【导读】随着清洁能源需求增长,太阳能的潜力日益受到关注,太阳能电池通过吸收光子释放电子,将阳光直接转化为电能。电气测试广泛用于研发和生产中,以表征其性能,包括直流/脉冲电压测量、交流电压测试等,分析关键参数如输出电流、转换效率和最大功率输出,常结合不同光强和温度条件进行。
随着清洁能源需求增长,太阳能的潜力日益受到关注,太阳能电池通过吸收光子释放电子,将阳光直接转化为电能。电气测试广泛用于研发和生产中,以表征其性能,包括直流/脉冲电压测量、交流电压测试等,分析关键参数如输出电流、转换效率和最大功率输出,常结合不同光强和温度条件进行。
4200A-SCS参数分析仪可简化这些电气测量过程,集成直流和快速I-V、C-V测量功能,具备控制软件、图形绘制和数学分析能力。它适用于多种测量,包括直流/脉冲I-V、C-V、C-f、驱动级电容分析(DLCP)、四探针电阻率和霍尔电压测量。本应用说明描述了如何使用4200A-SCS对光伏电池进行这些电测量。为了简化光伏材料和电池的测试,4200A-SCS配有对应的测试和一个可以轻松地进行多项常用相关测量的项目,包括I-V、电容和电阻率测量,还包括提取最大功率、短路电流、缺陷密度等公共参数的公式。
直流电流/电压(I-V)测量
太阳能电池的多项参数可通过电流-电压 (I-V) 测量获得。使用4200A-SCS的源测量单元 (SMU) 便可完成此任务,它既可作为电压源,又可测量电流。4200A-SCS的SMU具有四象限工作能力,能够以施加电压的函数吸收电池电流,并提供四种型号:4200-SMU/4201-SMU(最大100mA)和4210-SMU/4211-SMU(最大1A)。若电池电流超出以上范围,可通过减小电池面积或使用吉时利SourceMeter?仪器获得更高电流支持。
从I-V测量得到的参数
太阳能电池的等效电路模型包括光感应电流源 (IL)、二极管、串联电阻 (rs) 和分流电阻 (rsh),其中串联电阻影响短路电流和输出功率,理想值为0Ω,而分流电阻反映漏流损耗,理想值为∞。当光照射在太阳能电池上并连接负载电阻时,总电流为 I=ls(eqV/kT?1)?IL。表征电池效率的关键参数包括最大功率点 (Pmax)、能量转换效率 (η) 和填充因子 (FF),最大功率点对应电池I-V曲线的“拐点”,此处输出功率达到最大。
连接到太阳能电池进行I-V测量
图1显示了使用4200A-SCS连接太阳能电池进行I-V测量的配置。太阳能电池通过四线连接测试,其中一对引线 (Force) 提供电压,另一对引线 (Sense) 测量压降。这种配置可消除引线电阻的影响,确保测量的准确性,同时Sense端引线能补偿电压偏差,确保电池电压与设定值一致。
图1. 4200A-SCS连接到太阳能电池进行I-V测量
正向偏置I-V测量
太阳能电池的正向偏置I-V测量在受控光照下进行,通过“fwd-ivsweep”测试由4200A-SCS的SMU完成,电压从0扫至开路电压 (Voc)。短路电流 (Isc) 和开路电压 (Voc) 可直接从扫描数据中提取,其他参数如转换效率 (η) 和电流密度 (J) 可通过公式器计算。I-V扫描结果可生成半对数图或倒置图形,以支持不同分析需求。
串联电阻 (rs) 可通过不同光强下的正向I-V曲线确定,方法为连接线性区域点并测量其斜率的倒数。4200A-SCS的SMU具有极低的电压负荷,仅几百μV,与传统数字万用表相比,更适合太阳能电池的低电压测量,减少测试误差。
反向偏置I-V测量
从反向偏置I-V数据可以推导出太阳能电池的漏电流和分流电阻 (rsh)。测试通常在暗室中进行,通过逐步增加电压至击穿电平并测量电流绘制曲线。SMU的前置放大器支持pA级甚至更小的精确测量,使用低噪声电缆和屏蔽盒可进一步减少干扰,屏蔽连接至4200A-SCS的Force LO端子。
分流电阻 (rsh) 可通过反向偏置I-V曲线的线性区域斜率计算(如图2所示)。Solar Cell Reverse I-V Sweep (“rev-ivsweep”) 测试可生成实际的反向偏置特性曲线,半对数图显示了电流绝对值与反向偏置电压的关系(如图3所示),用于更直观的分析。
图2. 太阳能电池典型的反向偏置特性
图3. 用SMU测量硅太阳能电池的反向偏置 I-V
电容的测量
C-V测量在推导太阳能装置的特定参数时是非常有用的。根据太阳能电池的类型,电容-电压 (C-V) 测量可用于推导掺杂浓度和结的内置电压等参数。电容 - 频率(C-f) 扫描可用于提供耗尽区是否存在陷阱(空穴/阱 电 容)。4200A-SCS的可选4210-CVU或4215-CVU作为电容计,测量电容的相关函数:施加的直流电压 (C-V),频率 (C-f),时间 (C-t),或施加AC电压。CVU还可以测量电导和阻抗。
为了进行电容测量,如图4所示,将太阳能电池连接到CVU上。与使用SMU进行的I-V测量一样,电容测量也涉及四线连接以补偿引线电阻。HPOT/HCUR端子连接到阳极,LPOT/LCUR端子连接到阴极。将CVU的直流高压源端连接到阳极。
图4. 将太阳能电池连接到CVU电容计
图4显示了来自电容计四个端子的四根同轴电缆的屏蔽连接。来自同轴电缆的屏蔽必须尽可能靠近太阳能电池连接在一起,以获得最高的精度,因为这减少了测量电路中电感的影响。这对于在更高的测试频率下进行电容测量尤其重要。
考虑到电池的电容与器件的面积直接相关,在可行的情况下,可能需要减小电池本身的面积,以避免电容可能过高而无法测量。此外,将CVU设置为在较低的测试频率和/或较低的AC驱动电压下测量电容,将允许测量较高的电容。
C-V扫描
C-V测量可在正向或反向偏置下进行,但正向偏置时需限制直流电压,以避免过高电导导致测量失败,且直流电流不得超过10mA,否则仪器可能进入钳位状态。反向偏置条件下,通过Solar Cell C-V Sweep测试生成的C-V曲线如图5所示。
图5. 硅太阳能电池的C-V扫描
为了进一步分析,可绘制1/C2与电压的关系曲线(如图6所示)。内置电压可通过1/C2曲线与横轴的交点推导,掺杂密度则作为电压的函数显示在Analyze窗口中。用户可使用公式器输入电池面积以计算这些参数,或通过线性拟合选项直接获取内置电压值。
图6. 1/C2 vs. 硅太阳能电池的电压
C-f扫描
CVU选项还可以测量电容、电导或阻抗与测试频率的函数。频率范围从1kHz到10MHz。图7中的曲线是使用Solar Cell C-f sweep或“cfsweep”测试生成的。扫描频率的范围和偏置电压都可以调节。所需的参数,如陷阱密度,可以从电容与频率的数据中提取。测量可以在不同温度下重复进行。
图7. Solar Cell的C-f扫描
驱动级电容分析 (DLCP)
驱动级电容分析 (DLCP) 是一种技术,用于确定陷阱密度 (NDL) 随光伏电池结深的变化。在DLCP测量中,AC电压的峰峰值进行扫频,同时直流电压随着电容测量而变化。与传统C-V测量不同,DLCP保持总施加电压 (AC+直流) 恒定,通过调节直流电压偏置来改变样品内固定位置 (Xe),从而确定裸露电荷密度 (ρe)。
DLCP的关键优势是能够通过调整直流偏置,分析陷阱密度随距离变化的特性,还可进行特定深度的能量分析。此外,测量中可改变测试频率和温度,以实现基于能量的更详细分析。
脉冲式I-V测量
脉冲式I-V测量用于分析太阳能电池参数,如转换效率、最小载流子寿命和电池电容影响。通过4225-PMU模块进行测量,可输出脉冲电压、捕获高速波形并吸收电流,支持单通道或双通道配置,采用2线技术校正电缆电压损失,无需4线测量。
为确保测量准确性,需验证脉冲宽度足够长,波形捕获模式可用于动态测试和脉冲设置优化。对电容较大的太阳能电池,可通过减小电池面积减少稳定时间。图8显示的结果表明,PMU吸收电流,电流曲线延伸至第四象限。
图8. 使用 4225-PMU对太阳能电池进行脉冲I-V测量
电阻率和霍尔电压测量
电阻率的大小直接影响太阳能电池的性能,因此测量电池材料的电阻率是一项常见的电学测试。半导体材料的电阻率通常采用四探针法测量,该方法能有效消除探头电阻、扩展电阻以及金属触点与材料之间接触电阻引起的误差。
常用的电阻率测量技术包括四探针法和范德堡法。SolarCell项目中包含了用于执行这两种测量的多项测试,还提供了测量范德堡系数和霍尔系数的独立测试。用户可在Select视图的搜索栏中输入相应测试名称(如vdp-surface-resistivity、vdp-volume-resistivity或hall-coefficient)以快速找到所需测试。
四探针测量法
四探针技术是将四个等间距的探针与阻值未知的材料接触。如图9所示,探针阵列被放置在材料的中心。两个外部探针用于加载电流源,两个内部探针用于测量通过材料表面产生的电压差。
图9. 四探针测电阻率
已知加载电流和被测电压计算表面或薄膜电阻率 :
如果样品的厚度已知,则体电阻率可以按如下方式计算:
用范德堡法测量电阻率
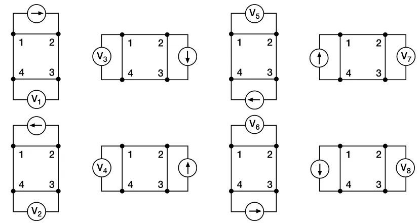
范德堡(vdp)技术测量电阻率使用四个孤立的触点在一个扁平的,任意形状的样品。电阻率是根据图10所示在样品周围进行的8次测量得出的。
图10. 范德堡电阻率测量方法
一旦完成了所有的电压测量,就可以推导出两个电阻率值ρA 和ρB:
采用vdp-resistivity subsite和vdp法进行测试
为了实现vdp电阻率测量的自动化,solarcell项目有一个vdp-resistivity subsite,包含四个测试:“i1-v23”、“i2-v34”、“i3-v41”和“i4-v12”。测试的截图如图11所示。
图11. 范德堡测试的截图
图12. 范德堡测量的SMU配置
样品的每个端子都连接到SMU的Force HI端子,因此需要带有四个SMU的4200A-SCS。四个SMU在每个测试中的配置不同:一个SMU提供测试电流,两个配置为电压表,一个设置为公共端。在样品周围重复此测量设置,四个SMU中的每一个都在四个测试中的每个测试中发挥不同的功能。图12显示了每次测试中每个SMU的功能。
霍尔电压测量
霍尔效应测量对于半导体材料的表征很重要,因为霍尔电压可以导出导电类型、载流子密度和霍尔迁移率。在外加磁场的情况下,可以使用图13所示的配置来测量霍尔电压。
图13. 霍尔电压测量
SolarCell项目不包括测量霍尔电压的具体测试;然而,可以在subsite上增加四个测试,以确定霍尔系数和迁移率??悸堑交舳饬康呐渲糜敕兜卤さ缱杪什饬糠浅O嗨疲梢愿粗坪托薷膙dp测试以进行霍尔电压测量。这些修改涉及改变SMU的功能。如果使用永磁体,则可以使用动作库中的动作来创建一个对话框项目提示,该对话框将停止项目树中的测试序列,并指示用户更改应用于样品的磁场性。项目提示符是一个对话框窗口,它暂停项目测试序列并提示用户执行某些操作。有关如何使用对话框动作的说明,请参阅4200A-SCS参考手册。最后,在subsite的Calc表中推导出霍尔系数和迁移率。这些数学函数可以加到其他公式中,用于测定电阻率。
结论
测量太阳能电池的电特性对于确定设备的输出性能和效率至关重要。4200A-SCS通过自动化I-V、C-V、脉冲I-V和电阻率测量来简化电池测试,并提供图形和分析功能。对于大于1A的电流测量,Keithley提供可用于太阳能电池测试的源表仪器。代替使用四个独立的测试在subsite的Cals表格中进行霍尔电压测量,从库中添加霍尔系数测试,它将所有测量和参数提取合并到一个测试中。
(来源:泰克科技)
免责声明:本文为转载文章,转载此文目的在于传递更多信息,版权归原作者所有。本文所用视频、图片、文字如涉及作品版权问题,请联系小编进行处理。
推荐阅读:





