中心议题:
- 基于RFID技术的人机互动定位系统原理和功能
- 结合RFID 定位技术的人机互动游戏应用方案
解决方案:
- 人机互动的游戏部分设计
- 辅助人机互动的区域定位部分
本文基于博物馆的实际应用环境, 结合RFID 定位技术设计了一种人机互动的定位系统, 主要包括人机互动的游戏部分和辅助人机互动的区域定位部分。同时提出了一种结合RFID 定位技术的人机互动游戏应用方案, 并将该方案成功应用到博物馆中。
1 系统原理和功能
1.1 系统原理
RFID 是一种利用射频信号自动识别目标对象并获取相关信息的技术。RFID 技术可以分为有源系列和无源系列。有源和无源RFID 的性能对比如表1 所示。

表1 有源和无源RFID 对比
由表1 可知, 有源RFID 具有更长的识别距离和更强的移动追踪能力。本文需要对博物馆中人员进行室内定位追踪, 故采用有源RFID 设备。
系统主要包括三个部分: 标签、读写器和信息处理系统。标签和读卡器构成RFID 网络, 感知游客的各种情景信息,并远程传输给信息处理系统集中处理。
博物馆的场馆简易平面分布图如图1 所示。

RFID 的博物馆人机互动定位系统主要包含人机互动的游戏部分和人员区域定位部分。人机互动的游戏部分主要利用图1 中互动游戏场馆内编号为a 、b 、c 的读写器实现室内精确的二维定位, 便于与游戏地图进行比较, 从而完成移动人员的定位与追踪。人员区域定位部分主要利用图1 中场馆通道间的读写器(编号为0 、1 、2、3、4 、5 、6) 实现, 游客在通过场馆通道时, 读写器会自动读取游客门票中的标签信息,完成区域定位的功能。
标签的ID 号是唯一的, 用于游客身份的识别。读写器接收到的数据包含有标签ID 号信息、数据发送时刻信息等,PC 上位机接收到的数据包含有源标签ID 号信息、数据发送时刻信息和转发数据包的读写器编号信息等,PC 上位机集中处理这些由读卡器转发而来的数据包。系统原理框图如图2 所示。

[page]
1.2 系统功能
1.2.1 游戏场馆内人员移动轨迹的追踪
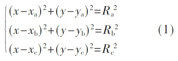
如图3 所示, 在游戏场馆C 区内, 设编号分别为a 、b 、c 的三个有源读写器的位置为(xa,ya) , (xb,yb) , (xc,yc) ,游客的位置坐标(x,y), 三个读卡器到游客的距离分别为Ra、Rb、Rc, 由时间信息定位方法(TOA) 可得式(1) , 即可求解游客的位置坐标(x,y)。


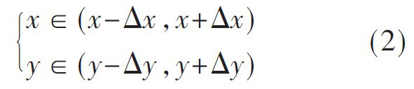
由于电磁波信号在室内传播呈现多径效应干扰衰弱与遮蔽效应, 预估的传播距离将产生误差, 所以定位的位置不会交于一点, 而是一定面积大小的区域。
为了不失一般性以及方便定位需要, 可设游客的位置坐标落在由点(x-△x ,y-△y) 、(x-△x ,y+△y) 、(x+△x ,y -△y) 和(x +△x ,y +△y) 构成的长方形区域内, 其中长方形的长、宽分别为△x、△y, 即游客的位置坐标(x,y) 满足式(2)。

如某游客进行人机互动游戏时,设其初始位置为Ini,目标位置为Des , 游戏地图由小长方形区域组成, 如图3中灰色区域所示, 游客根据灰色的游戏地图进行移动,与此同时, 系统实时地将解算出的游客位置与游戏设定的地图相匹配, 进而完成互动游戏。
1.2.2 游客的实时区域定位
当游客在图1 中入口处的0 号读写器刷卡后, 即可授权进入博物馆参观, 游客门票中的标签ID 号信息被送往PC 上位机实时处理, 建立游客文档INFO.游客文档包括进入各场馆的时间、离开各场馆的时间、在各场馆参观的时间、当前所在的场馆区域及游客头像等信息,INFO 的结构体表达式如下:

[page]
其中结构TOURTIME 定义为:

在游客通过场馆间的通道时, 读写器会自动识别游客门票中的标签信息, 实时判断游客进入某场馆( 或离开某场馆) , 同步更新游客文档信息INFO。
2 系统设计和实现
2.1 系统硬件
硬件设备采用了RFID 组件, 主要包括PC、有源标签、有源读写器、摄像头以及相关设备连接线等。博物馆的环境比较复杂, 繁多的多媒体设备带来的中低频干扰较大, 为了适应博物馆这种独特的环境, 需要采用微波段的RFID 设备。现阶段的微波段RFID 主要集中在工作频率为2.4 GHz~5.8 GHz , 其中以2.4 GHz 有源RFID 系统较为成熟。博物馆采用的RFID 各设备型号如表2所示。

