中心议题:
- D类功率放大器原理特点
- D类功放设计需要注意的关键点
- 绿色能效D类功放TFA9810T设计应用
解决方案:
- D类功放的模拟输入级
- D类功放的输出级LPF低通滤波设计
- D类功放的温升测试
- D类功放的功率效率测试
多媒体时代,传统A类、B类、AB类线性模拟音频放大器因效率低,能耗大,已不能满足电子视听类LCD/PDP/OLED/LCOS/PDA等绿色节能、高效、体积小等新发展趋势,而非线性音频放大器件Class-D类功放因具备节能、高效率、高输出功率、低温升效应、占用空间小等优点,将被纳入越来越多新产品设计中。D类放大器架构上分半桥非对称型和全桥对称型,而全桥类相对半桥型具有高达4倍的输出功率,更为高效;从信号适应上分模拟型和I2S全数字型,因全数字型尚处发展阶段,成本高,而模拟型因成本优势将在未来几年处于应用主流。本文重点剖析了全桥模拟型D类功放设计要素,实现了一种基于NXP公司新型绿色能效模拟D类功放TFA9810T电路设计,并重点对绿色节能高效、高输出功率、低温升效应、PCB布局、EMI抑制几个方面进行总结分析。
1 D类功率放大器原理特点
1.1 D类放大器系统结构
D类放大器由积分移相、PWM调制模块、G栅级驱动、开关MOSFET电路、Logic辅助、输出滤波、负反馈、?;さ缏返炔糠肿槌?。流程上首先将模拟输入信号调制成PWM方波信号,经过调制的PWM信号通过驱动电路驱动功率输出级,然后通过低通滤波滤除高频载波信号,原始信号被恢复,驱动扬声器发声,如图1所示。
[page]
1.2 调制级(PWM-Modulation)
调制级就是A/D转换,对输入模拟音频信号采样,形成高低电平形式数字PWM信号。图2中,比较器同相输入端接音频信号源,反向端接功放内部时钟产生的三角波信号。在音频输入端信号电平高于三角波信号时,比较器输出高电平VH,反之,输出低电平VL,并将输入正弦波信号转换为宽度随正弦波幅度变化的PWM波。这是D类功放核心之一,必须要求三角波线性度好,振荡频率稳定,比较器精度高,速度快,产生的PWM方波上升、下降沿陡峭。
1.3 全桥输出级
输出级是开关型放大器,输出摆幅为VCC,电路结构如图3所示。将MOSFET等效为理想开关,关断时,导通电流为零,无功率消耗;导通时,两端电压依然趋近为零,虽有电流存在,但功耗仍趋近零;整个工作周期,MOSFET基本无功率消耗,所以理论上D类功放的转换效率可接近100%,但考虑辅助电路功耗及MOSFET传导损耗,整体转换效率一般可达90%左右。因为转换效率很高,所以芯片本身消耗的热能小,温升也才很小,完全可以不考虑散热不良,因此被称为绿色能效D类功放。

对全桥,进一步减小导通损耗,要使MOSFET漏源的导通电阻RON尽量小。选取低开关频率和栅源电容小的MOSFET,加强前置驱动器的驱动能力。
1.4 LPF低通滤波级
LPF滤波器可消除PWM信号中电磁干扰和开关信号,提高效率,降低谐波失真,直接影响放大器带宽和THD,必须设置合适截止频率和滤波器滚降系数,以保证音频质量。对于视听产品,20 Hz~20 kHz为可听声;低于20 Hz为次声;高于20 kHz为超声。应用中一般设置截止频率为30 kHz,这个频率越低,信号带宽越窄,但过低会损伤信号质量,过高会有噪声混入。常用LPF滤波器一般有巴特沃思滤波器、切比雪夫滤波器、考尔滤波器三种。巴特沃思滤波器在通带BW内最大平坦幅度特性好,易实现,因此视听产品多采用等效内阻小,输出功率大的LC二阶巴特沃思滤波器如图4所示。

1.5 负反馈
负反馈是LPF电路,将检测到的输出级音频成分反馈到输入级,与输入信号比较,对输出信号进行补偿、校正、噪声整形,以此改善功放线性度,降低电源中纹波(电源抑制比,PSRR)。负反馈可减小通带内因脉冲宽度调制、输出级和电源电压变化而产生的噪声,使输出PWM中低频成分总能与输入信号保持一致,以得到很好的THD,使声音更加丰富精确。
[page]
1.6 功耗效率分析
D类效率在THD<7%情况下,可达85%以上效率,远高于普及使用的最大理论效率78.5%的线性功放。根本原因在于输出级MOSFET完全工作在开关状态。理论上,D类功放效率为:

假设D类功放MOSFET导通电阻为RON,所有其他无源电阻为RP,滤波器电阻为RF,负载电阻为RL,则不考虑开关损耗的效率为:

式中:fOSC是振荡器频率;tON和tOFF分别是MOSFET开、关频率。此时效率为:


由上述公式得知,D类功放中负载RL,相对其他电阻,比值越大效率越高;MOSFET作为续流开关,所消耗的功率几乎等于MOSFET导通阻抗上I2RON损耗和静态电流总和,相比较输出到负载的功率几乎可忽略。所以,其效率远高于线性功放,如图5所示。非常适应现今绿色节能的要求,适合被平板等数字视听产品规模使用。

2 D类功放需要注意的关键点
在D类设计应用中需注意以下几点:
2.1 Deadtime(死区校正)
全桥MOSFET管轮流成对导通,理想状态一对导通,另一对截止,但实际上功率管的开启关断有一个过程。过渡过程中,必有一瞬间,如图3所示,在IN1/IN3尚未彻底关断时IN2/IN4就已开始导通;因MOSFET全部跨接于电源两端,故极端的时间内,可能会有很大的电压电流同时加在4个MOSFET上,导致功耗很大,整体效率下降,而且器件温升加剧,烧坏MOSFET,降低可靠性。为避免两对MOSFET同处导通状态,引起有潜在威胁的很大短路电流,应保证一对MOSFET导通和另一对MOSFET截止期间有一个很短的停滞死区时间(Dead-time),这个时间由Logic逻辑控制器控制,以有效保证一组MOSFET关断后,另一组MOSFET再适时开启,减小MOSFET损耗,提高放大器效率。
但Deadtime设置不当,将出现如下问题:
(1)输出信号中将产生毛刺,造成电磁干扰,也即死区时间内,IN1/IN3都关断。完全失控的输出电压将受到图6(a)中体二极管电流的影响(体二极管电流的形成,参见下文EMI节),输出波形中将出现毛刺干扰。
(2)Deadtime过大,输出波形中出现的毛刺包含的能量将持续消耗在体二极管中,以热能形式消耗能量,严重影响芯片工作稳定性和输出效率。
(3)Deadtime过长,影响放大器线性度,造成输出信号交越失真,时间越长,失真越严重。
[page]
2.2 EMI(Electro-Magnetic Interference)
EMI主要由MOSFET体二极管反向恢复电荷形成,具体产生机理如图6所示。

第一阶段,MP1-MOSFET导通,有电流流过MOSFET和后级LPF电感;第二阶段,全桥进入Dead-time期间,MP1本身关断,但其体二极管依然导通,保证后级电感继续续流;第三阶段,Deadtime期结束,MN1导通瞬间,若MP1体二极管存储的剩余电荷尚未完全释放,则瞬间释放上一次导通期间未释放的存储电荷,导致反向恢复电流激增,此电流趋向于形成一个尖脉冲,最终体现在输出波形上,如图6(b)所示。因此,输出频谱会在开关频率以及开关频率倍频处包含大量频谱能量,对外形成EMI。
为抑制EMI,以降低输出方波频率,减缓方波顶部脉冲为目的,将一些内部EMI消除电路新技术应用于新产品中:
(1)Dither。扩展频谱技术,即在规定范围内,周期性调整三角波采样时钟频率,基波和高次谐波避开敏感频段,使输出频谱能量平坦分散;
(2)增加主动辐射限制电路,输出瞬变时,主动控制输出MOSFET栅极,以避免后级感性负载续流引起高频辐射。
2.3 印制板PCB布局设计规则
(1)因输出信号含大量高频方波,需将加入的低失真、低插入损耗LC滤波电容和铁氧体电感低通滤波器件紧密靠近功放,将承载高频电流的环路面积减至最小,以降低瞬态EMI辐射。
(2)因输出电流大,音频输出线径要宽,线长要减短,故需降低无源电阻RP和滤波器电阻RF,提高负载电阻RL比值,提高输出效率。
(3)PCB底部是热阻最低的散热通道,功放底部裸露散热铜皮面积要大,应尽可能在敷铜块与临近具有等电势的引脚以及其他元件间多覆铜,裸露焊盘相接的敷铜块用多个过孔连接到PCB板背面其他敷铜块上,该敷铜块在满足系统信号走线要求下,应具有尽可能大的面积,以保证芯片内核通过这些热阻最低的敷铜区域有最佳散热特性。
(4)大电流器件接地端附近,多加过孔,信号若跨接于PCB两层间,多加过孔提高连接可靠性,降低导通阻抗。
(5)信号输入端元件焊盘和信号线与输出端保持适当间距,关键反馈网络器件置放在输入/输出PCB布局??橹屑?,防止输出端EMI幅射影响输入端小信号。
(6)地线、电源线远离输入/输出级,采用单点接地方法。
[page]
3 基于上述要素的绿色能效D类功放TFA9810T设计应用
3.1 TFA9810T内部结构
TFA9810T是NXP公司推出的双通道额定输出2×12 W的高效Class-D类功放,主要由两组全桥功率放大器(Full-Bridge)、驱动前端、逻辑控制、OVP/OCP/OTP等保护电路、全差分输入比较器、供电??榈裙钩?,如图7所示。

其具备如下特点:可取消散热器,有很高的可靠性,8~20 V单电源供电,外部增益可调,待机节能状态的供电电流为微安级,耗能很小等。非常适合应用于平板类电视产品、多媒体系统、无线音频领域。
3.2 模拟输入级设计
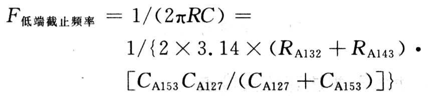
TFA9810T输入端采用可抑制共模干扰的全差分输入电路。以图8 AMP-Rin输入端为例,RA128/RA133/CA139构成负反馈低通滤波器,用于衰减反馈信号中高频载波成分。增加低频成分反馈量,特别是直流成分。有效改善了零输入时因输入信号直流电平与比较器门限电压差异形成的占空比误差,调整RA128也可实现TFA9810T增益控制,使Au(dB)=20log(VOUT/VIN)≌20log(RA128/RA132)。器件CA153/RA132/RA133及TFA9810T内阻构成高通滤波器,用于对输入信号的缓冲。若CA153容值过小,会影响低频响应,理论确定公式为:

[page]
本设计取值1 μF,确定低端频率为16 Hz,若该频率定得太高,低端输入电抗(如在20 Hz)会太大,可能导致输出端较大噪声和直流偏移噪声(plop-noise)。反馈信号与经过缓冲的输入音频比较后,通过RA133进入TFA9810T进行PWM调制。为避免图8中Rin/Lin输入信号频率因半导体非线性产生和频和差频,导致输出端出现啸叫声,则通过调整电容CA123/CA145,将两路载波频率调差50 kHz左右。本设计中将取CA123=22 pF,CA145=47 pF,实现了Rin/Lin载频相差50 kHz。
3.3 输出级LPF低通滤波设计
TFA9810T输出端低通滤波器采用二阶巴特沃思滤波器方式,实际的巴特沃思二阶滤波器由图9中RCA类电子元器件CA135/RA145/CA136/LA5/CA137/CA138/RA148/CA159/CA140/CA141/RA152/LA6/CA142/CA144等构成,对PWM方波中15 Hz~20 kHz音频成分表现为直通效应,对超过音频范围的20 kHz以上高频成分呈现-12 dB/倍频程滚降率。

