【导读】模拟电路随处可见,放大器基本上是每个模拟电路的一部分。MOSFET能够制造出卓越的放大器件,这就是为什么有多种基于它们的单级放大器拓扑结构的原因。根据哪个晶体管端子是输入端和哪个晶体管端子是输出端来区分它们。
在本文中,我们介绍了具有不同负载类型的MOSFET共源放大器的基本行为。
模拟电路随处可见,放大器基本上是每个模拟电路的一部分。MOSFET能够制造出卓越的放大器件,这就是为什么有多种基于它们的单级放大器拓扑结构的原因。根据哪个晶体管端子是输入端和哪个晶体管端子是输出端来区分它们。
在本文中,我们将讨论共用源极(CS)放大器,它使用栅极作为其输入端子,使用漏极作为其输出。在交流信号方面,源端子对于输入和输出都是公共的,因此得名为共源。图1显示了具有理想电流源的CS放大器。
具有理想电流源负载的共源放大器。
?图1。具有理想电流源负载的共源放大器。
不幸的是,理想的电流源实际上并不存在。为了了解CS放大器在真实世界中的作用,我们需要考虑不同版本的电路。在本文的其余部分中,我们将研究具有多种不同负载类型的CS放大器级。我们将了解每个的行为,然后讨论当我们向放大器中添加源退化时会发生什么。
带电阻负载的共源放大器
最简单的CS放大器负载类型是无源电阻。配置如图二所示。
?图2。带电阻负载的共源放大器。
因为这个版本的放大器是如此简单,我们将使用它进行一些观察和方程式,也适用于具有其他负载类型的CS放大器。
带电阻负载的CS放大器的大信号操作
图3显示CS放大器的大信号特性。我们可以很容易地看出,放大器的大信号操作是非线性的。
带电阻负载的MOSFET共源放大器的直流传输特性。
?图3。带电阻负载的MOSFET共源放大器的直流传输特性。
仔细观察这个数字,我们发现随着 VIN从零开始增加,会出现以下情况:
当我们开始从零开始增加 VIN时,M1保持关断并且VOUT保持在VDD,直到 VIN接近阈值电压(VTH)为止。
此时M1开始导通电流。这导致负载电阻(RL)两端的小电压降,这又导致VOUT略微减小。
当 VIN达到VTH时,M1导通,由于VOUT大于( VIN–VTH),M1处于饱和状态。
M1随着车辆识别码的增加而保持饱和状态,直到车辆识别码=车辆识别码-车辆识别码。
一旦 VIN增加到这一点,M1进入线性区域并且VOUT继续减少到接近零。
当MOSFET饱和时,MOSFET作为放大器的工作效果最好——如果MOSFET不饱和,则放大器的性能会迅速下降。因此,我们可以考虑CS放大器的有效工作范围,以仅包括饱和时产生的VOUT的值。在图3中,我们可以看到这些输出电压的范围从M1打开时( VIN=VTH)到M1进入线性区域时(VOUT= VIN-VTH)。由于VOUT=VDD–IDRL,我们必须最小化IDRL的乘积以最大化放大器的工作范围。
带电阻负载的CS放大器的小信号操作
小信号定义只有当晶体管在饱和状态下工作时才有效,因此可以估计为线性器件。然而,如上所述,这包括了我们的放大器的整个有效工作范围。CS放大器的小信号模型(图4)因此对我们非常有用。
带负载的MOSFET共放大器的小信号模型。
?图4。带电阻负载的CS放大器小信号模型。
因为我们电路的主体与源极端短路,gmbvbs =0。我们可以使用基尔霍夫电压和电流定律计算小信号电压增益:
?方程式1。
如果我们忽略沟道长度调制,这将意味着MOSFET的输出电阻(ro)无穷大。然后我们可以将增益方程式简化为仅gmRL。如果我们想要最大化输出增益,我们应该最大化 gm和/或 RL。因为gm与ID成比例,然而,最大化增益以牺牲放大器的工作范围为代价。
带电阻负载的输入和输出电阻
现在我们已经检查了大信号和小信号的行为,现在是时候去观察放大器的输入和输出电阻了。这些都是必要的——它们确定了放大器如何与驱动或被驱动的电路相互作用。
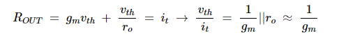
由于输入连接到MOSFET的栅极,所以输入电阻是无穷大的。然而,找到放大器的输出电阻(ROUT)并不是那么简单。为了计算ROUT,我们将测试源连接到输出端,并测量通过它的电压和电流。电路及其小信号等效模型分别如图5的左和右部分所示。
左:带电阻负载的CS放大器的输出电阻测量。右:同一放大器等效小信号模型。
?图5。带电阻负载的CS放大器的输出电阻测量(左)。放大器等效小信号模型(右)。
由于栅极、源极和本体端子接地,我们可以忽略这两个电流源,让我们有:
?方程式2。
有趣的是,如果我们将输出电阻乘以MOSFET的跨导(gm),我们将获得我们在方程式1中找到的小信号增益。此外,CS放大器的增益然后变得等于M1的漏极处观察到的电阻除以M1的源极处观察到的电阻,该电阻是跨导的倒数(1/gm)。因此,从这里我们可以将所有CS放大器的电压增益一般定义为:
?方程式3。
其中Gm 为放大器的跨导。
