桃花源qm花论坛(品茶),凤楼阁论坛官网入口网址,一品楼品凤楼论坛最新动态,风楼阁全国信息2024登录入口

功率器件热设计基础(九)——功率半导体??榈娜壤┥?/h2>

发布时间:2024-12-22 责任编辑:lina

【导读】任何导热材料都有热阻,而且热阻与材料面积成反比,与厚度成正比。按道理说,铜基板也会有额外的热阻,那为什么实际情况是有铜基板的??樯⑷雀媚兀空馐且蛭鹊暮嵯蚶┥⒋吹暮么?。


前言

功率半导体热设计是实现IGBT、碳化硅SiC高功率密度的基础,只有掌握功率半导体的热设计基础知识,才能完成精确热设计,提高功率器件的利用率,降低系统成本,并保证系统的可靠性。

功率器件热设计基础系列文章会比较系统地讲解热设计基础知识,相关标准和工程测量方法。

任何导热材料都有热阻,而且热阻与材料面积成反比,与厚度成正比。按道理说,铜基板也会有额外的热阻,那为什么实际情况是有铜基板的模块散热更好呢?这是因为热的横向扩散带来的好处。


热横向扩散

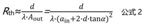
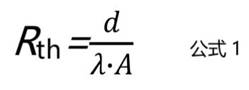
除了热阻热容,另一个影响半导体散热的重要物理效应为热的横向传导。这个术语指热能在热导体内立体交叉传输,即热量不仅能垂直传导也可以横向传导。根据公式1,可由表面积A和厚度d计算Rth。

如果热源的热流Pth,C从一个有限面向另一个面积更大的热导体传导,热量的出口面积Aout比进口表面积Ain大,因此热流密度不断减小,但总热量不变,如图一和图二所示。


出口表面积Aout比进口表面积Ain大多少取决于两个因素:

1.平板的厚度d
2.热扩散角α

在热的横向传导时,定为一个方形热源,热导体的热阻可以近似计算为:


式中,a2in为入口表面Ain的边长(m)。

热扩散角α表示热导体的一种特性,如果有几层不同的材质,每层的Rth必须单独确定,然后综合所有热阻值得出总热阻。图三给出了采用两层不同材质散热时热的横向传导。


由于热的横向传导,根据方形进口表面积:


第一层材料的热阻为:



而对于第二层材料,第一层的横向传导导致第二层入口表面积增大为:


这样第二层材料的热阻为:


而它有效的出口面积:


因此,综合两层的情况得到总的热阻为:


分析

基于这知识点,我们可以做什么分析呢?

采用相同芯片的铜基板??镕S50R12KT4_B15比DCB模块FS50R12W2T4散热性能好,以50A 1200V IGBT4技术的??槲岫陨⑷绕鞯娜茸璨?8%。

由于DCB模块FS50R12W2T4没有铜基板,结对壳的热阻RthJC=0.45k/W,比有铜基板??镕S50R12KT4_B15热阻结对壳的热阻要低一些,因为铜基板引入的热阻;但DCB??榭嵌陨⑷绕鞯娜茸枰吆芏?,因为热扩散效应。


单管IKW40N120T2与??楸?,更小的芯片尺寸,40A单管的结对壳的热阻RthJC=0.31k/W,远低于模块,这是因为芯片直接焊接在铜框架上,由于热扩散效应,散热更好。

4个芯片比单个芯片散热要好。

要验证我们的猜想4个芯片通过并联实现大电流要比单个大电流芯片散热要好,可以研究图二中的Aout的值。

我们做一个paper design,把4个50A 1200V芯片IGC50T120T6RQ,取代单个200A 1200V芯片,为了简化问题,我们假设芯片是直接烧结在3mm厚的铜板上,并假设热扩散角是45度。

通过下表的计算发现,4个50A芯片的Aout=100.9*4=403.6mm2,比单个200A芯片280mm2要大44%,散热更好。


总结

本文第一章摘自参考资料《IGBT模块:技术、驱动和应用》,通过分析各种封装产品的数值给读者量化的概念,供参考。


免责声明:本文为转载文章,转载此文目的在于传递更多信息,版权归原作者所有。本文所用视频、图片、文字如涉及作品版权问题,请联系小编进行处理。


我爱方案网


推荐阅读:

准 Z 源逆变器的设计

第12讲:三菱电机高压SiC芯片技术

一文看懂电压转换的级联和混合概念

意法半导体推出首款超低功耗生物传感器,成为众多新型应用的核心所在

是否存在有关 PCB 走线电感的经验法则?

特别推荐
技术文章更多>>
技术白皮书下载更多>>
热门搜索

关闭

?

关闭