【导读】光伏系统通常包括一种储能方式——电池或超级电容器——在没有阳光或电源瞬变期间为负载提供电力。但是,在可行的情况下,无存储系统是具有更高 MTBF 的更环保的替代方案。
光伏系统通常包括一种储能方式——电池或超级电容器——在没有阳光或电源瞬变期间为负载提供电力。但是,在可行的情况下,无存储系统是具有更高 MTBF 的更环保的替代方案。
图 1 中描述的设计理念 是一种光伏稳压器,它以开关式 开关模式运行,可实现高效率。它易于扩展且仅使用分立组件。

图 1 简单的自由运行光伏稳压器(注:D2 和 D3 是齐纳二极管)。
PMOS 晶体管 M1 的导通和截止为输出电容 C1 充电。当 M1 打开时,光伏电源达到其开路电压C1向负载放电;当M1导通时,光伏电源被钳位到输出电压V O,C1再次充电。
光伏源的 SPICE 模型由 I1-D1-R1-R2 给出,它代表一串 30 个串联的低功率硅太阳能电池。
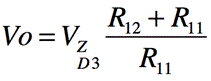
电路操作如下:M1 在启动期间导通,因为 R3 和齐纳二极管 D2 将 V GS设置 为 12V。当 C1 充电时,齐纳 D3 上的电压上升直至达到 10V,从而设置电压参考电平。V O 继续上升,直到由 Q3 和 Q4 组成的差分放大器的输出打开 Q2 和 Q1,从而关闭 M1。
然后V O 下降,直到差分放大器的输出不足以保持 Q2 导通。稳压器无限期地保持在 bang-bang 模式,输出电压由下式给出:
(1)
输出电压纹波和开关频率可以通过输出电容C1和反馈网络电容C2来调节。增加 C2 值会减慢电压检测速度,这可能是稳定目的所必需的,但也会增加输出纹波。建议根据应用在开关频率和输出电压纹波之间取得平衡。
原型的波形如图 2所示。15V 输出的纹波小于 0.5V P-P ,开关频率略高于 25kHz。

图 2 稳压器波形。蓝色:输出电压;绿色:输入电压;青色:M1电流。
总而言之,该电路是一种简单但稳健且通用的解决方案,可从光伏电源获得稳压电压。该设计很容易适应其他电压或电流需求。
免责声明:本文为转载文章,转载此文目的在于传递更多信息,版权归原作者所有。本文所用视频、图片、文字如涉及作品版权问题,请联系小编进行处理。
推荐阅读:



