桃花源qm花论坛(品茶),凤楼阁论坛官网入口网址,一品楼品凤楼论坛最新动态,风楼阁全国信息2024登录入口

你的位置:首页 > 互连技术 > 正文

设计三相PFC请务必优先考虑这几点!

发布时间:2023-12-26 责任编辑:lina

【导读】三相功率因数校正(PFC)系统(或也称为有源整流或有源前端系统)正引起极大的关注,近年来需求急剧增加。之前我们介绍了三相功率因数校正系统的优点。本文为系列文章的第二部分,将主要介绍设计三相PFC时的注意事项。


三相功率因数校正(PFC)系统(或也称为有源整流或有源前端系统)正引起极大的关注,近年来需求急剧增加。之前我们介绍了三相功率因数校正系统的优点。本文为系列文章的第二部分,将主要介绍设计三相PFC时的注意事项。


在设计三相PFC时应该考虑哪些关键方面?


对于三相PFC,有多种拓扑结构,具体可根据应用要求而定。不同的应用在功率流方向、尺寸、效率、环境条件和成本限制等参数方面会有所不同。在实施三相PFC系统时,设计人员应考虑几个注意事项。以下是一些尤其需要注意的事项:

  • 单极还是双极(两电平或三电平)

  • 调制方案

  • 开关频率vs功率器件

  • 热管理和损耗管理

  • 双向传输和输出方向优化

  • 拓扑结构


这些方面都会影响我们系统的结果和整体性能,因此它们对于满足应用的要求至关重要。在下面的讨论中,我们假设输入电压为三相400VAC(EU)或480VAC(USA)。


单极或双极(两电平或三电平)


第一个关键决定是使用两电平还是三电平拓扑结构。这对效率有很大影响,主要包括开关和二极管中的开关损耗、电感器中的高频损耗,以及EMI。这还会极大影响拓扑结构,因为并非所有拓扑结构都支持三电平功能。


图4和图5显示了二电平和三电平开关之间的区别。


三相功率因数校正(PFC)系统(或也称为有源整流或有源前端系统)正引起极大的关注,近年来需求急剧增加。之前我们介绍了三相功率因数校正系统的优点。本文为系列文章的第二部分,将主要介绍设计三相PFC时的注意事项。  在设计三相PFC时应该考虑哪些关键方面?  对于三相PFC,有多种拓扑结构,具体可根据应用要求而定。不同的应用在功率流方向、尺寸、效率、环境条件和成本限制等参数方面会有所不同。在实施三相PFC系统时,设计人员应考虑几个注意事项。以下是一些尤其需要注意的事项:  单极还是双极(两电平或三电平) 调制方案 开关频率vs功率器件 热管理和损耗管理 双向传输和输出方向优化 拓扑结构 这些方面都会影响我们系统的结果和整体性能,因此它们对于满足应用的要求至关重要。在下面的讨论中,我们假设输入电压为三相400VAC(EU)或480VAC(USA)。  单极或双极(两电平或三电平)  第一个关键决定是使用两电平还是三电平拓扑结构。这对效率有很大影响,主要包括开关和二极管中的开关损耗、电感器中的高频损耗,以及EMI。这还会极大影响拓扑结构,因为并非所有拓扑结构都支持三电平功能。  图4和图5显示了二电平和三电平开关之间的区别。  图4.单电平或两电平开关原理   图5.两电平或三电平开关原理  三电平拓扑结构的优点包括:  1. 开关损耗减小。通常,开关损耗与施加到开关和二极管的电压的二次方成正比(开关损耗αVSwitch or Diode2)。在三电平拓扑结构中,只有一半的总输出电压被施加到(一些)开关或(一些)二极管。  2. 升压电感器中的电流纹波变小。对于相同的电感值,施加到电感器的峰峰值电压也是三电平拓扑结构中总输出电压的一半。这使得电流纹波更小,更容易使用更小的电感器进行滤波,从而实现更紧凑的电感器设计并降低成本。此外,部分电感器损耗与电流纹波成正比。因此,较低的纹波将有助于减少电感器中的损耗。  3. EMI降低。EMI主要与电流纹波有关。正如刚刚提到的,三电平拓扑结构减少了电流纹波,使滤波更容易并产生更低的传导EMI。电磁辐射EMI与dV/dt和dI/dt相关。首先,三电平拓扑结构降低了峰峰值开关电压,使得开关节点走线辐射的电场更小。其次,三电平拓扑结构减少了峰峰值开关电流,使得在开关功率级环路中辐射的磁场更小。  开关频率与开关技术  开关频率对电气设计有多方面的影响,而且也会对系统规格(如尺寸和重量)和额外成本(如运输和处理成本)产生影响。  提高开关频率,可以减小无源元件的尺寸,从而使系统更轻并降低成本。然而,开关损耗随频率增加。新的开关技术解决了这一难题。  就开关技术而言,IGBT是速度较慢的器件。IGBT用于开关频率较低(几十kHz)的转换器中。与MOSFET相比,当VCE(SAT)小于RDS(ON)×ID时,它们更适合用于非常高的电流。硅超级结MOSFET的使用频率不超过100kHz左右。而碳化硅(SiC) MOSFET可用于100kHz以上。  关于二极管,肖特基SiC二极管与快速硅二极管也可用于三相PFC中的升压二极管,与MOSFET互补,以降低开关损耗并允许超结硅MOSFET实现更高的工作频率。  肖特基SiC二极管也可以与IGBT共同封装,以减少反向恢复损耗。这种配置(硅IGBT+SiC联合封装二极管)称为混合IGBT?;旌螴GBT在各种拓扑结构的半桥或背靠背配置中能以较少的开关损耗运行。如果开关损耗较低,开关频率也可以增加,以优化系统性能。  最后,还必须考虑具体的应用要求。对于“车载充电器”,由于尺寸和重量至关重要,因此需要高频以减小无源元件的尺寸。这将需要高频开关和二极管。在这种情况下,宽禁带组件(如SiC)通常是首选。另一方面,对于“非车载充电器”,尺寸和重量并不那么重要。充电时间和成本更为关键。为缩短充电时间,常采用IGBT实现数百千瓦的充电功率。成本限制是采用更便宜的常规硅基器件解决方案的另一个原因。  调制方案  在平衡的三相系统中,没有中性线电流。电压总和始终为零,电流也是如此。我们有以下公式(其中U、V、W是三相线的名称):  这意味着流过一相或两相的电流是否会通过其他两相或一相(分别)返回电网。电流分流取决于电网波形的相位。有十二种不同的组合或状态(取决于U、V、W值)。这些状态称为“扇区”,如图6所示。  图6.三相电压和扇区  例如,在扇区1期间,电流从(U和V)流向W。在扇区4期间,电流从V流向(U和W)。调制技术将基于这些扇区,并将确定应用于所需开关的PWM序列。  为了驱动开关,还可以使用多种调制技术。最常见的是SVPWM。大多数情况下,采用对称PWM调制来减少频谱频率含量,也用于减少前沿或后沿PWM调制时的EMI。为了减少开关和二极管的电压应力,通常(或几乎总是)使用所谓的“三次谐波注入”来获得空间矢量调制模式。使用的其他调制方案是平底调制或不连续调制,这主要有助于降低二极管的应力,但会引入更高的失真和功率因数退化。  使用Clark和Park变换完成控制。Clark变换将三相电压系统转换为与三相系统具有相同线路频率的单相系统。Park变换将单相系统转换为具有有功和无功组件的静态系统,类似于一种解调技术。通常,输入电压被认为是纯正电压,并用作相移测量的基准。当输入电流的有功值和无功值已知时,控制系统的目标是调节无功电流分量总和为0。这是任何PFC 的主要目标。有功部分由控制器调整,以向负载提供所需的功率。  损耗管理和热管理  损耗和效率取决于许多参数,例如开关频率、开关和二极管技术、转换器拓扑结构和无源元件。众所周知,如果损耗减少,则效率提高并且热管理变得更容易。  在主动元件中,有两种方法可以处理热管理。对于低功率应用,使用分立功率器件进行设计是首选解决方案。它提供了采购和生产方面的灵活性。使用分立器件的缺点是通常需要很多非常复杂的机械组件。借助分立式器件,可以实现更高功率的设计。在这种情况下,整个系统被分成几个并行运行的低功率转换器(或??椋U庵旨芄雇ü鸷姆稚⒌蕉喔瞿?槔醇蚧缭垂芾?。  然而,在更高功率应用的转换器中采用功率??楦杏攀疲ń喔龉β势骷稍谝桓龇庾爸校?。这样有助于热管理和机械组装,因为只需要一个??椋ɑ蛞恍∽槟?椋┝拥缴⑷绕?。此外,模块还针对热传递进行了优化,实现极低热阻材料。这在分立装配中更难实现。模块与分立器件相比的另一个优势是寄生或漏电布局电感。  在模块内部,与分立装配相比,距离更小,这有助于减少寄生电感等损耗。较低的寄生电感还可以减少电压尖峰,由于开关和二极管上的应力较低,因此可以提高可靠性。较低电压尖峰的第二个优点是还可以减少高频辐射。  双向性和功率流方向优化  通常,三相逆变器(用于UPS、太阳能或电机驱动)可以是双向的,并且在反向模式(或UPS的充电模式或电机驱动的制动模式)下运行时充当AC/DC转换器。不过,这里有一点需要强调。通常,功率转换器,特别是其拓扑结构,一般是通过开关器件和二极管的选择,专门针对一种用法和输出方向进行优化的。在PFC模式下用作AC/DC转换器的三相逆变器的效率不如优化的AC/DC PFC转换器。即使设计为双向的DC/AC拓扑结构,也会在一个方向上表现出比另一个方向更好的性能。因此,重要的是要记住最需要的用法是什么。  本文及其中讨论的应用侧重于三相PFC转换器,因此系统经过优化以从电网获取电力(即使它们可能是双向的)。此外,正如我们将看到的,并非所有拓扑结构都可以实现双向性,因此预先选择合适的拓扑结构是一个重要因素。

