【导读】了解了 ADC 中的缺失代码如何导致 ADC 输出失真。这种失真将导致输入信号的谐波出现在 ADC 的输出中。虽然具有缺失代码的 ADC 确实会产生大量谐波失真,但缺失代码并不是谐波失真的来源。 ADC 输出中的谐波失真是由 ADC 特性中存在的任何非线性引起的。每个实用的 ADC 都具有非线性特性。因此,每个实际 ADC 的输出中都存在谐波。 DNL 和 INL 是 ADC 特性非线性的度量,而 THD 是 ADC 输出中产生的谐波失真的度量。
了解了 ADC 中的缺失代码如何导致 ADC 输出失真。这种失真将导致输入信号的谐波出现在 ADC 的输出中。虽然具有缺失代码的 ADC 确实会产生大量谐波失真,但缺失代码并不是谐波失真的来源。 ADC 输出中的谐波失真是由 ADC 特性中存在的任何非线性引起的。每个实用的 ADC 都具有非线性特性。因此,每个实际 ADC 的输出中都存在谐波。 DNL 和 INL 是 ADC 特性非线性的度量,而 THD 是 ADC 输出中产生的谐波失真的度量。
图 1:具有非线性特性的 ADC 输出的 FFT
产生的谐波清晰可见
为了可视化 ADC 输出中的谐波失真,我们将提供一个正弦波作为 ADC 的输入,并绘制 ADC 数字输出的傅里叶变换(又名 FFT)。图 1 显示了此类 ADC 输出的 FFT 示例。理想情况下,FFT 应在正弦波频率处具有单个频率尖峰。尽管输入信号的频率在 FFT 图中具有幅度(FFT 中的绿色茎),但图中还可以看到其他频率内容。输入信号频率称为基频。除了基频分量之外,FFT 中还会周期性地出现尖峰(蓝色茎)。这些是输入信号频率的谐波。
图 1中用于测量的 ADC 具有相当大的非线性特性。对于良好的 ADC 设计,ADC 的输出 FFT 看起来会干净得多。下面的图 1-1 显示了这样一个示例。我们需要更的工具和测量设备来表征此类 ADC 的失真。
图 1-1:具有相当线性特性的 ADC 输出的 FFT
- 谐波含量非常低。
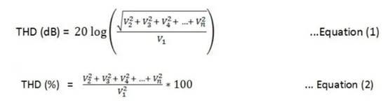
总谐波失真定义为 ADC 输出中谐波含量相对于基频功率的功率。它可以分别按照方程(1)和(2)以分贝或百分比表示 。
如图 1所示,当我们转向 ADC 的更高谐波时,谐波的幅度(以及谐波频率的功率)通?;峤档?。因此,在计算总谐波失真时,只需考虑前几次谐波。 ADC 数据表应指定计算数据表中总谐波失真数时考虑的谐波数。
除了 ADC 的基频和谐波频率分量之外,图 1还显示每隔一个频率分量(以红色标记)处存在一些功率。这对应于 ADC 输出中存在的噪声。
免责声明:本文为转载文章,转载此文目的在于传递更多信息,版权归原作者所有。本文所用视频、图片、文字如涉及作品版权问题,请联系小编进行处理。
推荐阅读:






