中心议题:
- 电容式触摸屏的基本结构
- 单层ITO膜多点式触摸设计
解决方案:
- 单层ITO膜多点式触摸设计及结果验证
1 引言
目前电容式触摸屏已经广地应用于彩色和黑白TFT—LCD显示屏,具有可靠性高、耐用性好等优点,非常适合于通讯、消费类电子、仪器仪表等应用领域。但目前电容式触摸屏大多使用多层ITO结构,制造工艺复杂。因此,单层ITO电容式触摸屏,特别是能够实现多点触摸的电容式触摸屏,成为电容式触摸屏的一个研究方向。
本文提出了一种单层ITO结构实现电容式触摸屏的设计方法,能够实现单点/多点触摸功能。
2 电容式触摸屏的基本结构
电容式触摸屏的基本结构如图1所示。Lens材质是玻璃或者PMMA/PC等材料,具有较高的表面硬度以及一定的机械强度,用于提高触摸屏的可靠性;Sensor一般是单层或多层ITO膜层结构,基板为玻璃或PET材料;中间是贴合层,用于将Lens和Sensor贴合,一般为0CA光学胶膜或者UV胶进行贴合。

图1电容式触摸屏结构
电容式触摸屏中Sensor的电极设计尤为关键,目前流行的主要有菱形图案、系状图案以及网状图案等设计,如图2所示。其中网状结构必须为双层IT0膜;条状、菱形图案可以制造成单层ITo膜,但需要搭桥方式连接X方向或y方向的电极。



图2各种电极图形
多层方式会降低透过率且工艺复杂。搭桥方式,因绝缘层膜厚与IT0或者金属膜厚差别较大,容易产生断裂问题。因此本文提出一种新型设计,用来改善以上情况。
3 单层ITO膜多点式触摸设计
3.1 原理
电容式触摸屏的工作原理是设计出一组特殊的电极走线,将“边缘场”引到手指能够得到的有效感应区域,把手指放在边缘电场的附近将增加电容式系统的导电表面积。由手指所产生的额外电荷积聚电容被称为手指电容Cf。在本文中,无手指触摸时的传感器电容用Cp表示,它代表寄生电容。这两个电容为触摸屏的关键设计参数。
[page]
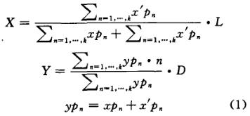
根据平行板电容公式,电容量与面积成正比,因此可以设计一组三角形电极,实现二维方向的感应,如图3所示。

图3单层电极图形
其中Cn代表第九组电极的Cp。n代表电极的组数,L是电极宽,D是一组电极的高。其X坐标的计算是通过左侧通道的感应值加和与右侧通道感应值加和的比例来计算的。y是通过同一行的左右两通道感应值的加和与上下行的感应值加和的比例来计算的。具体计算方法由式(1)确定:

此种单层ITO设计可以实现二维方向的坐标识别。但是此种设计只能实现单点式设计。对于两个手指同时触摸的情况下,在X方向则无法分辨。因此本文又提出一种改进的图形设计,使其能够识别两个手指的触摸感应。
3.2 多点触摸设计
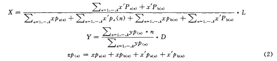
多点触摸的设计关键在于实现单点触摸功能的同时,也能检测两个手指触摸的位置。如图4所示,改进后的电极设计增加多组菱形设计,使用导线将其引出。

图4多点触摸电极图形
其中Ca(n)'''',代表第n组电极a的Cp,其余电极记法相同,Ca(n)、Ca(n)''''、Cb(n)、Cb(n)''''为一组感应电极。
单点工作方式与上述坐标计算方法相同,X坐标的计算是通过左侧两通道的感应值加和与右侧两通道感应值加和的比例来计算的。y是通过同一行的左右4通道感应值的加和与上下行的感应值加和的比例来计算的。具体计算方法由式(2)确定:
[page]
多点工作方式,需要引入Z坐标,Z代表手指与触摸屏感应电极接触面积的大小,也能代表手指输人压力的大小。具体计算方法由式(3)确定:

设Zth为双手指操作时Z的阈值。Z值超过Zth则为双手指操作。
Ca(n)、Cb(n)、为第一组感应电极,Cb(n)、Cb(n)''''为第二组感应电极,Ca(n)''''、Cb(n)''''为第三组感应电极,分别感应X1、X2、X3范围内坐标点的位置。具体坐标计算方法与上述类似。设计中需要注意X1、X2、X3每组电极的宽度应与手指接触面积的宽度相当,如宽度不足则需要增加菱形电极,否则手指接触在相同区域内无法识别两个感应点。
3.3 结果验证
实际电极设计中,每对感应单元设计为多组电极,并根据Lens的厚度设计电极面积以及间隙大小。间隙过大会导致线缝可见,因此使用假电极进行填充使线缝在30μm以内则可以避免上述问题。经过实际测试,在实现单点触控基本功能的同时,能够实现两点触控,满足设计要求。操作效果如图5所示。

图5操作效果照片
4 结论
通过详细分析电容式触摸屏的结构以及电极设计,为电容式触摸屏提供了一种单层膜ITO实现多点触摸的设计方案。实际验证结果表明,在单手指触摸和两根手指触摸的情况下,所设计的触摸屏能够准确报出坐标点。所提出的方案为低成本电容式触摸屏提供了一种简单的设计思路及方法。






