桃花源qm花论坛(品茶),凤楼阁论坛官网入口网址,一品楼品凤楼论坛最新动态,风楼阁全国信息2024登录入口

你的位置:首页 > 光电显示 > 正文

大功率的LED设计,转换率达到83%以上!

发布时间:2015-02-28 责任编辑:echolady

【导读】本文主要讲述的是LED光源驱动电路,其转换效率达到了83%以上,并且LED光源耗电量仅为白炽灯的十分之一,寿命延长了100倍。本文从设计原理和方法入手,采用电压和电流双环反馈,能够输出恒定的电压和电流,能够有效延长LED的使用寿命。

1 芯片介绍


本设计采用TNY279 电源芯片作为开关电源的控制芯片,TNY279电源芯片在一个器件上集成了一个700V高压MOSFET开关和一个电源控制器,与普通的PWM控制器不同,它使用简单的开/关控制方式来稳定输出电压??刂破靼ㄒ桓稣竦雌?、使能电路、限流状态调节器、5.8V 稳压器、欠电压即过电压电路、限流选择电路、过热?;ぁ⒌缌飨蘖鞅;ぁ⑶把叵缏?。该芯片具有自动重启、自动调整开关周期导通时间及频率抖动等功能。

2 电路的工作原理分析

电源的核心部分采用反激式变换器,结构简单,易于实现。整体设计电路图如图1。

大功率的LED设计,转换率达到83%以上!
图1 电源整体设计电路

2.1 输入整流滤波电路

考虑到成本、体积等因素,改善谐波采用无源功率因数校正电路,主要是通过改善输入整流滤波电容的导通角方式来实现。具体方法是在交流进线端和整流桥之间串联电感,如图1 所示C1、C2、L1、L2组成一个π型电磁干扰滤波器,并使用填谷电路填平电路,减小总谐波失真。填谷电路由D1、D2、、D3、C3、C4、R3组成,限制50Hz交流电流的3次谐波和5次谐波。

经整流及滤波的直流输入电压被加到T1的初级绕组上。U1(TNY279)中集成的MOSFET驱动变压器初级的另一侧。二极管D4、C5、R6 组成钳位电路,将漏极的漏感关断电压尖峰控制在安全值范围以内。齐纳二极管箝位及并联RC 的结合使用不但优化了EMI,而且更有效率。

2.2 高频变压器设计

TNY279完全可以自供电的,但是使用偏置绕组,可以实现输出过压保护,在反馈出现开环故障时能够?;じ涸兀行У丶跎俣訪ED光源的产生的损害,在本设计中采用偏置绕组,如图1,同时可由更低的偏置电压向芯片供电,抑制了内部高压电流源供电,在空载时功耗可降低到40MW以下。Y电容可降低电磁干扰。

2.3 反馈电路设计

次级采用恒流恒压双环控制。NCS1002是一款恒流恒压次级端控制器。如图2所示,它的内部集成了一个2.5V的基准和两个高精度的运放。

大功率的LED设计,转换率达到83%以上!
图2 NCS1002 芯片内部结构

电压基准和运放1是电压控制环路的核心。运放2则是一个独立运放,用于电流控制。在本设计中,电压控制环路用于保证输出电压的稳定,电流反馈控制环路检测LED 平均电流,即电路中R17 上的电流,将其转换成电压和2.5V基准比较,并将误差反馈到TNY279 中来调整导通。

具体的工作原理是:NCS1002 调节输出的电压值,当输出电压超过设定电压值时,电流流向光耦LED,从而下拉光耦中晶体管的电流。当电流超过TNY279 的使能引脚的阈值电流时,将抑制下一个周期,当下降的电压小于反馈阈值时,会使能一个开关周期,通过调节使能周期的数量,对输出电压进行调节,同样,当通过检测到R16上的电流即输出电流大于设定的值时,电流通过另一个二极管下拉光耦LED 中晶体管的电流,达到抑制TNY279 的下一个周期的目的,当输出电流小于设定电流时会使能一个开关周期,通过这样的反馈调节机制,能使得输出的电压和电流都处于稳定的状态。

当反馈电路出现故障时,即在开环故障时,偏置电压超过D9 与旁路/多功能引脚电压时,电流流向BP/M 引脚。当此电流超过ISD(关断电流)时TNY279 的内部锁存关断电路将被激活,从而保护负载。由于使用了偏置绕组将电流送入BP/M引脚,抑制了内部高电压电流源,这样的连接方式将265VAC 输入时的空载功耗降低到40MW有效的降低功耗。

3 电路的参数

3.1 输入输出参数

输入电压(AC): 85~265V
频率:50Hz
输出电压: 12V
输出电流:1.67A
输出功率:20W
[page]
3.2 变压器参数计算

在最低电网电压为85V 时,最小的直流输入电压V MIN ,可通过下式计算:

大功率的LED设计,转换率达到83%以上!

式中,ACMIN,PK V是最小输入电压的峰值,W IN是电容的放电能量,其中:

大功率的LED设计,转换率达到83%以上!

放电能量IN W等于需要的峰值输出功率OPK P和放电时间/2tLT的乘积:

大功率的LED设计,转换率达到83%以上!
式中, c t为整流二极管的导通时间,假设为3ms,L T为20ms,η为转换效率。计算得IN V大约为88V。在设计变压器时,考虑到开关电源在整个范围内其磁通是不连续的。在最小输入电压时的最大占空比为 DMAX=0.5。

初级感应电动势R V是通过初级线圈的次级电压的感应值,可以由下式计算:

大功率的LED设计,转换率达到83%以上!

VDS可以忽略,则VR=88V。

初级电流的最大峰值PKMAX I和最大输出功率POMAX成正比:

大功率的LED设计,转换率达到83%以上!

可计算得IPKMAX=1.16A。

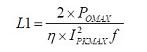
初级电感L1的计算。初级电感可以由回扫变压器的能量方程确定:

大功率的LED设计,转换率达到83%以上!

开关频率大约132kHz,所以计算得L1=891μH。

在不连续模式下,磁芯最大磁通密度通常受磁芯损耗的限制,为了使磁芯损耗保持在可接受的范围内,对于本设计采用EF25 的磁芯,选择BMAX=0.4 特斯拉来计算初级线圈的匝数N1。

式中, MINA是磁芯的最小横截面积。对于EF25,AMIN=52.5mm2,N1=85。

同样根据设计要求计算得:

大功率的LED设计,转换率达到83%以上!
次级N2=8,采用两个并联绕组;偏置绕组N3=9,采用两个并联绕组。

3.3 变压器的绕制

大功率的LED设计,转换率达到83%以上!
图3 变压的初级、次级和偏置绕组的绕制示意图

初级绕组以引脚2作为起始引脚,绕85圈(x1线),在2层中从左向右。在第1层结束时,继续从右向左绕下一层。在最后一层上,使绕组均匀分布在整个骨架上。 以引脚1作为结束引脚,添加1层胶带以进行绝缘。

偏置绕组以引脚4作为起始引脚,绕9圈(x2线)。沿与初级绕组相同的旋转方向进行绕制。使绕组均匀分布在整个骨架上。 以引脚3作为结束引脚,添加3层胶带以进行绝缘。

次级绕组以引脚7作为起始引脚,绕8圈(x2线)。 使绕组均匀分布在整个骨架上。沿与初级绕组相同的旋转方向进行绕制。以引脚6作为结束引脚,添加2层胶带以进行绝缘。

相关阅读:

中大功率LED路灯"足够节能"的散热设计方案
分享:大功率LED灯珠参数选型及设计技巧
大功率LED真的是最好的吗?求解析

要采购开关么,点这里了解一下价格!
特别推荐
技术文章更多>>
技术白皮书下载更多>>
热门搜索

关闭

?

关闭