【导读】由于仪表放大器主要用于放大微小精密信号,因此,有必要了解所有相关噪声源的效应。仪表放大器模型如下面图1所示。

输入电压噪声有两个来源。第一个来源表示为与输入端串联的噪声源VNI,就如常规运算放大器电路中一样。该噪声由仪表放大器增益G反映到输出端。第二个噪声源是输出噪声VNO,表示为与仪表放大器输出端串联的噪声电压。输出噪声(此处表示为VOUT)可以通过除以增益G,从而折合到输入端。
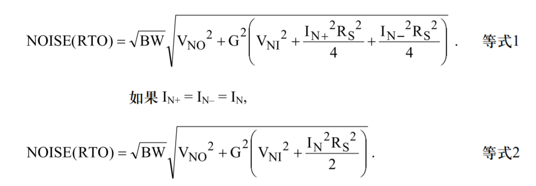
与输入噪声电流IN+和IN–关联的噪声源也有两个。尽管IN+和IN–通常相等(IN+ ≈ IN– = IN),但它们却不相关,因此,二者所产生的噪声必须以和方根(RSS)的方式求和。IN+流过RS的一半,IN–流过另一半。结果会产生两个噪声电压,其幅度各为INRS/2。这两个噪声源分别由仪表放大器增益G反映到输出端。
总输出噪声是通过和方根形式对全部四个噪声源求和的方式算出的。

要求总噪声(折合到输入端(RTI)),只需将上述表达式除以仪表放大器增益G即可。

仪表放大器数据手册通?;岚炎艿缪乖肷鵕TI表示为增益的函数。噪声频谱密度同时包括输入(VNI)和输出(VNO)噪声贡献。输入电流噪声频谱密度分开规定。
就如在运算放大器中一样,必须将总仪表放大器噪声RTI在适用仪表放大器闭环带宽内进行积分,从而算出一个和方根值。带宽可以根据数据手册典型确定,其中将频率响应表示为增益的函数。
对于该带宽,计算时务必小心,因为其通常不是恒定带宽积关系(如VFB运算放大器即是如此)。对于AD620仪表放大器系列,增益带宽模式更像一个CFB运算放大器。在这种情况下,预测给定增益下带宽最安全的做法是使用数据手册中提供的曲线。
参考文献
1. Hank Zumbahlen, Basic Linear Design, Analog Devices, 2006, ISBN:0-915550-28-1.另见Linear Circuit Design Handbook, Elsevier-Newnes, 2008, ISBN-10:0750687037, ISBN-13:978-0750687034。Chapter 2.
2. Walter G. Jung, Op Amp Applications, Analog Devices, 2002, ISBN 0-916550-26-5, 另见Op Amp Applications Handbook, Elsevier/Newnes, 2005, ISBN 0-7506-7844-5.Chapter 2.
3. Charles Kitchin and Lew Counts, A Designer''''''''s Guide to Instrumentation Amplifiers, 3rd Edition, Analog Devices, 2006.
推荐阅读:




