【导读】几乎所有的电子电路都依赖于放大器,放大器电路会放大它们接收到的输入信号?;镜姆糯笃鞯缏酚伤嵝途骞茏槌?,晶体管偏置使器件在有源区运行。晶体管的有源区用于放大目的。当晶体管偏置为有源区时,施加在输入端子上的输入信号会使输出电流出现波动。波动的输出电流流过输出电阻,产生经过放大的输出电压。
本文要点:
? 小信号 RF 放大器的用途。
? 用于小信号 RF 放大器的分压器晶体管偏置电路。
? 单级小信号 RF 放大器的设计步骤。
几乎所有的电子电路都依赖于放大器,放大器电路会放大它们接收到的输入信号。基本的放大器电路由双极结型晶体管组成,晶体管偏置使器件在有源区运行。晶体管的有源区用于放大目的。当晶体管偏置为有源区时,施加在输入端子上的输入信号会使输出电流出现波动。波动的输出电流流过输出电阻,产生经过放大的输出电压。
有些放大器能放大微弱 RF 输入信号且(与静态工作点相比)输出电流波动较小,它们称为小信号 RF 放大器。小信号 RF 放大器的设计可以采用共基极、共发射极或共集电极配置。本文将重点介绍共基极小信号 RF 放大器设计。
单级小信号 RF 放大器
小信号 RF 放大器可以是单级放大器,也可以是多级放大器。在单级小信号 RF 放大器中,使用晶体管来放大输入信号。向偏置设置在有源区的晶体管提供输入信号。根据输入信号的变化,输出电流也随之变化,从而得到放大后的输出电压。小信号 RF 放大器也可称为电压放大器。
设计小信号 RF 放大器所需的输入包括输出电流、输出电压、直流偏置电压和晶体管电流增益。电流增益是晶体管的内部特性,可从产品手册中获取。
接下来,我们来了解一下小信号 RF 放大器的晶体管偏置。
小信号 RF 放大器的分压器晶体管偏置
小信号 RF 放大器的设计从晶体管偏置电路开始。让我们以一个具有高电平值 NPN 晶体管的共基、小信号 RF 放大器设计为例。集电极电流和集电极输出电阻上的电压分别构成输出电流和输出电压。用 VCC 来表示输入偏置电压。请注意,在本例中,我们使用分压器晶体管偏置电路进行进一步讨论,因为它是放大器中最常用的晶体管偏置电路,而且电路结构简单,工作点稳定性较好。
当晶体管采用共基配置时,晶体管基极和集电极端的电阻 R2 和 RC 将晶体管连接到直流输入电压 VCC。电阻 R1 和 RE 分别将晶体管的基极和发射极接地。通过选择合适的电阻值,可以固定晶体管放大器的工作点。分压器晶体管偏压使晶体管的工作点几乎不受放大倍数(β 值)影响。因此,分压器偏置电路也称为与 β 值无关的偏置电路。
要设计这种晶体管,应遵循几个关键步骤。
单级小信号 RF 放大器的设计步骤
设计带分压器晶体管偏置的小信号 RF 放大器时应遵循以下步骤:
针对给定的设计参数,即输出电流 (IC)、输出电压 (VC)、直流偏置电压 (VCC) 和晶体管电流增益,选择晶体管的工作点。
考虑到偏置稳定性,发射极电阻 RE 上的电压固定为 VE。
对于高 β 值晶体管,集电极 (IC) 和发射极 (IE) 电流大致相等。根据 IE 和 VE,设计电阻 RE 时使用的公式为
电阻 RC 的计算公式为
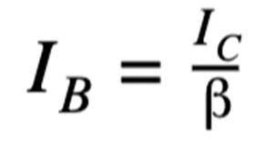
根据 IC 和 β,基极电流为
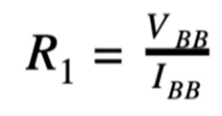
对于硅晶体管,基极和发射极上的压降 VBE 等于 0.7 V?;缪?VBB 的计算公式为
从直流输入电压到晶体管基极的电流为 IBB。假设 IBB 值,则电阻为
根据公式 R1,可设计电阻 R2
耦合电容器 Cin 和 CC 设计为阻断直流电流,只允许交流电流通过。
旁路电容器 CE 按照公式设计
按照上述步骤,就可以设计出一个小信号射频放大器。在小信号 RF 放大器设计中,稳定晶体管的工作点是一个重要问题。晶体管的内部特性会随温度变化而变化,这会影响放大器的工作点和功能。
Cadence Celsius Thermal Solver 是业界首个面向电子工程师的热分析技术。它为单片微波集成电路(MMIC)、集成电路封装、射频 PCB、??楹臀⒉?射频系统提供了完整的电热协同仿真技术。Celsius Thermal Solver 集成在 Cadence AWR Design Environment 平台中,为元件密集的大型射频/微波系统和高功率放大器(HPA)的设计验证和签核提供随时可用的高容量电热分析(图 1)。
图 1:使用 Celsiu Thermal Solver 对射频功率器件和合路器汇流排进行分析
利用有限元分析(FEA)场求解器与先进的自适应网格划分技术相结合,Celsius Thermal Solver可以分析复杂固体结构中的稳态热传导,包括带过孔和气桥的氮化镓/砷化镓(GaN/GaAs)场效应晶体管(FET)和高电子迁移率晶体管(HEMT)器件,以及带有凸点或键合线的复杂封装。强大的 3D 热分布分析与自动化环境中的 3D 电气仿真相结合,实现真正的电热协同仿真,对温度和电流之间的重要相互作用进行迭代。
免责声明:本文为转载文章,转载此文目的在于传递更多信息,版权归原作者所有。本文所用视频、图片、文字如涉及作品版权问题,请联系小编进行处理。
推荐阅读:
AGIC通用人工智能展与IOTE物联网展携手圆满落幕,物联网科技盛宴精彩纷呈!
贸泽、Analog Devices和Samtec推出全新电子书 汇集各路专家关于信号完整性的真知灼见