表2 RFID 硬件设备
2.2 系统软件
RFID 系统软件采用了Delphi7、MYSQL 和ODBC 等进行人机界面开发。软件系统主要可划分为游客INFO 文档的建立、区域定位、游戏场馆内人员移动轨迹的追踪。
2.2.1 文档的建立
PC 上位机根据安装在入口处的0 号读写器读取的数据信息, 实时存储刷卡人门票中的标签ID 号信息,实时构建一个以ID 号为标识的信息文档INFO, 并同步截取刷卡人的照片并保存到对应的文档下, 具体流程如图4 所示。

2.2.2 区域定位
PC 上位机根据0 ~6 号读写器提供的数据包中的读写器编号来判断游客即将进入的场馆区域; 根据标签ID 号信息来区分游客;根据数据发送时刻来记录游客在各场馆的参观时间, 并将这些信息实时更新到游客的INFO 文档中, 具体流程如图5 所示。

[page]
2.2.3 游戏场馆C 区内人员移动轨迹的追踪
游戏场馆C 区编号为a、b、c 的读写器可以完成C 区内人员移动追踪。游戏轨迹地图由一组二维坐标构成, 设i 时刻的游戏地图为map [i] ,游客的二维坐标为pos[i].互动游戏开始后, 将游客坐标pos[i]与游戏地图map[i]相比较。
如果在各个时刻两者都相一致, 则根据从信息包中提取出来的ID 号查找数据库, 从该ID 号码对应的信息文档提取照片, 将照片保存到指定的(winner ) 文档路径下, 指示该游客为人机互动游戏的胜利者并返回。
如果某一时刻游客的坐标pos[i] 与游戏地图map [i]不相一致, 则返回并指示游客游戏失败。人机互动游戏的数据处理具体流程如图6 所示。

游戏地图可以根据不同的需要来设定游戏轨迹的长度、难度以及布置障碍物等, 丰富游戏场景, 同时也可以设置多人模式进行人机互动游戏。
3 系统测试结果
3.1 游戏场馆内的定位误差测试
游戏场馆C 区为14 m×20 m 的长方形区域, 测试长方形游戏场馆C 区内每个点的坐标位置, 并与实际标准位置做比较, 所得的误差曲线如图7 所示。所以可将式(2) 中的△x、△y 设置为△x=△y=0.8 m, 即地图的小区域为0.8 m×0.8 m 的正方形区域, 这样足可以保证对人员移动轨迹追踪的准确度。

3.2 游客的INFO 信息测试
采用上述硬件设备和相应开发软件进行系统开发,5 位游客分别选取了5 张有源卡(ID 号分别为0x33、0x62、0x76、0x0F、0x58)进行系统测试,部分系统测试结果如下:
建立的以ID 号标识的游客文档如图8 所示。

[page]
ID=0x33 的游客INFO 详细信息, 如图9 所示。由图可知ID=0x33 的游客在A 场馆内参观了20 min, 在B 场馆参观了27 min , 当前所在位置为C 场馆, 还没有进入D场馆。

3.3 人机互动游戏的测试
上述5 位游客参与人机互动游戏, 其中ID 号为0x62 、0x0F 的两位游客最终完成了互动游戏, 其他3 位游客游戏失败, 系统测试结果如图10 所示。

根据上述互动游戏结果图中的ID 号, 提出头像照片, 保存到(winner)文档路径下, 并显示互动游戏胜利者的照片, 同时指示为互动游戏的胜利者, 如图11所示。

4 结论
本文提出了一种基于RFID 室内定位技术的人机互动游戏方案, 利用RFID 定位技术实现对游客移动轨迹的追踪, 并将其应用于游戏互动的识别。本文提出的设计已成功应用于福建某数字博物馆, 在博物馆的控制中心可以通过人机互动界面查看各个场馆内的游客流量、游客当前所在场馆、在各个场馆的参观时间及游客参与人机互动游戏的情况, 同时该系统还可以连接到地区的物联示范网, 提高经济效益, 大大节约成本。
基于RFID 的数字博物馆为游客提供了更加自由和人性化服务的同时, 也提高了管理人员的工作效率。对博物馆紧急事故的处理带来了便利, 保证了游客的人身安全, 为博物馆带来更多的经济效益, 推动RFID产业快速发展。


