【导读】像倾斜传感器ADIS16209(见 附录)这样的传感器系统具有集成度高、规格全面的特点,采用紧凑型封装,并且价格合理,使系统开发人员能够轻松运用自己可能并不熟悉的传感器技术,从而将成本和风险降至最低。由于精度是完全按给定的功率电平确定,因而似乎会约束开发人员降低功耗的能力。但是,对于必须严格管理能量使用的应用,采用周期供电的方式为降低平均功耗提供了突破口。本文将重点讨论周期供电及其对总体功耗的影响。
我们中许多人都是在温馨的家庭环境中长大的,但父母总会冲我们大喊:"离开房间时把灯关上!我们家不是开电厂的!"实际上,他们是在教会我们一项重要的能源管理方法——周期供电,一种在不需要某项功能时关闭其电源的过程,例如在不需要进行测量时关闭传感器系统。这样做能够降低平均功耗,计算公式如下:

PON是系统处于正常工作状态时的功耗。POFF是系统处于关闭状态时的功耗。它与残留电流相关,如电源调节器要维持功率开关或关断模式所需的电流,其典型值在1 μA左右??羰奔?TON)是传感器系统开启、进行所需测量并重新关闭所需的时间量。关闭时间 (TOFF)取决于系统需要进行传感器测量的频繁程度。如果关闭功率远远小于开启 功率,则平均功耗实际上与占空比成正比。例如,如果关闭功率为零且占空比为10%,则平均功耗为正常工作功耗的10%。
传感器系统综述
传感器可将温度、加速度或应力等物理量转变成电信号。为了合理使用这些电信号,传感器元件需要一些支持功能,如激励、信号调理、滤波、失调和增益调整以及温度补偿。高级传感器产品还包括模数转换,并在单封装中提供所有这些功能,从而实现完整且经过校准的传感器至数据位的转换功能。这类产品无需用户进行器件级设计或复杂表征与校正运算,能够以更少的投入实现更短的设计周期。虽然高度集成的传感器产品可减轻进行电路级设计决策的负担,但如果希望利用周期供电来降低平均功耗,仍有必要了解其内部工作原理。
图1显示了许多完整传感器系统相关的功能。每个传感器元件都需要一个 接口电路来将元件中的物理变化转换为标准信号处理器件可用的电信号。例如,电阻应变计就是应力改变时阻抗发生变化的电阻,常以桥接电路的形式(带激励功能)将可变电阻转换成电信号。另一个例子是集成式微机电系统 (iMEMS®)惯性传感器,如加速度计和陀螺仪。它们采用小型结构,通过极板间位移改变导致电节点间电容改变,从而对惯性运动变化做出响应??杀涞缛菰慕涌诘缏芬话闶褂玫髦萍逗徒獾骷蹲楹希缛荼浠涑傻缧藕?。

1. 传感器系统示例
缓冲级为模数转换器 (ADC)的输入级准备信号,可包括电平转换、增益、失调校正、缓冲和滤波功能。传感器信号经过数字化处理之后,数字处理功能便进一步增加信息值。数字滤波, h(n)则可降低噪声,重点关注目标频带。例如,机器健康状况检测系统可能通过一个带通滤波器来关注与一般机械装置磨损相关的频率特征。其他需要稳定的直流基准电压的传感器可能倾向于使用低通滤波器。
由于系统中很多其他器件的影响,传感器精度可能有很大的差异。为了收缩误差分布并提高测量确定性,传感器系统通常包括一个校准程序,以确定各传感器在已知激励和条件下的特性,并提供特定单位公式来校正在所有预期工作条件范围内输出。最终处理级f(n)代表特定处理,例如用于将加速度计的静态地心引力测量转变成方位角的三角关系。
周期供电考虑因素
评估传感器系统中周期供电的有效性时,设计人员必须明确采集有用数据所花的时间。图2显示供电时一个典型的传感器系统响应。TM是测量时间,TC是周期时间。测量时间取决于启动时间T1、建立时间T2和数据采集时间T3.
启动时间 取决于系统处理器,以及支持传感器数据采样和信号处理操作所必须运行的初始化程序。使用高度集成的传感器系统时,通常产品文档中会规定启动时间。此类产品有时会提供休眠 模式,其启动时间更快,但代价是其断电功耗比关断模式要高。
建立时间 可包括传感器、接口电路、滤波器和物理器件的电气特性建立时间,以及热建立时间和机械建立时间。某些情况下,这些过渡特性在上电时间内建立,因此对总体测量时间影响很小,甚至没有影响。但是,分析这些特性的最保守方法是假设这些情形是依次发生的,除非进一步分析研究可以支持更有利的同时启动和建立假设。
数据采集时间取决于所需数据样本的数量、系统处理器读取数据的速度,以及精确数据采集准备就绪后处理器可以开始工作的时间。

