中心论题:
- 在短暂电压不足期间使电信设备保持正常工作。
- 当-48V源降至0V并持续10ms时会出现电压不足。
- 小电容在电压不足期间支持电信电源的介绍。
- 连续“砖块”输入端的电容存储装置解决电压不足。
- 小电容的引入提高了可靠性并降低了成本和尺寸。
- 隔离的“砖块”电源对极性没有影响。
本设计实例介绍如何在短暂电压不足期间使电信设备保持正常工作。首先必须了解电信设备专用电源的几个细节。向电信设备馈电的电源的共模电压为-48V,尽管实际电压范围可能是-42.5V ~ -56V、-40V ~ -60V,甚至超出这些范围。公共电源——“砖块”DC/DC转换器工作于-36V ~ -75V范围。当-48V源降至0V并持续10ms时,就会出现电压不足。
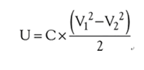
利用连至“砖块”输入端的电容存储装置,是一条克服此问题的路径,但当人们了解-48V电源的真实情况时,一个缺点就变得很明显了。例如,充电达到预定电压的电容中的能量为(C×V2)/2,其中C为电容值,V为电压。当电容放电至36V时,“砖块”停止工作。一般而言,可用于支持“砖块”工作的能量为:

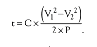
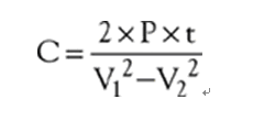
其中V1和V2分别为最初和最终的电压,U为能量。另外,U=P×t,其中P为功率,t为时间。利用这些等式,可以求出设备保持正常工作的时间:

或者定义电容的值:

假设当“砖块”输入端的电压为 -39V时出现电压不足,这种情况发生在-48V降至-40V,但“砖块”由于热插拔构造中的?;ば?ldquo;或”二极管的缘故损失至少1V。另外,假设存储电容充电至-39V。在存储电容放电至-36V之前,设备一直正常工作。假设设备功耗为100W。为了存储足够能量供5ms使用,电容的值必须约为4500mF。电容的额定值必须适应最大可能输入电压,它可能超过75V,因此最小额定值必须为100V。4500mF100V电容是一个相当大的元件。如果设计方案在300W功耗时需要两倍工作时间,则电容的值必须为27000mF和100V。

本设计实例仍需要一个电容,但该电容的值要低,是200mF而非4500mF,并在5ms电压不足期间保持100W。该方法提高了可靠性并降低了成本和尺寸。一个隐藏的特性是电源砖能在-36V~-75V输入范围内保持工作,甚至在大于-80V的浪涌下也能工作。图1描绘了如何利用该特性。该图描绘了正输入电压。“砖块”电源是隔离的,因此极性没关系,但更容易描绘正值解释。
应记住,电容存储的能量以指数增加,而电容的电压线性增加。倍增器把C1充电至两倍输入电压或至少为80V。即便假定每10s出现一次5ms电压不足,用于充电200mF的电流仍仅约为3mA。比较器观察输入电压,并且一旦它降至低于37V,开关S1就会关闭,而来自C1的能量向“砖块”电源放电。






