【导读】我们先来看以下问题:为什么在Vce下降前ic就开始上升了呢?在t0到t1和t2到t3这段时间内是开关管的哪个时期呢?首先我们来解释问题,为什么在Vce下降前ic就开始上升了呢?


图1
这里就用MOSFET代替BJT了,所以ids = ic,Vds=Vce,Coss也就是Cds代表输出电容。简单来说就是当MOS管一开始导通时输出电容Coss还保持Vds电压,随着Ids电流越来越大,Vds电压终于保持不住,开始下降。直到管子完全开启。比较详细的开启过程是由Miller Plateau造成的,这里借用了网上一些解释Miller Plateau的图,如果有不清楚的就请见谅了。
阶段1,Vgs 《 Vth,管子是关断的,所以Ids = 0,Vds=high,ig充电Cgs。
阶段2,Vgs 》 Vth,管子开启,Ids从0增加到iL被外部电流源电感钳住,Coss(Cds)上电压不能突变,保持Vds。
阶段3,进入Miller plateau,Vgs 》 Vth,管子仍然保持开启,Coss开始discharge,Vds电压开始下降,于此同时Cgd开始被ig充电。Vg保持不变。
阶段4,Vd下降到接近0点,ig继续给ig充电Cgs和Cgd充电。
阶段5,Vg到达gate driver预定的电压,管子开启过程完成。
关断过程和开启过程类似,也会有Miller plateau效应。
我们可以看到,如果如果MOS管开启时VDS上有原始电压,那么MOS开启过程中就会有Ids和Vds的重叠,那么会带来Switching Loss。由于Coss上的能量在极短时间内被释放,电容上能量会损失掉(换算为Loss为0.5*Coss*Vds^2*fs),而且只要是非零电压开启(Non Zero Voltage Switching),会给PCB和MOS的寄生电感与电容形成的谐振腔(resonant tank)引入比较大的dv/dt或者di/dt激励,引起比较大的ringing,甚至超过管子的额定电压,烧毁管子。
那么我们可以避免这种情况的发生吗?答案是可以的,也就是很多人提到的Zero Voltage Switching,虽然会付出一定的代价。我们先看如何能实现软开关开启Zero Voltage Switching Turn on。

图二
实现ZVS turn on很简单,只需要在我们开启管子前,Vds上的电压为零就好,这样Ids和Vds就没有重叠了,turn on switching loss为零,没有high di/dt, dv/dt问题,没有ringing,完美!那么如何实现ZVS turn on呢?个人觉得分两种情况讨论:1为PWM converter,2为resonant converter(谐振变换器)。
一, 对于PWM converter,就拿最简单的两个管子的half bridge(其实也就是buck converter)做例子。

图三
对于half bridge 实现ZVS turn on,我们希望当上管Q1开启时电流是流进switching node (vsw)的,也就是图中电感电流为负值,当下管Q2开启时我们希望电流是流出switching node (vsw)的,也就是电感电流为正值。为什么这样就可以实现ZVS turn on了呢?我们就看上管Q1开启过程。如果电感电流iL为负,这时候我们先关闭Q2,这时候Q1还未开启,在这个deadtime中iL会charge Q2的Coss,使Vsw抬高到Vin,当然不能超过Vin,因为Q1的body diode会导通,钳位住Vsw到Vin,这时候Q1的Vds就是Vin-Vsw=0,这时候我们开启Q1就实现ZVS了。同理对于Q2开启时,如果电感电流为正,那么当我们首先关闭Q1管时,Vsw就会被电感电流拉低到0,因为iL》0, Q2的Coss会discharged到0,然后我们再开启Q2,就可以达到ZVS了。这里我有一张其他Topology的PWM converter的波形图,也和buck工作原理类似,大概可以看看基本原理,也就是电感电流为负时,Q1可以实现ZVS,让Vsw的ringing比较小。而当电感电流为正时,实现不了ZVS,Vsw的ringing就比较大了。

图四
二, 对于resonant converter,其实道理类似,我们也希望在我们开启管子前,Vds上的电压为零。那么对于resonant converter的half bridge,我们希望看到的impedance为inductive,也就是感性的,这样switching node流出的电流I就会滞后于电压V,现在ZVS turn on。

图五
这是因为如果电流I是滞后与电压V的,这样在Q1开启之前电流I为负值就会charge Q2的Coss,同时discharge Q1的Coss,让V到Vin,这样Q1就实现ZVS turn on了。Q2开启之前,电流I为正,也会discharge Q2的Coss,和charge Q1的Coss,让V到0,这样Q2就实现ZVS了。
总结起来,要实现ZVS turn on,对于PWM,需要电感电流为负,而且需要足够的deadtime;对于resonant converter,需要impedance为inductive,而且也需要deadtime。那么有人可能要问,对于PWM converter到底电感电流为多负?deadtime至少为多少可以保证ZVS?对于resonant converter, impedance 到底为多少?deadtime为多少可以保证ZVS?
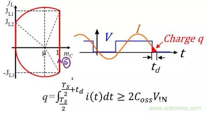
要回答这个定量问题,其实是不那么简单的。对于PWM converter,参考quasi-square-wave ZVS buck converters,我们是可以画出state plane,然后根据state plane图的几何关系定量分析出来的,但是非常繁琐,常常是七八个三角函数等式求解。所以我个人愚见,在设计上,就让开关频率小点,电感值小点,让电感电流ripple足够大,能达到负值就差不多了。对于resonant converter,倒是可以简单地通过积分方法,算出i与t的积分,让这个it积分大于Coss上的charge就行。比如已知impedance,算出V与I的phase shift,然后换算成时间td,然后在td上对电感电流进行积分,只要这个积分大于等于Coss*Vin就行了。

图六
说了soft switching, ZVS这么多好处,我们谈谈soft switching的弊端。对于PWM converter我们可以看到为了实现ZVS,我们减小了电感值,让电感电流ripple变大,最终达到负值,实现了ZVS,但是付出的代价就是inductor current的RMS值变大,各个元器件的导通损耗(conduction loss)变大,所以我们是牺牲了conduction loss换取switching loss和小ringing。而且如果输出电流越大,我们需要实现ZVS的难度更大,需要进一步增大ripple,造成RMS电流进一步增大,很有可能得不偿失,造成converter整体效率下降。对于resonant converter,在频率很高的情况下,有时候需要让impedance非常inductive,也就是I滞后于V非常厉害才能有足够的charge q来实现ZVS,这其实也是变相降低了有功功率的传输,因为V和I的phase lag比较大,造成了converter的circulating current比较大,RMS电流值增大,也是增大了conduction loss。所以在设计或者考虑ZVS等soft switching时需要对系统有个整体loss的把握,在conduction loss和switching loss之间做好trade-off,这样才能设计出效率最高,最鲁棒的converter。
另外soft switching软开关技术还有ZVS turn off,Zero Current Switching turn on,Zero Current Switching turn off。这里就简单介绍了ZVS turn on,因为ZVS turn on对于MOSFET和GaN比较重要,其他softswitching技术这里就不一一叙述了。





