够确定电子产品在整个生命周期中的公差,有时希望对“最坏情况下” 薄膜电阻阻值的飘移变化程度有一个准确的估算。我们今天就为大家分享一个快速而准确的计算方法。
 
如何根据薄膜的运行时间,来计算或估算最坏情形下薄膜电阻值的飘移变化?
 
可以使用阿伦尼乌斯方程(Arrhenius equation)来估算电阻器的漂移(老化)。例如,你可以在 Vishay 的 TNPW e3 数据表的第 2 页上,找到“额定耗散下的最大电阻变化”表。
 
确定薄膜电阻“飘移”后的阻值变化? 告诉你一个好方法!
 
如上图所示,阻值的最大改变百分比会因不同的工作模式而变化。
 
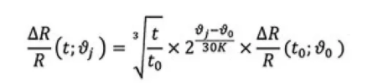
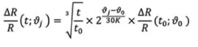
使用下面给出的阿伦尼乌斯方程式,客户可以根据数据表中所示的指定电阻变化来估算电阻漂移:
 
确定薄膜电阻“飘移”后的阻值变化? 告诉你一个好方法!
 
我们举一个例子来说明————假设在应用中运行了 15,000 小时,则可以按如下所述估算漂移:
 
确定薄膜电阻“飘移”后的阻值变化? 告诉你一个好方法!
 
数据表中的参数(标准工作模式)如下所示————要求在 P70 下运行 15,000 小时,因此在 70°C 的环境温度下为满负荷:
 
确定薄膜电阻“飘移”后的阻值变化? 告诉你一个好方法!
 
对于电阻值漂移的估算如下:
 
确定薄膜电阻“飘移”后的阻值变化? 告诉你一个好方法!
 
如果客户希望采用最坏情况下的阻值变化率来计算终端产品的生命周期公差,则可以将其设计中可能发生的所有变化相加在一起——即使实际的电阻变化可能较低。
 
 
免责声明:本文为转载文章,转载此文目的在于传递更多信息,版权归原作者所有。本文所用视频、图片、文字如涉及作品版权问题,请联系小编进行处理。
 
推荐阅读:
 
适用于 36V 电池的高效隔离
下一代尖端AI系统的电源解决方案
智能电机的 PMSM 参数识别
为什么使用DC-DC转换器应尽可能靠近负载的负载点电源?
使用增强模式NMOS晶体管的简单差分放大器
特别推荐
技术文章更多>>
技术白皮书下载更多>>
热门搜索

关闭

?

关闭