桃花源qm花论坛(品茶),凤楼阁论坛官网入口网址,一品楼品凤楼论坛最新动态,风楼阁全国信息2024登录入口

你的位置:首页 > 测试测量 > 正文

在光电流应用中应如何补偿电流反馈放大器?

发布时间:2019-03-13 责任编辑:lina

【导读】电流反馈放大器(CFA)历来都不是跨阻放大器(TIA)的首选,因为它们具有较高的反相输入电流和反相输入电流噪声,可能比同等级电压反馈放大器(VFA)至少高出一个数量级。
 
简介
 
电流反馈放大器(CFA)历来都不是跨阻放大器(TIA)的首选,因为它们具有较高的反相输入电流和反相输入电流噪声,可能比同等级电压反馈放大器(VFA)至少高出一个数量级。另外,许多系统设计师对CFA并不熟悉,因为不大愿意使用它们。然而,事实上,CFA使用起来非常简单,而且在要求高增益、低功耗、低噪声、宽带宽和高压摆率的应用中,其性能可能超过VFA。其主要优势之一是,一个理想CFA的环路增益独立于其闭环增益,为此,CFA可以实现出色的谐波失真和带宽性能,而不受其闭环增益的影响。
 
因超低的输入偏置电流和输入电流噪声,FET输入运算放大器往往是TIA应用的首选,尤其是将低输出电流器件(如光电元件)用作输入电流源的应用。尽管FET输入放大器在诸多此类应用中技高一筹,但其速度却可能无法满足需要更快性能的系统要求。因此,在可以耐受较大噪声、速度更快的系统中,越来越多地将CFA用作TIA。
 
本文旨在探讨光电二极管或其他光-电流传感器的寄生电容对用作TIA的CFA的影响,以及如何针对这种电容对放大器进行补偿。同时简要介绍CFA运行模式,并说明CFA和VFA分析法之间的相似之处。本文不使用VFA电路"噪声增益"或者CFA电路"反馈阻抗"分析法。相反,采用基于环路增益的经典反馈理论,以避免在电流和电压域之间来回转换时遇到的困难(环路增益始终是一个无维度的量),而且该理论还可产生直观、易用的波特图。
 
电流反馈放大器的基本知识
 
理想的CFA的输入阻抗为零——其输入端跨接完全短路——因为负反馈信号为电流。相对地,理想的VFA的输入阻抗则是无穷大,因为其反馈信号为电压。CFA检测在其输入端中流过的误差电流,并形成等于Z与输入电流之积的输出电压,其中,Z表示跨阻增益。须正确定义误差电流的方向,以产生负反馈。与VFA中的A相似,在理想CFA中,Z接近无穷大。图1所示基本原理展示了如何将理想的CFA配置成TIA,以便将来自理想电流源的电流转换为输出电压。
 
在光电流应用中应如何补偿电流反馈放大器?
图1. 用作TIA的理想CFA
 
该TIA的闭环增益可以表示为
 
在光电流应用中应如何补偿电流反馈放大器?              (1)
 
等式1表示,Z接近无穷大,TIA增益则接近其理想值RF。随着Z接近无穷大,误差电流 ie接近零,所有输入电流均流过RF。在等式1中,环路增益表示为
 
在光电流应用中应如何补偿电流反馈放大器?
 
不幸的是,理想的CFA是不存在的,因此,实用器件一般都退而求其次:在其输入端跨接一个单位增益缓冲器。电流镜将误差电流反射至一个高阻抗节点,在此,误差电流被转换成电压,缓冲后馈入输出端,如图2所示。
 
在光电流应用中应如何补偿电流反馈放大器?
 
图2. 用作TIA的实用CFA(带单位增益缓冲器)
 
只要 Ro = 0,则闭环增益与等式1中的闭环增益相同。当Ro > 0时,闭环增益变成
 
 在光电流应用中应如何补偿电流反馈放大器?      (2)
 
且环路增益为
 
在光电流应用中应如何补偿电流反馈放大器?
 
使用实用元件设计TIA
 
光电二极管和其他光电器件表现出一种与器件面积成比例的寄生分流电容。当 Ro = 0时,该电容完全自举,因而不会影响闭环响应。在实际CFA中,Ro > 0,并且寄生电容会影响响应,结果可能导致电路不稳定。另外,就像VFA中的开环增益A一样,在实际CFA中,Z的幅度在低频下较大,随着频率的增加而滚降,而随着频率的增加,相移表现出更大迟滞。对于一阶,Z(s)的特性可以描述为单个主极点,其中,s = p直流跨阻为Zo,如等式3所示。Z(s)中的高频极点稍后再作讨论。
 
在光电流应用中应如何补偿电流反馈放大器?     (3)
 
图3中的电路包含寄生电容C和跨阻Z(s)。请注意,CFA的反相输入电容可以并入C。
 
在光电流应用中应如何补偿电流反馈放大器?
图3. 基于实用型CFA的TIA(含寄生电容)
 
通过在反相输入端执行KCL,可求得等式4。
 
在光电流应用中应如何补偿电流反馈放大器?   (4)
 
误差电流, ie, 为
 
在光电流应用中应如何补偿电流反馈放大器?     (5)
 
结合等式4和等式5,可以得到如下结果,即图3所示电路的闭环TIA增益:
 
在光电流应用中应如何补偿电流反馈放大器?   (6)
 
等式6中的环路增益非常明显,可通过以下等式求得
 
在光电流应用中应如何补偿电流反馈放大器?       (7)
 
环路增益含有两个极点,一个低频极点s = p 以及一个高频极点
 
在光电流应用中应如何补偿电流反馈放大器?
 
当 Ro<< RF时, RF 和 Ro的并联结果可以通过Ro近似求出。如果在高频极点发生的频率下,环路增益的幅度大于0 dB,则这两个极点会带来稳定性问题。当Ro 和 C 较小时,寄生极点发生的频率高于交越频率,放大器稳定。但在多数TIA电路中,情况并非如此,因此,我们必须找到一种办法,对反相输入寄生电容进行补偿。
 
添加一个反馈电容(题外话)
 
带有单极点传递函数(如等式3所示)的CFA在任何反馈电阻值下都表现稳定,因为其反馈环路周围的迟滞相移被限制为–90°。但实际CFA的次要极点在高频下会带来较大的相移迟滞,因此,为了确保稳定性,实际会对 RF 的最小值做出限制(45°一般是可接受的最小相位裕量)。此后,Z(s)将包含一个高频极点s = pH和一个主极点 s = p。
 
为了确保反馈阻抗不变成零,通常建议在任何CFA电路中都不应使用反馈电容。然而,事情并非如此简单,因为在幅度变化以外,反馈电容还会导致相移。本节将考察将一个反馈电容添加至基于CFA的TIA时产生的结果,暂且忽略寄生输入电容。在图2所示电路中,在反馈电阻RF上跨接一个反馈电容CF,结果形成一个极点,并在环路增益中产生一个零。ZF 定义为 RF 和 CF的并联结果:
 
在光电流应用中应如何补偿电流反馈放大器?    (8)
 
如果以ZF取代等式2中的RF ,则闭环增益可表示为等式9。
 
在光电流应用中应如何补偿电流反馈放大器?    (9)
 
此时,环路增益为
 
在光电流应用中应如何补偿电流反馈放大器?  (10)
 
环路增益有一个来自Z(s)的主极点 s = p 和一个高频极点 s = pH 。另外,受增加的反馈电容的影响,在
 
在光电流应用中应如何补偿电流反馈放大器?
 
时形成一个极点,在
 
在光电流应用中应如何补偿电流反馈放大器?
 
时产生一个零。
 
在波特图中,CF 导致的零产生时的频率低于CF导致的极点,因为零频率表达式的分母中含有RF ,而极点频率表达式的分母中则含有(Ro||RF)。一种基于CFA的可能TIA(含CF (等式10))的波特图如图4所示。
 
在光电流应用中应如何补偿电流反馈放大器?
图4. 基于CFA的TIA(含反?。┑牟ㄌ赝?/div>
 
随着频率的增加,零会导致幅度不断提高,相移不断加大,从稳定性角度来看,在某些情况下,这可能是一件好事。但在图4所示系统中,零出现在环路增益跨过0 dB之处,而pH 下的极点则在跨交越点–40 dB/十倍频程时导致幅度渐近线下降。蓝色虚线表示不含CF的环路增益,采用的是等式2以及双极点版本的Z(s)(见等式11)。
 
在光电流应用中应如何补偿电流反馈放大器?     (11)
 
F图4表明,当无CF时,放大器表现稳定,但在添加CF之后,则会产生稳定性问题。图4中的坐标图并不完全排除反馈电容的使用,因为该特定Z(s)并不代表所有CFA,而且未使用实际电阻和电容值;尽管如此,图中确实表明,高频极点会限制可以安全应用的反馈电容。图4同时表明,可以向一个带单极点传递函数的假想CFA安全添加任意量的反馈电容,而添加反馈电容会增加其闭环带宽。
 
使用CF导致的零抵销寄生电容导致的极点
 
以上简要介绍了向CFA添加CF产生的影响,从中可以看出,可以安全使用CF 来补偿输入电流源的寄生分流电容。
 
图3所示电路的闭环增益表示为等式6。为了厘清添加反馈电容对该电路的影响,可用ZF取代等式6中的RF ,与推导等式9的方法相似,其中,ZF 由等式8定义。电路如图5所示。
 
在光电流应用中应如何补偿电流反馈放大器?
图5. 基于实用CFA的TIA(用CF 补偿寄生电容)
 
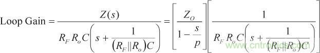
图5所示电路的闭环增益可通过等式12求得:
 
在光电流应用中应如何补偿电流反馈放大器?       (12)
 
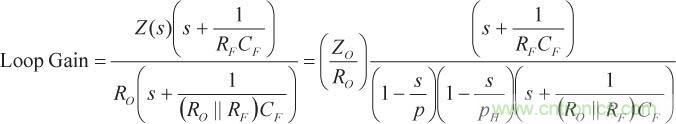
根据该等式,可以算出环路增益为
 
在光电流应用中应如何补偿电流反馈放大器?
在光电流应用中应如何补偿电流反馈放大器?     (13)
 
等式13中,因CF导致的零与等式10中的零相同,但CF 导致的极点则从
 
在光电流应用中应如何补偿电流反馈放大器?

移到了
 
在光电流应用中应如何补偿电流反馈放大器?
 
通过向CF添加C,可以移动极点位置,以匹配零的位置,从而抵销掉输入电流源的寄生电容C导致的极点。在等式13中,将CF和C导致的极点频率设为因CF导致的零频率,则得到等式14:
 
在光电流应用中应如何补偿电流反馈放大器?    (14)
 
等式14所示为计算CF的值的简单公式,该值可抵销图5所示TIA中的寄生电容C导致的环路增益中的极点。以这种方式将极点零完美抵销之后,环路增益会回归最初形式,含有主极点和高频极点,如等式11所示。至此,闭环增益可以表示为等式15。
 
在光电流应用中应如何补偿电流反馈放大器?   (15)
 
在使用等式14时,遇到的主要困难是确定Ro,该值是可变的,而且CFA数据手册中未必提供其额定值。然而,只要环路增益图的斜率在通过0dB时合理接近–20 dB/十倍频程,则极点-零抵销无需如此精确。等式14表明,CF 随 Ro 线性递减,因为随着 Ro 接近0,自举发生次数会增加,其中,C完全自举,所需 CF等于0。等式14也可表示为一种匹配时间常数形式,如RoC = RFCF。等式14的匹配时间常数形式与对VFA进行寄生求和节点电容补偿时获得的结果非常相似: RGCG = RFCF,其中 RG为VFA增益电阻,CG 为RG的交越电容,该电容一般为寄生求和节点电容。然而,获得这种优势是需要付出代价的。虽然添加CF可使TIA变稳定,但同时也会在
 
在光电流应用中应如何补偿电流反馈放大器?
 
时在闭环增益中导致一个极点,如等式12和等式15所示。等式15所描述的闭环增益可以视为传递函数相乘的两个级联系统。第一个系统的传递函数为等式15中最左侧的因子,维度为欧姆。第二个系统的传递函数为等式15中最右侧的因子,无维度。
 
第二个系统的响应取决于环路增益,只要环路增益幅度在–20 dB/十倍频程时跨过0 dB,就可以模拟为一个一阶传递函数?;痉蠢±砺郾砻?,如果达到这一滚降条件,当环路增益幅度>>1时,第二个系统的闭环增益幅度约等于单位增益,当环路增益幅度<<1时,则跟随环路增益幅度。闭环增益中的3-dB点出现在环路增益幅度跨过0 dB时的频率(如果斜率略快于–20 dB/十倍频程,则在接近0-dB交越点之处,闭环响应中会出现一些峰化)。因此,在一个稳定的放大器中,第二个系统可以近似模拟为一个一阶、低通滤波器,其单位增益处于通带中,且截止频率等于环路增益幅度跨过0 dB时的频率。第一个系统的传递函数为反馈因子的倒数,其响应为简单的一阶、低通响应,直流值为RF,转折频率为
 
在光电流应用中应如何补偿电流反馈放大器?
 
凭直觉可以看出,CF 导致的额外极点是意义的,因为输出电压是流过反馈阻抗的电流形成的,而反馈阻抗随频率增加而下降。当CF 的电抗等于RF的值时,会形成极点。在使用反馈电容补偿、基于VFA的TIA中会发生相同的情况。不过可以略微扩大闭环带宽,其方法是从根据等式14计算的值开始,小心地减小CF ,移出极点频率,并缩减相位裕量,但这只能尝试着做。
 
仿真数据
 
为了测试该结果,我们针对CFA提出了一种简单的仿真模型,其中,Zo = 1 MΩ, p = –2π (100 kHz), pH = –2π (200 MHz), Ro = 50 Ω,且 RF = 500 Ω。环路增益的幅度则可通过以这些值代入等式11中的幅度计算得到。
 
在光电流应用中应如何补偿电流反馈放大器?     (16)
 
结果约等于1,其中 f = 145 MHz.
 
145 MHz时的环路增益相移为
 
在光电流应用中应如何补偿电流反馈放大器?   (17)
 
结果得到大约54°的相位裕量,对于无寄生电容的基本CFA来说,这是一个不错的起点。
 
图6所示为该模型的响应仿真情况,其中,电流阶跃输入上升时间为1-ns。
 
在光电流应用中应如何补偿电流反馈放大器?
图6. 基本TIA的阶跃响应(无寄生电容)(20 ns/div)
 
响应非常干净,响铃振荡已减至最小——为54°相位裕量条件下的应有水平。对于同一放大器,当在反相输入端和接地之间添加一个50 pF的寄生电容时,其阶跃响应如图7所示。
 
在光电流应用中应如何补偿电流反馈放大器?
图7. 阶跃响应(反相输入端与接地之间存在50 pF的电容)(20 ns/div)
 
图7中的纵坐标与图6相同,只是轨迹下移了一个刻度,以适应响铃振荡。显然存在过多响铃振荡,这种放大器明显有相位裕量问题。
 
放大器可以通过添加一个反馈电容(其值通过等式14决定)来实现稳定化,经计算,该电容为5 pF。图8 所示为添加5-pF反馈电容后的结果。
 
在光电流应用中应如何补偿电流反馈放大器?
图8. 阶跃响应(以5 pF反馈电容实现极点/零抵销)(20 ns/div)
 
显然,闭环增益中的极点会对频带形成限制。原始放大器的环路增益0-dB交越确定为145 MHz,相当于一阶系统中约1.1的时间常数,RFCF时间常数为2.5 ns(注意,0-dB交越时,环路增益幅度滚降速率略快于–20 dB/十倍频程,因为相位裕量少于90°,但一阶闭环模型是一种比较精确的近似模型)。使用由两个级联系统构成的上述模型,级联系统的合并时间常数可以估算为两个时间常数的方和根(输入电流源10%至90%的上升时间为1ns,相当于次纳秒级的有效时间常数,可忽略不计),即2.7 ns左右,似乎与图7所示响应相符合。
 
将 CF 降为3 pF 可以略微减少相位裕量,加大闭环极点频率,由此提升速度,如图9所示。
 
在光电流应用中应如何补偿电流反馈放大器?
图9. 阶跃响应(带3-pF反馈电容)(20 ns/div)
 
显然,要获得最佳的CF的值,需要进行一些实验。诸如负载电容、电路板布局、Ro变化等因素在挑选CF时也是需要考虑的。
 
结论
 
随着将CFA用作TIA的做法日渐盛行,有必要了解如何对CFA反相输入端的传感器电容进行补偿,有必要了解补偿机制的工作原理。本文基于经典反馈技术,提出了一种简便办法,即将一个反馈电容与反馈电阻并联起来,对反相输入电容进行补偿。反馈电容会在闭环响应中导致一个无用极点,但可以基于计算所得值对电容的值进行调整,以减少极点对频带的限制作用。
 
 
           
                                                                           

关闭

?

关闭