简化模型中,由Lse和Cse,R,C1构成基本巴特沃思滤波器,R和C1又构成有Zobel network的消峰电路,用于去除高频时尖峰脉冲干扰。
3.4 温升测试
本设计功放TFA9810T的直流电源供电15.2 V,工作环境温度为20℃,音频系统输入为2Vp未调制的1 kHz单音频信号,匹配负载为8 Ω扬声器,调整音频输出功率21 W,持续工作30 min,使用温度测试设备测得TFA9810T壳体中央最高温度为45℃,温升仅25℃,无需再增加散热片。
3.5 音频A/D/A测试分析
图10测试了TFA9810T功放音频输入端为1 kHz的2V。单音频信号波形,输出端扬声器端到GND间为12.84V。,图9中LPF。滤波前功放输出的PWM波形。图11~图13分别拓展了图10中A/B/C区。
[page]
由图10~图13可知,输入波形叠加有高频杂波。说明前端引入不良干扰,需进一步分析改进;输出波形平滑,无交越失真,Deadtime特性较好;输入/输出正弦波相位相反,直接由电阻RA128等形成闭环负反馈通路,降低了噪声干扰,并进行增益控制。A,B,C区的拓展图输出正弦波峰、波谷、S区域处PWM的频率分别为238.8 kHz,224.9 kHz,626.4 kHz,占空比不同,符合三角波采样特性。图中波峰、波谷处PWM脉冲fall下降沿和rise上升沿更为陡峭,相比S形区域,包含大量高频谐波,易引起EMI辐射,但通过巴特沃思二阶滤波器滤波后,输出正弦波良好,无明显高频杂波迭加,EMC测试也无明显对外辐射频率,满足了设计需要。
[page]
3.6 功率、效率测试
图14测试了在图10状态下功放TFA9810T的供电电压、电流实际波形。

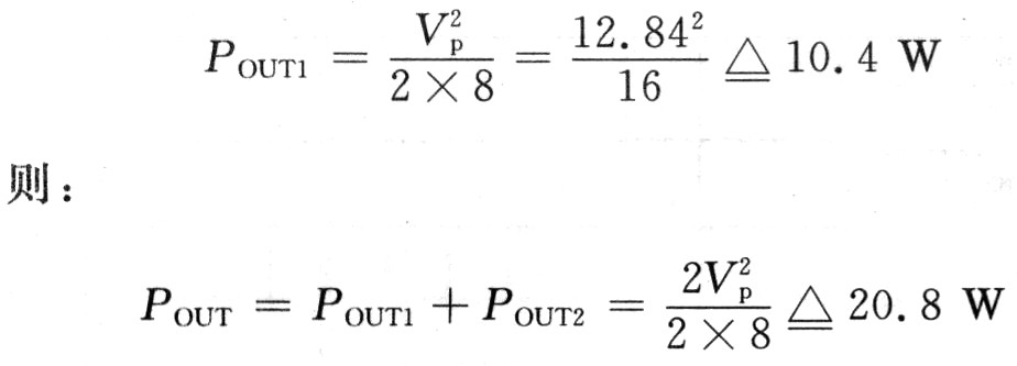
由图10可知,功放单端输出功率为:

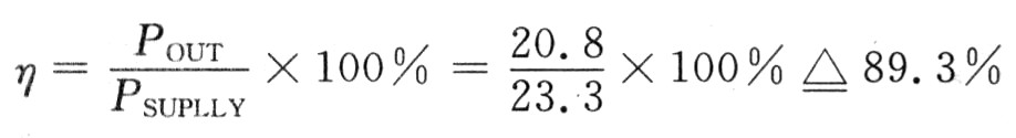
由图14参数可知,功放供电系统承载的总功率为:
![]()
由此可得TFA9810T的效率为:

4 结 语
介绍了模拟全桥D类功放拓扑结构,详细探讨了通过二阶巴特沃思滤波器设计和功放PCB布局,抑制了因Deadtime等产生的EMI。最后基于NXP公司D类功放TFA9810T,实现了一种新型绿色能效双通道D类音频放大器设计。仿真和测试结果表明,在供电电压约为15 V时,放大器可向两8 Ω扬声器提供10 W×2的输出功率,转换效率达90%,总谐波失真小于7%,1 kHz正弦波音频输出无交越失真,无明显EMI干扰,功放壳体相对温升25℃。随着当今社会节约能源的要求,该类绿色能效设计将在未来几年达到更广泛的应用。



