【导读】数字电位器(digiPOT)功能多样,应用广泛,例如用于滤除或生成交流信号。但是有时频率必须能够有所变化,并根据应用需求调整。在此类设计中,支持通过适当的接口调整频率的可编程解决方案极为有用,在有些情况下非常有助于开发。本文介绍一种简单易行的可编程振荡器构建方法,其中振荡频率和幅度可以通过使用digiPOT来彼此独立地调节。
数字电位器(digiPOT)功能多样,应用广泛,例如用于滤除或生成交流信号。但是有时频率必须能够有所变化,并根据应用需求调整。在此类设计中,支持通过适当的接口调整频率的可编程解决方案极为有用,在有些情况下非常有助于开发。本文介绍一种简单易行的可编程振荡器构建方法,其中振荡频率和幅度可以通过使用digiPOT来彼此独立地调节。
图1显示的是典型二极管稳定文氏电桥振荡器,可用于在输出端 (VOUTPUT)产生约10 kHz至200 kHz的精确正弦波信号。文氏电桥振荡器有两个桥路,一个由带通滤波器构成,另一个由分压器构成。除了 ADA4610-1 轨到轨精密放大器之外,本示例还使用了AD5142 digiPOT,其包含两个独立可控的电位器,每个具备256步进分辨率。电阻值通过SPI编程设置,如图2所示?;蛘撸梢允褂糜蒊2C控制的AD5142A。两种都可用作10 kΩ或100 kΩ电位器。
图1.振幅稳定的可编程文氏电桥振荡器,其中电阻由digiPOT代替。
图2. AD5142的功能框图。
在图1所示的经典振荡器电路中,R1A、R1B、C1和C2的路径形 成正反馈,而R2A、R2B和两个并联二极管D1和D2或其电阻 RDIODE则形成负反馈。在这种情况下,可以使用公式1:
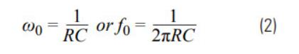
为了实现持续稳定的振荡,需要消除环路增益中的相移。用公式表示,振荡频率:
其中,R表示AD5142上的可编程电阻值:
D表示AD5142中可编程数字代码的十进制等效值, RAB 表示电位器的总电阻。
为了保持振荡,文氏电桥振荡器应当相对平衡,也就是说,正反馈增益和负反馈增益必须协调一致。如果正反?。ㄔ鲆妫┕?,振荡幅度或 VOUTPUT 将增加,直至放大器饱和。如果负反馈占主导,则振荡幅度将相应衰减。
在此处所示的电路中,增益R2/R1应设置为2左右或更大些。这会确保信号开始振荡。
但是,交替开启负反馈环路中的二极管也会导致增益暂时小于2,从而使振荡稳定下来。
一旦确定所需的振荡频率,就可以通过R2,不受频率影响地调谐振荡幅度。可以通过下式计算:
所以,变量ID和VD分别代表通过D1和D2的二极管正向电流和二极管正向电压。如果R2B出现短路,会产生约±0.6 V的振荡幅度。R2B的幅度量级正确时,则可达到平衡,从而使 VOUTPUT 收敛。在图1所示的电路中,R2B采用了一个单独的100 kΩ digiPOT。
通过采用所述的电路和10 kΩ双digiPOT,可以分别以8 kΩ、4 kΩ和670 Ω的电阻值调谐8.8 kHz、17.6 kHz和102 kHz振荡频率,频率误差低至±3%。提高输出频率可能会影响频率误差。例如,200 kHz时,频率误差将增至6%。
在频率相关应用中使用此类电路时,必须注意不要超过digiPOT 的带宽限值,因为该值与可编程电阻呈函数关系。此外,图1所 示的频率调谐要求R1A和R1B的电阻值相同。但是,两个通道只 能依次设置,并会导致瞬时临界中间状态。对于某些应用,这 种情况是不可接受的。在这些情况下,可以使用支持菊花链模 式的digiPOT(例如 AD5204),以便能够同时更改电阻值。
免责声明:本文为转载文章,转载此文目的在于传递更多信息,版权归原作者所有。本文所用视频、图片、文字如涉及作品版权问题,请联系小编进行处理。
推荐阅读:
AUTO TECH 2024华南展——第十一届广州国际汽车技术展览会
2024 第十一届广州国际汽车零部件及加工技术/汽车模具展览会





