【导读】我们习惯从电路图和等效电路的角度来分析电子系统,但这种思路最终会遇到阻碍,我们必须考虑到实际电子系统的高频特性。在实际的 PCB 中,电信号的传播特性将在系统行为中发挥主导作用,其中包括像直流电源分配这种简单的现象。直流电并非真正的直流电,会在 PCB 中激发强烈的谐振,由集成电路引入电路板的直流电更是如此。
本文要点:
在两个导电平面之间传播的电磁波会激发平行板波导谐振。
在 PCB 的电源分配网络 (PDN) 中,平行平面结构内部会激发谐振,从而导致电路板边缘出现强辐射。
这些谐振通常在 GHz 范围内,在 PCB 中的 PDN 阻抗谱或带有近场探头的示波器上会有所显示。
我们习惯从电路图和等效电路的角度来分析电子系统,但这种思路最终会遇到阻碍,我们必须考虑到实际电子系统的高频特性。在实际的 PCB 中,电信号的传播特性将在系统行为中发挥主导作用,其中包括像直流电源分配这种简单的现象。直流电并非真正的直流电,会在 PCB 中激发强烈的谐振,由集成电路引入电路板的直流电更是如此。
每块高速 PCB 都有电源平面和接地平面,电磁波传播会激发平面谐振。
PCB 中的电源平面和接地平面布置是整个电路板电源分配的基础,它们需要为器件提供稳定的电源。实际上,任何电路板都会产生重要的瞬态效应,而电路板中的平面层结构作用很大,可以决定极高频率下的辐射频谱。这就是电源平面谐振分析的用武之地,该分析有助于了解 PDN 电路描述的局限性,也能帮助我们判断在何时需要从波导行为的角度考虑平面布置。
1. 电源平面谐振分析
观察一下 PCB 中 PDN 的阻抗图就会发现,在高频时会出现一些谐振行为。根据电路板的结构和尺寸,这些频率一般在 GHz 范围内,或者更高。当 PCB 中的电源平面和接地平面重叠时,它们所形成的结构会构成一个半开放的平行板波导,该波导具有一些明显的谐振。下图的示例展示了在 PCB 上测得的 PDN 阻抗谱,其中包括在高频下可以看到的谐振。
在 PDN 输入端测得的 PDN 阻抗谱示例,500 MHz 以上可见平面谐振。
PCB 中所有的实际电源平面布置都有一些谐振,这些谐振可通过结构中的电磁波传播辐射而激发。PDN 中所有的谐振都可以通过考虑系统结构来计算,系统结构看起来与平行板波导非常相似。虽然我们可能会认为 PDN 的行为与平行板波导完全相同,但实际上我们得出的只是一个近似值;在 PCB 平面之间穿过该区域的所有其他导体都会改变谐振频率,使其与平行板波导的计算值不同。此外,PDN 的有限跨度将决定结构中的谐振,从而将平行板波导谐振更改为空腔谐振。
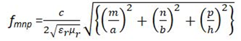
对于尺寸为 a 和 b 的电路板,电源平面和接地平面之间的间距为 h,则谐振频率为:
一般空腔谐振器的谐振频率,假设谐振器为矩形结构。
虽然上述公式并非普遍适用于每种 PDN 结构,但它为我们提供了最低阶 PDN 谐振的近似值。最低阶 PDN 阻抗的典型值从 100 MHz 到 1 GHz 以上不等,具体取决于电路板的尺寸和结构中平面之间的间距。
芯片也有自己的 PDN,因此按照逻辑推理,它也会表现出一些谐振,可能会被电路板电源轨上传入的瞬态振荡所激发。然而,由于芯片及其 PDN 的几何形状,情况并非如此(极高频率下除外)。
2. 从电路板过渡到芯片
当电源的入射波撞击到芯片上之后,芯片电源轨上测得的电压将与电路板电源轨上测得的电压大不相同。集成电路的电源轨与裸片上的接地平面之间的间距要小得多,因此电源平面谐振的频率要高得多。
下图是以三种不同方式测量 PDN 阻抗的仿真示例。蓝色曲线显示的是 CMOS 集成电路在芯片主电源轨上测量的典型 PDN 阻抗曲线。这是直接在裸片上测量的曲线类型,经过了任何无源调节部分;请注意,其中不包括因键合线或引线框架而产生的引脚封装电感。将该曲线与电路板阻抗平行对比,假定电路板阻抗为强去耦,在 10 kHz 以上具有相对平坦的阻抗。红色曲线表示这两个阻抗的平行等效值。
芯片 + 电路板封装的总阻抗(红色曲线)。请注意,裸片上看不到高阻抗谐振。
在此示例中,总阻抗在约 100 MHz 处出现反谐振,但相对较弱,只有 1 欧姆左右。曲线的其余部分非常平坦,在低频时与电路板的低阻抗部分重叠,在高频时与芯片的 PDN 阻抗重叠。芯片 PDN 也存在高阻抗谐振/反谐振对,但频率很高,在上述窗格中看不到。PDN 上芯片电容的存在也有助于使芯片上测得的总阻抗保持在较低水平。
举个简单的例子,我们可以比较电路板和芯片最低阶波导模式的阻抗。在上述示例中,电路板的最低阶谐振仅为 2 GHz;如果我们假设裸片上的电源轨到接地平面的距离仅比芯片尺寸约为 1 cm2 的 PCB 上的距离小 10 倍,那么芯片 PDN 中的最低阶谐振将超过 20 GHz。不应使用电路模型来计算集成电路或电路板 PDN 这类复杂结构中的确切谐振频率。此类谐振最好使用场求解器应用来确定,该应用可直接从物理 layout 中提取数据。
Cadence 的 PCB 设计和分析软件可用于对电路板和电路行为进行仿真,将其作为电源平面谐振分析的一部分。然后,我们可以在任何建模应用中使用自己的数据来计算互谱密度和分析信号行为。
Cadence 的新一代 Sigrity X 解决方案重新定义了 SI 和 PI 分析,将性能提高了 10 倍,同时保持了 Sigrity工具一贯的准确性。Sigrity X 工具套件解决了当今 5G 通信、汽车、超大规模计算以及航空航天和国防工业领域前沿技术专家所面临的系统级仿真的规模和可扩展性挑战。它配备了强大的系统级分析仿真引擎,旗舰产品 Clarity 3D Solver 更采用了创新的大规模分布式架构。
本文转载自:Cadence楷登PCB及封装资源中心
免责声明:本文为转载文章,转载此文目的在于传递更多信息,版权归原作者所有。本文所用视频、图片、文字如涉及作品版权问题,请联系小编进行处理。
推荐阅读:
如何使用 SSR 实现可靠都的、可快速开关的低损耗半导体自动测试设备
电动汽车(EV)双向供电:实用且创新的电源??槭褂没?/a>