图2. 周期供电期间的传感器响应
分析示例
本示例通过评估一个完全集成的MEMS倾斜传感器来确定影响精度和测量时间的参数,从而明确功率与性能的重要关系。以下四个步骤对此过程提供了简单的指引:
● 了解传感器的工作原理。
● 通过产品文档获取相关信息。
● 评估未明确规定的重要参数。
● 推算出功率与性能的关系。
1. 了解工作原理
示例的倾斜传感器系统与图1中的通用系统非常相似。MEMS加速度计包括传感器元件和接口电路。加速度计信号通过一个单极点低通滤波器,该滤波器将信号带宽限制在50 Hz。模数转换器以200 SPS的采样率运行,并将其输出送入数字处理级。数字处理功能包括一个均值滤波器、温度驱动器校正公式、将静态加速度计读数转变成倾斜角的数学函数、用户接口寄存器和一个串行接口。
假设偏置误差为零,当加速度计的测量轴与重力方向垂直时,其输出将为零。其测量轴与重力方向平行时,将产生 +1 g 或 –1 g的输出,极性取决于方向。静态加速度计测量与倾斜角之间的关系是一个简单的正弦或正切函数,如图3所示。这里的分析重点考虑水平模式(正弦)。

图3. MEMS倾斜传感器工作原理
2.通过产品文献获取相关信息
表1列出了影响高级传感器系统周期供电的参数。这些参数一部分可从产品数据手册获得,而其他参数需要针对终端系统性能目标进行分析。PON 和T1 是数据手册提供的参数。其余参数可用于估计T2 和 T3。关闭模式功率得自线性调节器的关断电流。
表1. 传感器系统技术指标

3. 利用经验假设来量化其余影响因素
建立时间影响一个传感器系统能够支持的精度和测量速率。许多不同的因素都会影响建立时间,但这里重点分析电的因素。估计建立时间需要性能目标、部分重要假设和一个用于分析传感器对供电响应的模型。第一项重要假设是滤波器在初始启动周期(上电时间)之后建立。虽然这两个周期可以同时进行,但以连续发生的方式着手分析是更为保守的方法。图4提供分析传感器对供电响应的简化模型。

图4. 建立时间分析的模型
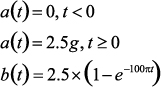
供电后,加速度计传感器的输出a(t)呈现阶跃响应。因为传感器采用单电源供电,其输出很可能会从零开始,并迅速转变至确定其方位的电平。为简明起见,假定零输出与最低有效加速度水平相对应。这种情况下,我们采用–2 g加速度,以便在最小额定值 –1.7 g的基础上提供一些裕量。同时,最大倾斜范围为+30°,相当于+0.5 g。将这两个间隔结合,加速度计信号在启动时可进行的最大转换为+2.5 g。单极点、低通滤波器的阶跃响应b(t)可通过以下公式获得:

包括数字滤波器的模型需要离散形式的b(t), 以及一个总和模型来仿真滤波器。

建立时间是在规定精度AE范围内稳定到最终值所需的时间。图5显示两条瞬态响应曲线,指示每条曲线达到0.1 g精度所需的建立时间。

图5. 上电瞬态响应
本例中,误差预算允许0.2°的建立精度。正弦公式提供一种将此目标转变成加速度衡量指标的简单方法。
使用诸如Excel或MATLAB之类的工具对此公式进行建模将非常简单。如果使用Excel,输出在N = 16时的第18次采样和N = 64时的第65次采样达到距 0.5 g约3 mg内的水平。将这些数值分别除以采样速率(200 SPS),可针对21 ms (N = 1)、90 ms (N = 16)和325 ms (N = 64)这些设置提供建立时间估计值。假设热建立的相关误差可忽略不计(如合理的话)。因为所考量的器件提供了温度校准响应,所以这一假设应该可以接受。验证此假设为在最终表征过程中确认精度提供了好机会。
此类系统的数据采集时间 T3不需要超过一个采样周期,因为所有必需的校正和滤波都在器件内部实现。采集时间只会使总体测量时间增加5 ms。
4.使功耗与周期时间相关
此分析的最后一部分与平均功耗和周期时间有关,周期时间实际上等于各测量事件之间的时间量。表2总结了重要的周期供电因素,包括传感器数据手册中规定或通过该简单分析过程产生的因素,以及完全启动(周期供电)和休眠模式恢复(周期休眠)的次数。
表2. 关键周期供电参数汇总

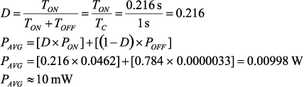
下面通过计算举例说明,如何使用这些参数来分析和比较一个要求测量速率为1 SPS的系统的周期供电和周期休眠。
周期供电:

周期休眠:

这里的周期休眠非常有利。但是,如果将周期时间增加至每分钟采样一次(TC = 60 s),周期供电方式的平均功耗会是0.2 mW,而周期休眠方式为1.2 mW。图6所示为周期时间与平均功耗的关系。

图6. 周期时间与平均功耗的关系
休眠模式保留全部初始化值,同时关闭系统其余部分。尽管保持这些设置需要一定功率,但恢复时间要比完全启动更快。倾斜传感器ADIS16209具有可编程休眠时间和自动唤醒功能。这种解决方案非常适用于那些具有数据就绪信号唤醒功能的主处理器,在读取所需数据后命令传感器再次在另一个固定的周期内重新处于休眠模式。使用休眠模式的另一MEMS产品实例是振动传感器ADIS16223,该传感器收集并储存振动数据,自动返回至休眠模式,然后启动对另一测量事件的倒计时。这种传感器非常适合需要进行周期性监控的系统,无需分配处理器资源来管理休眠模式和数据收集模式。
这里通过简单分析提供了部分有用的深度信息。具体而言,在某些情况下,不管休眠模式需要多少功率,通过休眠模式管理仍然能够实现节能。在上述示例中,需要以1 SPS速率进行倾斜测量的系统采用休眠模式,省电能力提高了4倍。此处,休眠模式针对最高6 s的测量周期时间可实现节能。对于测量周期时间更长的系统,与关断性能相关的功率开销更低,从而使得平均功率电平更低。
结论
无论是出于经济还是环保原因,降低功耗的要求都很普遍。降低功耗可以减小功率转换器、电池和太阳能电池等电源的尺寸和成本。其他潜在好处还包括降低热和机械设计要求,降低EMI辐射,有利于环境影响评级。
对于重视高集成度传感器产品但又不得不考虑尽可能降低功耗的工程师而言,本文提到的概念和分析方法提供了一个很好的起点。更重要的是,因为每种系统设计都存在新的机会与风险,所以确定并分析影响总体功率目标特性的相关思考过程将更加重要。完成初始分析之后,或许一句俄罗斯谚语"Доверяй, нопроверяй`"("信任,但要确认")最能说明该如何确保最终成功实现。要跟踪重要假设,例如建立精度(3 mg)及热建立因素是否会有影响。如果有合适的硬件,要在尽可能匹配其预期使用条件的情况下测试这些解决方案。最后,测试这些假设将增加自信,并可调整改善新假设,以用于今后的电源管理方法分析。
附录
iSensor® 双轴倾斜计ADIS16209图A)的数字输出在±180°的范围内与平行于重力方向(垂直模式)的一个平面的旋转角成正比,或在±90°的范围内与重力方向正切(水平模式)的两个平面的旋转角成正比。片内ADC对iMEMS®加速度计、内部温度传感器、电源的输出和一个辅助模拟输入进行数字化,并通过SPI兼容接口提供数据。灵敏度、采样速率、带宽和报警阈值均支持数字编程。该器件具有完整的功能,还包括一个12位辅助DAC、2.5 V精密基准电压、数字自测功能和可编程电源管理。ADIS16209采用3.0 V至3.6 V的单电源供电,快速模式下功耗为36 mA,标准模式下为11 mA,休眠模式下为140 μA。它采用16引脚LGA封装,额定温度范围为–40°C至+125°C。

图A. ADIS16209框图
iSensor®数字振动传感器ADIS16223(图B)集±70 g单轴iMEMS® 加速度计与灵活的低功耗信号处理器于一体,22 kHz传感器带宽和72.9 kSPS采样速率非常适合机器健康状况检测应用,均值/抽取滤波器则可针对低带宽应用进行优化。这款器件可以利用自动、手动或事件捕获三种数据采集模式,分别从三个轴捕获并存储1k样本。它还能测量温度和电源电压,捕捉峰值,并提供条件报警功能。ADIS16223采用3.15 V至3.6 V单电源供电,捕捉模式下功耗为38 mA,休眠模式下为230 μA。它采用16引脚LGA封装,额定温度范围为–40°C至+125°C。

图B. ADIS16223框图
推荐阅读:





