桃花源qm花论坛(品茶),凤楼阁论坛官网入口网址,一品楼品凤楼论坛最新动态,风楼阁全国信息2024登录入口

你的位置:首页 > RF/微波 > 正文

调频信号是如何产生的?解调有哪几种?

发布时间:2020-06-01 责任编辑:lina

【导读】调频就是用调制信号控制载波的频率变化。直接调频就是用调制信号直接去控制载波振荡器的频率,使其按照调制信号的规律线性的变化。
  
1.调频信号的产生
调频的方法主要有两种:直接调频和间接调频。
 
1)直接调频法
调频就是用调制信号控制载波的频率变化。直接调频就是用调制信号直接去控制载波振荡器的频率,使其按照调制信号的规律线性的变化。
 
调频信号是如何产生的?解调有哪几种?
图1 FM调制器
 
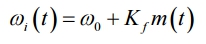
由上图可知,FM调制可以由外部电压控制震荡频率的振荡器叫做压控振荡器(VCO)。每个压控振荡器自身就是一个FM调制器,因为它的震荡频率正比于输入控制电压,即
 
调频信号是如何产生的?解调有哪几种?
 
若用调制信号作控制电压信号,就能产生FM波。
 
若被控制的振荡器是LC振荡器,则只需控制震荡回路的某个电抗元件(L或者C),使其参数随调制信号变化。目前常用的电抗元件是变容二极管。用变容二极管实现直接调频,由于电路简单,性能良好,已经成为目前最广泛采用的调频电路之一。
 
在直接调频法中,振荡器与调制器合二为一。这种方法的主要特点是在实现线性调频的要求下,可以获得较大的频偏。其主要缺点是频率稳定度不高,因此往往需要采用自动频率控制系统来稳定中心频率。
 
2)间接调频法
间接调频法(简称间接法)是将调制信号积分,然后对载波进行调相,即可产生一个NBFM信号,再经n次倍频器得到WBFM信号,其原理框图如下图所示。这种产生WBFM的方法称为阿姆斯特朗法或间接法。
 
调频信号是如何产生的?解调有哪几种?
图2 间接法产生WBFM
 
图中倍频器的作用是提高倍频指数,从而获得宽带调频WBFM。倍频器可以用非线性器件实现,然后用带通滤波器滤去不需要的频率分量。间接法的优点是频率稳定度高,缺点是需要多次倍频和混频,因此电路较复杂。
 
2.调频信号的解调
调频信号的解调也分为相干解调和非相干解调。相干解调仅适用于NBFM信号,而非相干解调对NBFM和WBFM信号均适用。
 
1)非相干解调
调频信号的一般表达式为:
 
调频信号是如何产生的?解调有哪几种?
 
这就是说,调频信号的解调是要产生一个与输入调频信号的频率成线性关系的输出电压。完成这种频率--电压转换关系的器件是频率检波器,简称鉴频器。
 
鉴频器有多种,下图3描述了一种用振幅鉴频器进行非相干解调的原理框图。图中,微分器和包络检波器构成了具有近似理想鉴频特性的鉴频器。微分器的作用是把幅度恒定的调频波变成幅度和频率都随调制信号变化的调幅调频波,即
 
调频信号是如何产生的?解调有哪几种?
 
而包络检波器则将其幅度变化检出并滤去直流,再经低通滤波器后解调输出,即
 
调频信号是如何产生的?解调有哪几种?
图3  振幅鉴频器的原理框图
 
图3中限幅器的作用是消除信道中噪声和其他原因引起的调频波的幅度起伏,带通滤波器(BPF)是让调频信号顺利通过,同时滤除带外噪声及高次谐波分量。
 
鉴频器的种类很多,除了上述的振幅鉴频器之外,还有相位鉴频器、比例鉴频器、正交鉴频器、斜率鉴频器、频率负反馈解调器、锁相环(PLL)鉴频器等。
 
2)相干解调
由于NBFM信号可分解成同相分量和正交分量之和,因而可以采用线性调制中的相干解调来进行解调。
 
可见,相干解调可以恢复原调制信号。这种调制方式与线性调制中的相干解调一样,要求本地载波与调制载波同步,否则将使解调信号失真。
 
  
免责声明:本文为转载文章,转载此文目的在于传递更多信息,版权归原作者所有。本文所用视频、图片、文字如涉及作品版权问题,请联系小编进行处理。
 
 
推荐阅读:
守护屏幕零部件 点亮智慧生活——德莎单面胶带解决方案
MEMS陀螺仪是如何工作的?
开关型霍尔集成电路有何作用?
三极管开关设计分析
如何将上电时序做到极致?
要采购振荡器么,点这里了解一下价格!
特别推荐
技术文章更多>>
技术白皮书下载更多>>
热门搜索

关闭

?

关闭