- 线性稳压器的限流电路结构
- 线性稳压器的电流采样电路
- 线性稳压器的性能参数和结果
目前伴随着便携移动设备的快速发展,电源芯片得到更广泛的应用,LDO芯片即是一种重要的电源芯片。但在发生输出短路或负载电流过大的情况,LDO稳压器可能会损坏,特别是在短路情况下,LDO存在过大的电流从调整管通过,进而可能烧坏调整管致使芯片无法工作。因此需要设计一种用于LDO稳压器的限流电路,能在过载或短路情况下及时关闭电源系统。
电路结构
这种限流电路的主要结构包括:电流采样电路、电流比较电路和基准源电路。如图1所示,它将从LDO输出电路得到的采样电流,与基准电流(镜像于基准源)作比较。根据实际需要,设定当输出驱动电流大于100mA时,采样电流大于基准电流,比较器翻转输出低电平,经反相器整形后得到逻辑0,由此LDO被关闭,从而实现限流功能。
1电流采样电路
如图1所示,电流采样电路包括MP5、MP4、MP3、MN2和MN1。因为MP5和MP6均工作在饱和区,为了使MP5更好地等比例镜像LDO的调整管(PMOS驱动管)MP6的电流,特使用MN1、MN2、MP3和MP4组成自偏置的镜像阵列,以保证VX=VY,Vds_p5=Vds_p6。所以根据饱和区电流公式得到,N1I_p5=N1Is=N1Is1=I_p6。为使M3电流与Is更好的匹配,根据经验值并考虑功耗因素,特意将MN1、MN2和M3的过饱和电压提高到0.3V。

图1电流采样电路与电流比较电路
2电流比较电路
电流比较电路由电压比较器A1,若干电阻和MOS管构成。参考图2可知,电流比较电路的左半部分将电流转化为电压,而A1比较两者电压差给出判断电压Vc。

图2比较器A1电路
因为M1,M2和M3均工作在饱和区,有
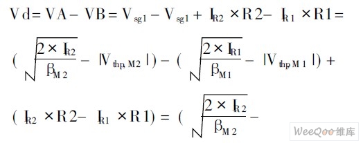
Is=N2×Is2=N2×I1=N2×IR1。
VA=VDD-Vsg1-IR1×R1;
VB=VDD-Vsg2-IR2×R2
由此可得:

为了简便计算,设当Vd=0时,公式(1)中前一个括号和后一个括号分别为零,那么整理后得到

,代入输出电流Io和基准电流Ir后得到:

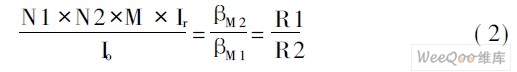
当Io=100mA时,Vd=0,比较器A1翻转,LDO关闭。设定N1=200,N2=4,M=4,Ir=10uA,得到M1和M2的宽长比之比和R1与R2的电阻之比。[page]
那么利用PMOS的饱和区电流公式可得M1与M2的具体尺寸。为使此时电压比较器A1性能更佳,设定VB为VDD的一半,可求出R2阻值,再根据公式(2)得到的电阻比例,便可得到R1阻值。
另外,为使限流电路能应用在较复杂的电源条件下,当电荷泵充当电源时,该电路设计一方面提高A1的PSRR,另一方面如上所述,利用M1、M2管和电阻R1、R2,降低电源VDD的抖动对A1输入端的影响。
在输出端加入退耦电容Cde,以防止高频干扰产生误判断。
为提高PSRR参数,A1选择跨导放大电路,并且增大PMOS的沟道长度。同时为抑制噪声干扰,在尾电流一定的条件下,增大输入差分对的宽长比。
利用Hspice仿真得到比较器A1的幅频曲线和PSRR,如图3所示。

图3比较器A1的幅频曲线和PSRR曲线
由此可知,这种比较器低频增益为60db,PSRR约为160db,当频率为1M时增益大于40db,而PSRR大于80db,所以比较器能够满足限流性能要求。
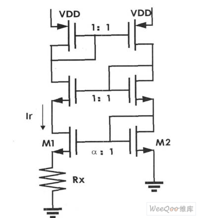
3基准源
基准源电路采用倍乘基准自偏置电路。图4中NMOS采用共源共栅结构,用以降低电源波动对基准电流的影响。

图4基准源电路。
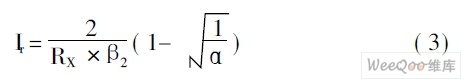
由图可推得基准电流:

因为沟道调制效应对长沟道器件影响比对短沟道器件影响小,因而在设计基准源及其相关电流镜时,MOS管的沟道长度为最小尺寸的15倍。同时利用dummy管和差指MOS管等版图技术,来进一步保证镜像过程中的电流匹配。
3性能参数和结果
将以上设计的限流电路嵌入某稳压芯片(内含电荷泵电路)中,实现流片量产(CMOS工艺)。当VDD=3V时,通过测量量产芯片得到输出电流极限数据。统计如图5所示,可知当输出电流处于100~120mA范围内时,限流电路开始工作,关闭系统即保护LDO安全。由此可见,本设计电路结构简单,功能可靠,可广泛应用于电源芯片中。

图5统计图





