桃花源qm花论坛(品茶),凤楼阁论坛官网入口网址,一品楼品凤楼论坛最新动态,风楼阁全国信息2024登录入口

你的位置:首页 > 测试测量 > 正文

针对电网谐波污染的并联APF控制器

发布时间:2012-11-14 责任编辑:rexliu

【导读】近年来,随着电子设备及非线性、冲击性设备的广泛应用,使电网中产生的谐波对电网系统造成的污染越来越重,因此消除电网中的谐波污染已成为电能质量研究的一个重要课题。本文介绍的是基于DSP和ARM的并联有源电力滤波器控制器在电网设计中的应用思路。

1 前言  

近年来,电子设备及非线性、冲击性设备的广泛应用,使电网中产生的谐波对电网系统造成的污染越来越重,因此消除电网中的谐波污染已成为电能质量研究的一个重要课题。目前普遍 采用的并联型无源滤波器存在着滤波效果差,对电网参数敏感。元件体积庞大。严重时会导致串并联谐振事故等缺陷。采用现代电力电子技术、数字信号处理技术和先进控制理论的有源电力滤波器技术对电网谐波进行动态实时补偿,是目前解决谐波污染问题的一种有效并具有潜力的途径。

传统的并联型APF的控制方法大都基于瞬时无功理论、自适应理论等计算测量方法,首先计算出负载电流中的谐波成分,然后根据计算出的谐波电流值。分 别进行补偿电流和直流侧电容电压的控制。这种方式需进行较复杂的数学运算,影响装置的响应速度。在负荷变化时容易发生电流畸变?!?br />
针对三相系统采用了一种基于直流侧电容电压控锘lJl51的APF控制算法,从瞬时有功和无功功率在系统中传递的角度出发,以调节电网输入APF的有功功率为目标,直接对输入电流进行控制,省去了检测有功和无功电流分量的繁琐过程,使检测谐波的过程变得简单。并设计了一种基于DSP和ARM的全数字并联APF控制器?! ?br />
2 控制策略 

2.1 直流侧电容电压控制算法  

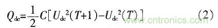
通过控制算法使电源侧向电容注入适当的能量,以补偿电力电子器件开断造成的损耗,维持直流侧电容电压H由的稳定。实际补偿装置中的损耗功率在一个周期内的积分不为零,会引起u也周期值的变化,该周期值的变化反应了逆变器两侧有功功率的传递。

算法控制在交流侧由电源输入有功电流以补偿开关器件的损耗。交流侧补偿功率PA一个周期内的积分为:
 
交流侧补偿功率PA一个周期内的积分

在一个周期内的能量变化即直流电容上储存的电量可表示为:
 
在一个周期内的能量变化即直流电容上储存的电量

联立式(1)和式(2),补偿目标是使两式相等。以一个r为单位??梢约扑愠鼋涣鞑嗟刃Р钩サ缌鞯拇笮?。图1示出据此设 计的直流侧电压的单周期控制框图。进行周期采样,通过比例积分环节对采样得到的电压比较值进行修正之后,可以得出损耗电流的幅值k。使损耗电流与系统电压 同相位,以保证其为等效有功电流:控制有功的传递情况,以保证稳定在某一值附近?! ?br />
由图1可以看出,u出的调节形成负反馈,满足了出始终在某一固定值附近的要求。

u出的调节形成负反馈,满足了出始终在某一固定值附近的要求
 
2.2 谐波补偿 

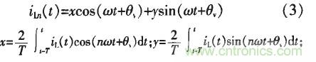
对于某一稳定谐波源,可通过在控制回路叠加谐波检测环节来补偿负荷的谐波,既可选择全补偿亦可选择对特定谐波进行补偿。同时,在谐波检测环节加限幅环节。以抵消负荷突变造成的影响,起到保护电路的作用。谐波电流的提取可按FFI''''''''方法计算:
 
谐波电流的提取

2.3 总控制框图  

图2示出总控制框图。目标电流输出包括了控制和谐波电流检测两部分内容。与补偿器实际输出的补偿电流进行滞环比较。输出三相PWM信号去控制变流器。
 
总控制框图

3 有源电力滤波器控制系统设计 

所设计的APF控制系统采用DSP+ARM双核结构。DSP完成采样控制、A/D转换、电压调节和指令电流计算等功能,ARM实现外围扩展功能?! ?br />
采用近年新推出的一款32位定点数字信号处理器TMS320F2808。它具有丰富的片内外围设置:  

两个事件管理器??楦靼礁?6位定时器。完成PWM信号产生、信号指示和故障?;すδ?;最小转换时间为160 ns的12位ADC完成数据采集:CAN,SCI和SPI通信接口完成快速通信功能。其最高主频为100 MHz.单个指令周期为10 ns.可以很好地满足APF控制系统的控制要求。

采用LPC2364型ARM芯片。 它基于一个支持实时仿真和嵌入式跟踪的ARMTTDMI.STMCPU微控制器,功能强大且成本效率高。支持10/100 Ethernet、全速USB2.0和CAN2.0B.具有高达512 kB的FLASH和58 kB的SRAM.可以方便地实现液晶显示器与键盘组成的人机接口。以及与上位机的通信功能。控制系统框图如图3所示。

  控制系统框图

电网中的三相电压信号、直流侧电压信号、负载电流信号以及APF输出信号经过信号调理后送往DSP进行转换。DSP内置 A/D模块具有12位分辨率、流水线结构。根据所采样的数据,TMS320F2808运算得到的如与APF实际输出的补偿电流进行滞环比较。输出三相 PWM信号控制变流器。同时,采用逻辑器件组成了硬件死区控制方式,配合IGBT模块设计了相应的逻辑硬件驱动?;ぁR蕴岣呦低车目煽啃??! ?br />
DSP与ARM之间采用CAN通信方式,通信速度可达l Mb/s。能很好地满足高速传输数据的要求。 

ARM通过CAN总线调用刖D数据并扩展FLASH芯片用于存储数据。芯片采用I/O模式的16 MB容量FLASH。板内可扩展8块。利用三八译码器的输出作为选通信号。主要用于储存液晶屏显示数据:ARM芯片采用标准SPI接口。与显示板交互数 据:带有标准的232/485接口。用于上位机通讯及通讯口功能的扩展。如打印机等?!?br />
系统程序由主程序和定时器上溢中断程序组成?! ?br />
主程序负责DSP系统初始化和变量初始化。完成对三相系统的采样。执行图4a中的控制算法,包括数字锁相环、电压PI调节以及id的计算;图4b所示的中断程序负责三相滞环比较控制。
 
控制系统框图

4 仿真与实验  

在不对称谐波负荷情况下,使用电力仿真软件EMTP进行了仿真(波形略)。从仿真结果来看,补偿前的三相系统电流,屯波形不对称、非正弦,且含有大量谐波;补偿后ih,讥,ik对称且与系统电压同相位。  

图5示出采用所设诗的APF进行补偿后的实测波形。对比两图,补偿后谐波含量明显减小,APF谐波补偿效果明显。
 
APF进行补偿后的实测波形

5 结论
  

针对三相系统设计了一种基于DSP—ARM全数字控制的并联有源电力滤波器。采用了基于能量守恒原理的直流侧电压控制方法,该方法能对谐波实现全补 偿。并且该控制策略对于不平衡的三相系统仍然有效。对不对称谐波源进行补偿后可使三相电流保持对称。仿真与实际测试结果表明了该控制策略的正确性??墒瓜?统具有良好的谐波抑制特性和响应速度。
要采购滤波器么,点这里了解一下价格!
特别推荐
技术文章更多>>
技术白皮书下载更多>>
热门搜索

关闭

?

关闭