【导读】目前网络上关于反激变压器的学习资料五花八门且比较零散,本文就将对反激变压器的设计分段进行从头到尾的梳理,将零散的知识进行整合,并配上相应的分析,帮助大家尽快掌握。本篇文章将要为大家介绍的是反激变压器中临界模式的计算方法及分析。
反激式是目前比较主流的一种变压器设计方法,很多新手都通过反激电源的制作来熟悉电源设计,目前网络上关于反激变压器的学习资料五花八门且比较零散,本文就将对反激变压器的设计分段进行从头到尾的梳理,将零散的知识进行整合,并配上相应的分析,帮助大家尽快掌握。
本篇文章将要为大家介绍的是反激变压器中临界模式的计算方法及分析。
产品的基本规格要求
交流输入范围:176~265VAC
输出电压电流:12V2A
工作温度:-25~+55℃
前期方案分析
这是一个很常见的技术规格,我们拿到产品技术规格书时至少需要做到两点:
产品应用在什么场合
产品的应用场合决定了最终的设计方案,这需要跟公司内部人员(如果是自用)或者客户(定制类产品)充分沟通。如果是通用竞争性型产品,产品的设计方案往往不是由你个人来制定的,需要密切关注行业标准(动向)以及自身的产品定位,例如程工、拒绝变帅他们发布的大量设计方案、观点,这些都是你要关注的内容。
保持清醒的头脑
如果产品是低成本应用,你一上来方案就高端大气上档次,结果可想而知,反之亦然。有些人用少量的滤波器就能通过EMC测试,有些人用很小的变压器就能够输出很大的功率,有些人能够获得极高的效率……….一幕幕着实让人热血沸腾。这个时候需要保持清醒的头脑,你需要考虑自己的经验是否足够,产品应用场合是否一致,成本是否可以接受,公司的生产工艺是否达到某些特定的要求,物料采购是否通用、流畅。
方案论证时,需要全面考虑,多问问自己,还有没有没想到的地方。特别是小批量的自用产品,你更多的是需要考虑公司库存、采购环节、后续其它产品应用方面的非技术问题。之所以一直强调应用场合,是因为专业生产电源的公司,不管公司大小出错的概率较小。而非专门生产电源的公司,初学者很难获得足够的技术支持,在各方面的条件还达不到的情况下,盲目跟随往往得不偿失。
开关频率选择
较为常见的开关频率一般是65KHZ、100KHZ、132KHZ,当然也有不少变频模式的芯片,这里暂不考虑。当然有不少芯片可以自设开关频率,为了简化篇幅,也不再涉及。
176~265VAC输入,12V2A输出的话。就选择固定65KHZ的开关频率吧。
Cin的选择
Cin的选择方法见上文分析。176~265VAC输入,12V2A输出,选择22-47uF/400V都是可以的,选择就选择47uF。
VDCmin=230VDC(此值是用PI的软件计算出来的)
需要关注以下三点:
如果是工业场合应用,不要选择400VDC的耐压;
HVDC的纹波电压不要超过70V,176VAC输入,也就是VDCmin≥180VDC;
Cin同样需要考虑纹波电流,不过似乎多数人并不考虑。
磁芯选择
本方案中,磁芯选择常见的EF25磁芯,为了获得较低的磁芯温升,尽量把BAC控制在1000-2000GS之间。
磁芯的选择是门大学问,有什么KG法、KP法。但我个人的感觉反激变压器采用这两种方法并不实用。我建议采用磁芯的Ve或者是重量来计算比较合适,详见《开关电源设计与优化》,P184、P184的例子,采用EF25磁芯,100KHZ时输出功率30W。这意味着我们现在65KHZ只能输出20W(30W*65/100)。尽管频率固定,但反激变压器的输出功率是可以在一个较大的范围内“波动”,没有精确值!
那么开关频率选择65KHZ时,EF25磁芯的输出功率能否“波动”到30W以上呢?答案是肯定的。关键点在于线径、KRP、TON的选择,更不用说更换磁芯材质、采用三重绝缘线。采用较小的磁芯输出较大的功率,理论的分析很重要,但更重要的是你原意付出辛苦的汗水。对于常规技术指标,建议采用常见的低成本磁芯就可以了,如EE、EI、EF、EER,对于非常规的技术指标,低成本磁芯往往满足不了某些特别的技术要求,如体积的、漏感的、绝缘耐压的、高度的、占用面积的,需要灵活选用。
[page]
效率估算
效率的估算很麻烦,需要足够的经验来完成。值得庆幸的是,小功率产品,效率这个指标,对变压器参数的影响并不明显。如果真的不知道如何估算效率,我建议不管输出电压电流为多少,50W以下的产品,最好全部按照85%来计算。尽管不太科学,但是非常实用。
Dmax估算
先给出一些与Dmax相关的现象:
Dmax与VDCmin、温度密切相关;
Dmax其实就是反射电压(UOR),决定了MOS管的电压裕量;
Dmax是最大占空比,但是Dmax与KRP决定了最小占空比(空载时非降频芯片);
Dmax决定了磁芯损耗;
Dmax取值过大,变压器原边可能绕不下;
Dmax取值过小,变压器次边可能绕不下;
Dmax可以改变LP、IP、漏感……
反激变压器的KRP、Dmax需要花大力气研究,下面开始计算。
已知VDCmax=375VDC,假设MOS管的耐压限值为600V,电压裕量流出50V,那么:
600V-50V-375V=175V
175V指的是UOR加上尖峰电压,如果选择UOR见本贴的一些方法,如何降低UOR上的尖峰电压,见论坛中的相关帖子。按照经验,如果变压器漏感控制较好,可以获得50V左右的尖峰电压,也就是UOR应该≤175V-50V=125V,UOR取100V左右应该是一个较好的值。
当然,如果选择650V、700V的MOS或者集成控制器,UOR的选择范围,会更加灵活。但是较大的Dmax(较高的UOR值),会相对有较大的磁芯损耗。
采用QR模式设计时,一般会选择较大Dmax,采用650~800V的MOS,这是为了尽可能的降低开关损耗,另外改善空载特性,见相关文献资料。
本例子中,我们选择UOR=100VDC,即:

Vdson是MOS管的导通压降,可以不考虑。
计算过程
临界模式的计算公式非常简单,只需要在公式中代入上述参数即可。
已知VDCmin=230VDC,输出电压电流12V2A,开关频率65KHZ(T=15.4us),采用EF25磁芯,BAC控制在1000~2000GS之间,UOR取100VDC,TON=T*Dmax=4.6us,采用临界模式设计(即KRP=1.00)。

公式还是那个公式,但为什么会是这样的?
现在都是已知量了,直接V*TON/AE*BAC不就可以得出NP吗?
需要告诉一些新手,其实不是这样。计算到了这一步,变压器的设计就变得非常关键。
[page]
NP计算的补充内容:
我们已经知道,初级有效电流为0.26A,如果原边线径的电流密度取4~6A/mm²,那么原边大概需要0.043~0.065mm²的导线,从下表可以选择合适线径:

表一国内外漆包线规格
查表得知,对于0.26A的有效电流,取AWG29~AWG31会是比较好的选择,对应的公制线径大概是0.25~0.35mm的普通漆包线。

表二EF25磁芯参数

表三EF25骨架参数
从表三中得知,EF25骨架的幅宽大概是15.2mm,计算时我们可以取整数15mm。
已知EF25磁芯的AE=51.8mm²,VDCmin=230VDC,TON=4.6us,那么:
当BAC=1000GS时,NP=204T。
当BAC=2000GS时,NP=102T。
事先没有核算,貌似匝数有点多诶!其实60~80T应该比较合适,不过没关系。
也就是如果选择EF25磁芯,那么我们需要在15mm*2(假设NP设置为两层)的骨架上绕制100~200T。
根据表一可知,AWG31漆包线大约每厘米可以绕制37.7T(即37.7T/cm),37.7T/cm*1.5cm=56.5T。
去掉6.5T,取整数50T,如果取值过于极限,工厂没办法生产(到底去掉几匝,建议你们听取供应商的建议,以绕满为准);
为了计算方便,NP没有考虑挡墙宽度,不过次级你可以采用三重绝缘线。NP已经“计算”计算出来了,刚好100T,拟采用AWG31漆包线平铺两层,每层50T。UOR已知为100VDC,我们可以直接用UO、NP获得NS。
匝数比=UOR/(12V+0.5V)=8
NS=NP/8=100V/8=12.5T
NS计算值为12.5T,为了绕制方便,我们取NS=12T。
需要强调的是,NS选择线径时,同样需要计算处次级有效电流,根据电流密度取T/cm值。
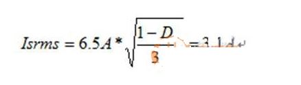
次级峰值电流:ISP=IP*8=0.82A*8=6.5A
次边有效电流:

次级有效电流为3.1A,如果电流密度取4~6A/mm²,大概需0.5mm²截面积的漆包线。
次级同样需要刚好满足平铺,但次级线径的可选项有很多,例如次级可以采用多股线绕制。为了计算方便,我们次级同样采用普通的漆包线,也不要挡墙了。
查表得知,AWG20(0.80mm)漆包线同样满足截面积要求,但是AWG20线为11.6T/cm,不满足平铺要求。如果采用双股线,那么一层需要绕制12T*2=24T,查表得知,AWG24漆包线似乎是一个不错的选择,16.3T/cm*1.5=24.5T(去掉0.5T,如果绕不下,再降低一个规格即可),双股AWG24漆包线截面积为0.246*2=0.49mm²,刚好合适。
VCC绕组的计算不多述,在这里给出一个思考题。次级纹波电流是选择输出电容的主要依据,如何来计算?
磁芯选了,NP、NS、LP及初次级的电流应力也计算出来了,但是还没有完成,需要仔细核算电压应力、磁芯的气隙。
至此我们对反激变压器的磁芯进行了选择,并对一些相关的参数也进行了相应的计算。下面的就要对电压应力,磁芯的气隙等参数进行进一步核算,小编将在下一篇文章当中为大家带来这些参数的计算。



