【导读】对于在反馈环路中采用MEMS惯性测量单元(IMU)的高性能运动控制系统,传感器对准误差常常是其关键考虑之一。对于IMU中的陀螺仪,传感器对准误差描述各陀螺仪的旋转轴与系统定义的“惯性参考系”(也称为“全局坐标系”)之间的角度差。为了管控对准误差对传感器精度的影响,可能需要独特的封装、特殊的组装工艺,甚至在最终配置中进行复杂的惯性测试。
所有这些事情都可能会对项目管理的重要指标:如计划、投资和各系统中IMU相关的总成本等,产生重大影响。因此,在设计周期的早期,当还有时间界定系统架构以实现最有效解决方案的时候,对传感器对准误差加以考虑是十分有必要的。毕竟,没有人希望在烧掉项目80%的计划时间和预算之后才发现,为了满足最终用户不容商量的交货要求,其并不昂贵的传感器需要增加数百甚至数千美元的意外成本,那样可就糟糕至极了!
设计系统的IMU功能架构时,有三个基本对准概念需要了解和评估:误差估计、对准误差对系统关键行为的影响以及电子对准(安装后)。初始误差估计应当包括IMU以及在运行过程中将其固定就位的机械系统这两方面的误差贡献。了解这些误差对系统关键功能的影响有助于确立相关性能目标,防止过度处理问题,同时管控无法兑现关键性能和成本承诺的风险。最后,为了优化系统的性能或以成本换空间,可能需要某种形式的电子对准。
预测安装后的对准误差
一个应用的对准精度取决于两个关键因素:IMU的对准误差和在运行过程中将其固定就位的机械系统的精度。IMU的贡献(ΨIMU)和系统的贡献(ΨSYS)通常并不相关,估计总对准误差时,常常是利用和方根计算将这两个误差源加以合并:

某些IMU规格表通过“轴到封装对准误差”或“轴到坐标系对准误差”等参数来量化对准误差。图1以夸张方式显示了ADIS16485中各陀螺仪相对于其封装边缘的对准误差。图中的绿色虚线代表封装定义的参考系的各轴。实线代表封装内部陀螺仪的旋转轴,ΨIMU代表三个对准误差项的最大值(ΨX、ΨY、ΨZ)。

图1: ADI16485轴到坐标系的对准误差。
为了预测系统对准误差的贡献(公式1中的ΨSYS),需要分析机械缺陷导致IMU在系统中的停靠位置相对于全局坐标系偏斜的可能性。使用焊接到印刷电路板的IMU时,这将涉及到以下考量因素:原始放置精度、焊料沉积的差异、回流焊期间的浮动、PCB关键特性(如安装孔等)的容差以及系统框架本身的容差等。使用模块式IMU时,它可以与系统外壳实现更直接的耦合,如图2所示。此类接口有两个关键机械特性可帮助管控安装偏斜误差:安装架(4×)和安装巢。

图2:内嵌式底板设计概念。
在此类安装方案中,四个安装架的高度差异就是机械差异的一个例子,可能引起x轴和y轴的安装偏斜。图3以夸张方式说明了这种偏差(H1与H2)对x轴安装偏斜(ΨX)的影响。

图3:安装架差异引起的对准误差。
Mounting Ledges: 安装架
公式2反映了x轴偏斜角度(ΨX)与高度差(H2到H1)和两个接触点间跨度(W到W1)的关系:
安装架高度差异对y轴的安装偏斜也有类似的影响。此时,?用封装长度(L)替换公式2中的宽度(W),便可得到如下用于估计y轴偏斜角度(ΨY)的关系式。
图4提供了另一个例子来说明机械特性如何影响z轴的安装偏斜。本例中,机械螺丝先穿过IMU主体的安装孔(位于四角),再穿过安装架的孔,最后进入安装架背部的锁紧螺母。这种情况下,机械螺丝的直径(DM)与底板中相关通孔的直径(DH)之间的差异会引起z轴偏斜。

图4:安装螺丝/孔对z轴偏斜角度的影响。
公式4反映了z轴安装偏斜(ΨZ)与直径差和旋转半径(RS,等于相对两角的两个安装螺丝间距离的一半)的关系。
7
示例1
使用2mm机械螺丝将ADIS16485安装到6mm×6mm安装架上,安装架的孔直径为2.85mm,高度容差为0.2mm,估算与此相关的总对准误差。
求解
使用44mm的标称宽度(W),x轴偏斜角度(见图3)预测值为0.3度。
封装各边上安装孔间的标称距离分别为39.6mm和42.6mm。这些尺寸构成直角三角形的两边,其斜边等于封装相对两角的两个孔之间的距离。旋转半径
(RS,见图4)等于此距离的一半(29.1mm),因此z轴偏斜的预测值为0.83度。