由于高增益和工作范围之间的权衡,电阻负载不一定是CS放大器的最佳选择。此外,为了获得大的增益,需要大的电阻,并且这些导致片上器件非常大。由于工艺变化,电阻值也可变化20%。基于所有这些原因,不需要无源设备的负载选项是值得关注的。
带二极管连接负载的共源放大器
代替电阻,我们也可以使用二极管连接的晶体管作为负载。在这种配置中,增加的MOSFET的栅极和漏极端子短路在一起,如图6的左侧部分所示。小信号等效模型如图右侧所示。
左:栅漏)。右:的小模型。
?图6。栅极-漏极连接的MOSFET(左)及其小信号模型(右)。
在二极管连接的晶体管中,漏极电压总是等于栅极电压。因此,当电流流动时,它总是饱和的,就像我们在方程式3中看到的那样:
?方程式3。
如果我们将测试电压源连接到二极管连接的晶体管的漏极并测量电流,注意vgs=vth并忽略体效应,我们可以计算输出电阻为:
?方程式4。
从方程式4中,我们可以看到二极管连接的晶体管的输出电阻大约等于其跨导的倒数。该值相对较小。具有二极管连接PMOS负载的NMOS CS放大器如图7所示,以及放大器的大信号特性图。
左:带二极管连接负载的CS放大器。右:放大器大信号特性图。
?图7。带二极管连接负载的CS放大器(左)。放大器的大信号特性(右)。
使用方程式4中的输出电阻计算可知,该放大器的增益为:
?方程式5。
由于二极管连接负载在导通电流时一直处于饱和状态,所以放大器正常工作的唯一标准是:
?方程式6。
其中VOUT可计算为
?方程式7。
这可以在图7中看到,因为放大器在VIN=0.6V左右变得非线性。
由于它们提供了大的线性工作范围,二极管连接的MOSFET负载是CS放大器的常见选择。然而,与一些其他拓扑结构相比,它们的低阻抗导致了更低的增益。
带电流源负载的共源放大器
接下来,让我们来看一下如果负载晶体管(M2)被固定的DC偏置电压(VB)偏置,会发生什么,如图8中左边所示。大信号传输特性如右图所示。
左:带源负载的CS放大器。右:放大器大信号特性图。
?图8。带电流源负载的CS放大器(左)。放大器的大信号特性(右)。
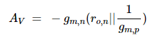
我们可以从MOSFET的小信号模型中看到,在饱和状态下,进入晶体管漏极的输出电阻为ro。如果我们从VOUT回顾放大器,两个晶体管(M1和M2)出现并联。因此,使用方程式3,该配置的增益为:
?方程式8。
这种CS放大器配置具有比二极管连接负载更大的增益,因为ro,p比二极管连接负载大得多
对于工作区域,我们从图8中可以看出,我们必须满足以下要求以保持两个晶体管处于饱和状态:
?方程式9。
?方程式10。
从这些方程式中我们可以看出,低偏置电压增加了范围,同时降低了PMOS负载的电阻,导致增益下降。虽然它提供了更高的增益,但具有电流源负载的CS放大器将因此具有相对小的工作区域,如图8的陡峭线性部分所示。此外,所需的直流偏置电压可能很复杂,难以产生,必须在工艺、电压和温度变化过程中保持恒定。
有源负载的共源放大器
我们将要研究的最后一种负载类型是有源MOSFET负载。这种配置如图9左侧所示,更常用作数字电路中的CMOS反相器。然而,它也可以是一个有效的模拟放大器。与电流源负载一样,它包括连接到输入信号的PMOS负载。
左)。右:放大器大信号特性图。
?图9。有源CS(左)。放大器的大信号特性(右)。
有源负载的输出电阻与电流源负载的输出电阻相同,但总跨导现在是两个晶体管的总和。
?方程式11。
这种更大的增益是以高非线性为代价的,如图9的大信号特性图所示。
为CS放大器添加源退化
正如我们在前面的章节中所看到的,线性是CS放大器的一个非常重要的性能度量。我们可以通过在输入设备的源中增加一个电阻来改善线性,如图10所示。
右:小型号。
?图10。CS放大器,源退化(左)。放大器的小信号模型(右)。
使用将小信号增益定义为漏极电阻除以源极电阻的方程式3,我们可以计算该电路的增益为:
?方程式12。
从方程式12中我们可以看出,源电阻降低(减小)了增益。总输入电压(VIN)被分配到M1的栅极-源极和源极电阻之间。因此,漏极电流随着输入电压的变化而变化得更慢。这减少了漏电流相对于M1的过驱动电压的非线性。
由此产生的大信号特性(图11)证明了这一点。工作范围要大得多,但增益要低得多,如浅坡度所证明的那样。
增加了源极退化的MOSFET共源极放大器的大信号特性。
?图11。具有源极退化的共源放大器的大信号特性。
总结
我们现在已经研究了MOSFET共源放大器在几种不同负载类型下的表现。我们进一步研究了源退化的概念以及它如何影响线性和增益。在本系列的下一篇文章中,我们将讨论CS放大器的频率响应。
免责声明:本文为转载文章,转载此文目的在于传递更多信息,版权归原作者所有。本文所用视频、图片、文字如涉及作品版权问题,请联系小编进行处理。
推荐阅读:





