【导读】关于串扰,之前发布过两篇文章,但都浅尝辄止,本文试图从串扰的根本原理出发,重新探讨串扰话题,为高级篇。
关于串扰,之前发布过两篇文章,但都浅尝辄止,本文试图从串扰的根本原理出发,重新探讨串扰话题,为高级篇。
提到串扰,对于大多数信号完整性工程师来说,首先想到的应该就是图1所示的典型的串扰原理图和图2所示的典型的串扰波形。

图1典型的串扰原理图

图2典型的串扰波形
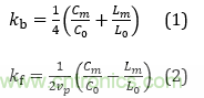
从侵入线(Aggressor)的发送端注入一个具有快速上升沿的阶跃信号,经过td到达侵入线的接收端,在受害线(Victim)的两端分别观测到耦合造成的近端串扰(Near End Crosstalk,NEXT)和远端串扰(Far End Crosstalk,FEXT)。对于无损传输线,当耦合长度大于饱和长度时,近端串扰系数为Kb ,远端串扰系数为Kf ,分别表示为公式(1)和公式(2),其中 代表信号在传输线中的传输速度。

在此有两个疑问:
1、经典的串扰分析都是注入的信号为一个具有快速上升沿的阶跃信号,如果将阶跃信号替换为任意波形,那么得到的串扰波形会是什么?
2、为什么近端串扰系数中的常系数是1/4,而远端串扰系数中的常系数为1/2?
带着这两个疑问,我们重读串扰的基本原理,试图找到答案。
1、波的传播
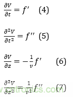
函数为f(t)的波,从原点出发沿+Z方向传输,波的传播速度为v ,经过时间t0到达Z0,此时波的函数表示为f(t-t0)=f(t-z0/v)。 随时间增加而增加,f(t)沿+Z方向持续移动,因此沿 轴传输的波的函数可以用公式(3)来描述,公式(3)中包含两个变量:时间t 和位置z 。V(z,t)=f(t-z/v)
(3)
用数学的方法对公式(3)求偏微分得到一系列的方程有:

在后续求解串扰波形函数时需要用到这些公式。联立式(5)与式(7)就能得到大家熟悉的波动方程[1],即
2、互感与互容
串扰在电磁场中表现为相邻传输线间的磁场耦合和电场耦合;在电路中分别采用互感和互容来描述磁场耦合和电场耦合的大小。
1)互感
互感如图3所示,自感与互感所导致的电压与电流之间的关系用方程描述为式(9)。


方程组(9)表示为矩阵形式为公式(10),公式(10)中的电感矩阵中的Lii为自电感,Lij为互感。

2)互容
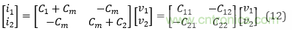
互容如图4所示,自电容与互电容所导致的电压与电流之间的关系用方程描述为式(11)。


方程组(11)表示为矩阵形式为公式(12),公式(12)中的电容矩阵中的Cii 为总电容,Cij为互容。
3. 感性耦合
特征阻抗均为Z0的一对相邻无损传输线间单位长度的互感量为Lm (Lm=L12=L21),单位长度的自电感为L0(L0=L11=L22)。感性耦合机制如图5所示。在dz 长度的线段上由于入侵线中电流的变化通过感性耦合在相应长度的受害线线段两端形成的电压dVl 由式(13)表示。类似于耦合变压器,受害线中耦合信号传输方向与入侵线中信号方向相反.dVl作用在均匀传输线上所形成的反向耦合电压dVlb 与前向耦合电压dVlf 大小相等方向相反,用式(14)表示。

4. 容性耦合
特征阻抗均为Z0的一对相邻无损传输线间单位长度的互容量为Cm (Cm=C12=C21),单位长度的总电容为C0(C0=C11=C22)。容性耦合机制如图6所示。在dZ 长度的线段上由于入侵线中电压的变化通过容性耦合流向受害线的耦合电流大小dic 由式(15)表示。耦合电流分为反向耦合电流dicb 和前向耦合电流dicf ,两者大小相等方向相反,分别作用于均匀传输线上,产生的反向耦合电压dvcb 与前向耦合电压dvcf 用式(17)表示。

3、串扰
1)远端串扰
远端串扰也称前向串扰,其前向传输时延与入侵信号传输时延同步,到达前向终端的电压幅度为每一微小线段dZ所产生的前向耦合电压的叠加,用式(18)表示。

2)近端串扰
近端串扰也称反向串扰,近端的输出波是早期耦合波反向传播的叠加,耦合波的传输距离是2倍的耦合线长。每一微小线段dZ所产生的反向耦合电压传输到受害线的近端终端的波形函数同时为时间和位置相关的函数。近端耦合波形函数用式(22)表示。

从式(23)中不难发现,近端串扰波形是入侵线上注入的波形与注入波形延时2td 后所形成波形的差值再乘上近端串扰系数。
若入侵线上注入的波形为快速上升沿,上升时间为tr,电压幅度为V1 ,则近端串扰波形就是大家熟知的梯形脉冲,阶跃脉冲所造成的近端串扰与远端串扰的计算波形如图7所示,其中NEXT_Math和FEXT_Math分别为采用公式(19)和公式(23)计算得到的近端串扰与远端串扰波形,计算所得到的波形与仿真所得到的波形有很高的吻合度。

图7 阶跃脉冲造成的近端串扰与远端串扰
若入侵线上注入的波形为方波或者正弦波,并且2倍的传输时延td为脉冲周期 的整数倍,即公式(25)时,叠加得到的近端串扰幅度会在2td后抵消为0。对于传输时延为500ps的传输线,1GHz方波所造成的近端串扰与远端串扰波形如图8所示。但如果2倍的传输时延td为脉冲周期T一半的奇数数倍,即公式(26)时,叠加得到的近端串扰幅度在 后加倍。对于传输时延为500ps的传输线,1.5GHz方波所造成的近端串扰与远端串扰波形如图9所示。


图8 1GHz方波造成的近端串扰与远端串扰

图9 1.5GHz方波造成的近端串扰与远端串扰
4、小结
1. 远端串扰的幅度同入侵线注入波形的电压变化率相关。
2. 均匀介质中的传输线远端串扰为0。
3. 近端串扰系数中1/4中的1/2 表示耦合波的传输距离是2倍的耦合线长。
4. 合适的耦合长度可以减少连续脉冲信号造成的近端串扰。
(来源:信号完整性之旅,作者:王彦武)
免责声明:本文为转载文章,转载此文目的在于传递更多信息,版权归原作者所有。本文所用视频、图片、文字如涉及作品版权问题,请联系小编进行处理。
推荐阅读:
如何对串扰进行仿真?
恒温晶振与温补晶振介绍,单片机为何需要晶振
学会生成LTspice模型,可以更好地提高仿真水平
电感绕组的分布电容,并非一无是处
如何用万用表区分PNP传感器和NPN型传感器?
如何对串扰进行仿真?
恒温晶振与温补晶振介绍,单片机为何需要晶振
学会生成LTspice模型,可以更好地提高仿真水平
电感绕组的分布电容,并非一无是处
如何用万用表区分PNP传感器和NPN型传感器?