对于式1中的复合预测公式,ΨSYS等于ΨZ(估算最大值),ΨIMU等于1度(依据IMU数据手册中的轴到坐标系对准误差规格)。因此,总对准误差估算值为1.28度。
对准误差对系统精度的影响
为应用制定精度标准时,了解对准误差与其对陀螺仪精度影响之间的基本关系是一个很好的着手点。为了说明该过程,图5提供了三轴陀螺仪系统的通用模型。图中的三条绿色实线代表全局坐标系的三轴,黑色实线代表所有三个陀螺仪的旋转轴,带Ψ标签代表全局坐标系与陀螺仪轴之间的对准误差。公式5、公式6和公式7显示了对准误差对各陀螺仪绕全局坐标系中指定轴旋转的响应的影响。在这些公式中,对准角度误差的余弦引入一个比例误差。

图5:正交三轴陀螺仪的对准误差。
对准误差还会对各轴产生跨轴影响。为了量化这些影响,需要将各轴的对准角度误差分解为与其它两轴相关的两个分量。例如,ΨX有一个y轴分量(φXY)和一个z轴分量(φXZ),导致x轴陀螺仪对绕全局坐标系中所有三轴旋转(ωX, ωY, ωZ)的响应扩展如下:
y轴和z轴陀螺仪也有同样的扩展:
对公式8、公式9和公式10的两侧积分,可得到关于角位移的类似关系。在得到的公式11、公式12和公式13中,我们关心的角度是相对于全局坐标系的角位移(θXω, θYω, θZω)和各陀螺仪的积分(θXG, θYG, θZG)。

示例2
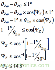
一种地面无人驾驶车辆(UV)利用MEMS IMU作为平台稳定控制(PSC)系统中的反馈传感器以支持其天线。此系统采用RSS调谐器环路,后者要求方位角和仰角保持在±1?范围内,以便维持连续通信。在大多数动态情况下,PSC高度依赖y轴陀螺仪测量来控制仰角,以及依赖z轴陀螺仪测量来控制方位角。在此类动态情况下,航向角(θZω)的最大变化为30?,并且在作这种机动期间没有绕x轴或y轴的旋转(θXω = θYω = 0)。
求解
由于绕x轴和y轴的旋转为0,公式8和公式9可简化为:
从y轴开始,设θYG的最大边界为1?,求解对准误差项ΦYZ。这样便可求得y轴陀螺仪的最大允许对准误差为1.9度。
对于z轴,设θZω等于30?,θZG和θZω之差的最大边界为1度,然后求解ΨZ。这样便可求得z轴陀螺仪的最大允许对准误差为14.8度。

上述计算表明,对于这种特定机动/情形,y轴和z轴之间的跨轴行为要求对准精度约为1.9度。
电子对准
在IMU和安装系统不满足关键系统目标的情况下,电子对准提供了一种减小对准误差的方法。该过程有两个重要步骤:测定对准误差项(IMU安装之后)和制定一个校正对准矩阵。将该矩阵应用于陀螺仪阵列时,陀螺仪将像已与全局坐标系对准一样作出响应。公式14为此过程提供了一个系统模型,其中绕全局坐标系各轴的旋转(ω)是三个系统输入,三个陀螺仪响应(G)是系统输出,3 × 3矩阵(M)代表输入与输出之间的系统行为(包括对准误差)。
通过简单的算术操作可得,陀螺仪测量结果(G)与M的逆矩阵(M–1)的乘积等于全局坐标系的旋转阵列(ω)。因此,对准矩阵等于M–1。
基于公式8、公式9和公式10,可将公式14扩展以包括对准误差项,如公式16所示,公式17和公式18是更一般形式:

一次仅绕一个轴旋转整个系统可将系统模型简化到足够简单的程度,使得矩阵中的每个元素都可以通过一次陀螺仪测量获得。例如,让系统绕x轴旋转(ωX = ωTR, ωY = 0, ωZ = 0),同时观测所有三个轴,则M11、M21和M31的关系可简化如下:
采用同样的方法,绕y轴旋转(ωX = 0, ωY = ωTR, ωZ = 0),则M12、M22和M32的关系可简化如下:

最后,绕z轴旋转(ωX = 0, ωY = 0, ωZ = ωTR),则M13、M23和M33的关系可简化如下:

显然,运动配置(ω)的精度和陀螺仪测量(G)对此过程有直接影响。具体说来,偏轴运动对此过程有显著影响,当购买和部署依赖这些要求的惯性测试设备时,必须予以考虑。就陀螺仪精度而言,偏置和噪声是两大威胁,在此过程中通常需要考虑。为了管控陀螺仪测量中残余偏置误差(bE)的影响,有一个技巧是使用两个不同的旋转速率——大小相等但方向相反。例如,绕y轴沿正方向旋转时(ωY = ωTR, ωX = ωZ = 0),公式28描述了z轴陀螺仪响应和偏置误差。公式29则描述了绕y轴沿负方向旋转时(ωY = –ωTR, ωX = ωZ = 0)z轴陀螺仪的响应。
变换公式29,写出偏置误差(bE)的表示形式,代入公式28中,然后求解M32。注意偏置误差(bE)是如何从公式中消除的。

此公式假设偏置误差在两次测量中保持不变,这并不是一个符合实际的期望,不同测量之间可能存在偏差(温度、时间和噪声),对此应有清醒的认识。当在稳定的温度条件下连续进行测量时,噪声常常是此过程中需要管控的关键误差。在陀螺仪测量中,可接受的噪声水平取决于对准精度目标(ΨT)和测定过程中各轴上的旋转速率(ωTR)。惯性条件保持不变时,一种常用的降噪技术是对陀螺仪数据求均值。利用Allan方差曲线这个工具可以了解可重复性(噪声)与均值时间之间的权衡关系。
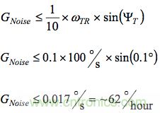
示例3
如果特性测定期间的旋转速率为100?/s,对准精度目标为0.1度,噪声(rms)必须比对准误差目标低10倍,那么为了实现这些目标,我们需要对ADIS16485的输出求多长时间的均值?
求解
使用陀螺仪与输入之间的一般响应(在测试平台上旋转),下面的计算表明:各陀螺仪的总噪声(rms)必须低于62?/小时。

图6通过一个例子说明了如何使用此IMU的Allan方差曲线来选择均值时间以满足上述要求。本例中,0.1秒的均值时间可满足62?/小时的可重复性目标,还有一些裕量。

图6:ADIS16485 Allan方差曲线。
注意,这种方法仅针对传感器本身的噪声。若测试平台有振动,会增加陀螺仪测量的噪声,则可能需要额外的考虑和滤波。
简化对准过程的技巧和窍门
开发一个具有必要的精度和环境控制温度的三轴惯性测试系统,通常需要在固定设备和工程开发资源方面投入巨资。对于那些正在开发第一代或第二代系统,在开发过程中有很多问题需要回答的公司,可能没有此类资源或时间。这就产生了简化解决方案的需求,通过谨慎选择IMU并利用仪器或应用中的自然运动可以实现简化。
例如,有时候使用角度可能比使用角速率测量来得更方便。公式31是公式11、公式12和公式13合并的结果,它用相对于全局坐标系的角度(θXω, θYω, θZω)和陀螺仪输出的积分(θXG, θYG, θZG)来代表系统行为(M):
关于器件选择,轴到轴对准误差是一个需要考虑的重要参数,因为当它低于轴到封装对准误差参数时,将有助于降低与电子对准相关的惯性测试配置(公式16)的复杂度。轴到封装对准误差参数描述的是陀螺仪相对于外部机械基准的方位,而轴到轴对准误差参数描述的是各陀螺仪相对于另外两个陀螺仪的方位。多数情况下,MEMS IMU中三个陀螺仪的理想方位是彼此成90?,因此轴到轴对准误差与此行为的另一个常见参数(跨轴灵敏度)相关。利用公式7作为参考,轴到轴对准误差代表这三个关系的最大值:


图7:轴到轴对准误差。
制定电子对准流程时,轴到轴对准误差参数确定的是假设传感器完全正交对准时的误差。使用完全正交这一假设条件,仅旋转两轴便可对准所有三轴。例如,绕y轴和z轴旋转便可直接观测到M12 、M13、M22、M23、M32和M33。假设完全正交对准并应用三角函数,便可利用以上6个元素和以下关系式计算其他三个元素(M11、M21和M31):

以上等式可将系统模型更新如下,其中M矩阵中的所有9个元素用从y轴和z轴旋转得来的6个元素表示。
结论
惯性MEMS技术在过去几年已经取得长足进步,为系统开发商在复杂权衡范围内提供了广泛的选项,包括尺寸、功耗、单位成本、集成成本和性能。对于首次利用MEMS IMU开发运动控制系统的人员,为了选择合适的IMU并准备利用该IMU来支持关键系统需求,会有很多东西需要了解。对准精度对性能、成本和计划方面的关键目标会有重大影响,必须予以认真考虑。在概念和架构设计阶段,即使很简单的分析工具也能帮助找出潜在的风险,因此应当趁着还有时间影响器件选择、机械设计、安装后校准(电子对准)、初步成本预测和关键计划节点的时候,多做些工作。更进一步说,识别MEMS IMU的关键指标和机会,用系统中提供的自然运动代替三轴惯性测试设备以最大限度地发挥系统的价值(性能和总开发成本),将是非常有益的。
【推荐阅读】