图4.单电平或两电平开关原理


三相功率因数校正(PFC)系统(或也称为有源整流或有源前端系统)正引起极大的关注,近年来需求急剧增加。之前我们介绍了三相功率因数校正系统的优点。本文为系列文章的第二部分,将主要介绍设计三相PFC时的注意事项。  在设计三相PFC时应该考虑哪些关键方面?  对于三相PFC,有多种拓扑结构,具体可根据应用要求而定。不同的应用在功率流方向、尺寸、效率、环境条件和成本限制等参数方面会有所不同。在实施三相PFC系统时,设计人员应考虑几个注意事项。以下是一些尤其需要注意的事项:  单极还是双极(两电平或三电平) 调制方案 开关频率vs功率器件 热管理和损耗管理 双向传输和输出方向优化 拓扑结构 这些方面都会影响我们系统的结果和整体性能,因此它们对于满足应用的要求至关重要。在下面的讨论中,我们假设输入电压为三相400VAC(EU)或480VAC(USA)。  单极或双极(两电平或三电平)  第一个关键决定是使用两电平还是三电平拓扑结构。这对效率有很大影响,主要包括开关和二极管中的开关损耗、电感器中的高频损耗,以及EMI。这还会极大影响拓扑结构,因为并非所有拓扑结构都支持三电平功能。  图4和图5显示了二电平和三电平开关之间的区别。  图4.单电平或两电平开关原理   图5.两电平或三电平开关原理  三电平拓扑结构的优点包括:  1. 开关损耗减小。通常,开关损耗与施加到开关和二极管的电压的二次方成正比(开关损耗αVSwitch or Diode2)。在三电平拓扑结构中,只有一半的总输出电压被施加到(一些)开关或(一些)二极管。  2. 升压电感器中的电流纹波变小。对于相同的电感值,施加到电感器的峰峰值电压也是三电平拓扑结构中总输出电压的一半。这使得电流纹波更小,更容易使用更小的电感器进行滤波,从而实现更紧凑的电感器设计并降低成本。此外,部分电感器损耗与电流纹波成正比。因此,较低的纹波将有助于减少电感器中的损耗。  3. EMI降低。EMI主要与电流纹波有关。正如刚刚提到的,三电平拓扑结构减少了电流纹波,使滤波更容易并产生更低的传导EMI。电磁辐射EMI与dV/dt和dI/dt相关。首先,三电平拓扑结构降低了峰峰值开关电压,使得开关节点走线辐射的电场更小。其次,三电平拓扑结构减少了峰峰值开关电流,使得在开关功率级环路中辐射的磁场更小。  开关频率与开关技术  开关频率对电气设计有多方面的影响,而且也会对系统规格(如尺寸和重量)和额外成本(如运输和处理成本)产生影响。  提高开关频率,可以减小无源元件的尺寸,从而使系统更轻并降低成本。然而,开关损耗随频率增加。新的开关技术解决了这一难题。  就开关技术而言,IGBT是速度较慢的器件。IGBT用于开关频率较低(几十kHz)的转换器中。与MOSFET相比,当VCE(SAT)小于RDS(ON)×ID时,它们更适合用于非常高的电流。硅超级结MOSFET的使用频率不超过100kHz左右。而碳化硅(SiC) MOSFET可用于100kHz以上。  关于二极管,肖特基SiC二极管与快速硅二极管也可用于三相PFC中的升压二极管,与MOSFET互补,以降低开关损耗并允许超结硅MOSFET实现更高的工作频率。  肖特基SiC二极管也可以与IGBT共同封装,以减少反向恢复损耗。这种配置(硅IGBT+SiC联合封装二极管)称为混合IGBT?;旌螴GBT在各种拓扑结构的半桥或背靠背配置中能以较少的开关损耗运行。如果开关损耗较低,开关频率也可以增加,以优化系统性能。  最后,还必须考虑具体的应用要求。对于“车载充电器”,由于尺寸和重量至关重要,因此需要高频以减小无源元件的尺寸。这将需要高频开关和二极管。在这种情况下,宽禁带组件(如SiC)通常是首选。另一方面,对于“非车载充电器”,尺寸和重量并不那么重要。充电时间和成本更为关键。为缩短充电时间,常采用IGBT实现数百千瓦的充电功率。成本限制是采用更便宜的常规硅基器件解决方案的另一个原因。  调制方案  在平衡的三相系统中,没有中性线电流。电压总和始终为零,电流也是如此。我们有以下公式(其中U、V、W是三相线的名称):  这意味着流过一相或两相的电流是否会通过其他两相或一相(分别)返回电网。电流分流取决于电网波形的相位。有十二种不同的组合或状态(取决于U、V、W值)。这些状态称为“扇区”,如图6所示。  图6.三相电压和扇区  例如,在扇区1期间,电流从(U和V)流向W。在扇区4期间,电流从V流向(U和W)。调制技术将基于这些扇区,并将确定应用于所需开关的PWM序列。  为了驱动开关,还可以使用多种调制技术。最常见的是SVPWM。大多数情况下,采用对称PWM调制来减少频谱频率含量,也用于减少前沿或后沿PWM调制时的EMI。为了减少开关和二极管的电压应力,通常(或几乎总是)使用所谓的“三次谐波注入”来获得空间矢量调制模式。使用的其他调制方案是平底调制或不连续调制,这主要有助于降低二极管的应力,但会引入更高的失真和功率因数退化。  使用Clark和Park变换完成控制。Clark变换将三相电压系统转换为与三相系统具有相同线路频率的单相系统。Park变换将单相系统转换为具有有功和无功组件的静态系统,类似于一种解调技术。通常,输入电压被认为是纯正电压,并用作相移测量的基准。当输入电流的有功值和无功值已知时,控制系统的目标是调节无功电流分量总和为0。这是任何PFC 的主要目标。有功部分由控制器调整,以向负载提供所需的功率。  损耗管理和热管理  损耗和效率取决于许多参数,例如开关频率、开关和二极管技术、转换器拓扑结构和无源元件。众所周知,如果损耗减少,则效率提高并且热管理变得更容易。  在主动元件中,有两种方法可以处理热管理。对于低功率应用,使用分立功率器件进行设计是首选解决方案。它提供了采购和生产方面的灵活性。使用分立器件的缺点是通常需要很多非常复杂的机械组件。借助分立式器件,可以实现更高功率的设计。在这种情况下,整个系统被分成几个并行运行的低功率转换器(或??椋?。这种架构通过将损耗分散到多个??槔醇蚧缭垂芾怼? 然而,在更高功率应用的转换器中采用功率??楦杏攀疲ń喔龉β势骷稍谝桓龇庾爸校?。这样有助于热管理和机械组装,因为只需要一个??椋ɑ蛞恍∽槟?椋┝拥缴⑷绕?。此外,??榛拐攵匀却萁辛擞呕?,实现极低热阻材料。这在分立装配中更难实现。模块与分立器件相比的另一个优势是寄生或漏电布局电感。  在??槟诓?,与分立装配相比,距离更小,这有助于减少寄生电感等损耗。较低的寄生电感还可以减少电压尖峰,由于开关和二极管上的应力较低,因此可以提高可靠性。较低电压尖峰的第二个优点是还可以减少高频辐射。  双向性和功率流方向优化  通常,三相逆变器(用于UPS、太阳能或电机驱动)可以是双向的,并且在反向模式(或UPS的充电模式或电机驱动的制动模式)下运行时充当AC/DC转换器。不过,这里有一点需要强调。通常,功率转换器,特别是其拓扑结构,一般是通过开关器件和二极管的选择,专门针对一种用法和输出方向进行优化的。在PFC模式下用作AC/DC转换器的三相逆变器的效率不如优化的AC/DC PFC转换器。即使设计为双向的DC/AC拓扑结构,也会在一个方向上表现出比另一个方向更好的性能。因此,重要的是要记住最需要的用法是什么。  本文及其中讨论的应用侧重于三相PFC转换器,因此系统经过优化以从电网获取电力(即使它们可能是双向的)。此外,正如我们将看到的,并非所有拓扑结构都可以实现双向性,因此预先选择合适的拓扑结构是一个重要因素。

图5.两电平或三电平开关原理


三电平拓扑结构的优点包括:


1. 开关损耗减小。通常,开关损耗与施加到开关和二极管的电压的二次方成正比(开关损耗αVSwitch or Diode2)。在三电平拓扑结构中,只有一半的总输出电压被施加到(一些)开关或(一些)二极管。


2. 升压电感器中的电流纹波变小。对于相同的电感值,施加到电感器的峰峰值电压也是三电平拓扑结构中总输出电压的一半。这使得电流纹波更小,更容易使用更小的电感器进行滤波,从而实现更紧凑的电感器设计并降低成本。此外,部分电感器损耗与电流纹波成正比。因此,较低的纹波将有助于减少电感器中的损耗。


3. EMI降低。EMI主要与电流纹波有关。正如刚刚提到的,三电平拓扑结构减少了电流纹波,使滤波更容易并产生更低的传导EMI。电磁辐射EMI与dV/dt和dI/dt相关。首先,三电平拓扑结构降低了峰峰值开关电压,使得开关节点走线辐射的电场更小。其次,三电平拓扑结构减少了峰峰值开关电流,使得在开关功率级环路中辐射的磁场更小。




开关频率与开关技术


开关频率对电气设计有多方面的影响,而且也会对系统规格(如尺寸和重量)和额外成本(如运输和处理成本)产生影响。


提高开关频率,可以减小无源元件的尺寸,从而使系统更轻并降低成本。然而,开关损耗随频率增加。新的开关技术解决了这一难题。


就开关技术而言,IGBT是速度较慢的器件。IGBT用于开关频率较低(几十kHz)的转换器中。与MOSFET相比,当VCE(SAT)小于RDS(ON)×ID时,它们更适合用于非常高的电流。硅超级结MOSFET的使用频率不超过100kHz左右。而碳化硅(SiC) MOSFET可用于100kHz以上。


关于二极管,肖特基SiC二极管与快速硅二极管也可用于三相PFC中的升压二极管,与MOSFET互补,以降低开关损耗并允许超结硅MOSFET实现更高的工作频率。


肖特基SiC二极管也可以与IGBT共同封装,以减少反向恢复损耗。这种配置(硅IGBT+SiC联合封装二极管)称为混合IGBT?;旌螴GBT在各种拓扑结构的半桥或背靠背配置中能以较少的开关损耗运行。如果开关损耗较低,开关频率也可以增加,以优化系统性能。


最后,还必须考虑具体的应用要求。对于“车载充电器”,由于尺寸和重量至关重要,因此需要高频以减小无源元件的尺寸。这将需要高频开关和二极管。在这种情况下,宽禁带组件(如SiC)通常是首选。另一方面,对于“非车载充电器”,尺寸和重量并不那么重要。充电时间和成本更为关键。为缩短充电时间,常采用IGBT实现数百千瓦的充电功率。成本限制是采用更便宜的常规硅基器件解决方案的另一个原因。


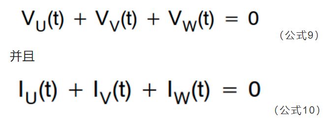
调制方案


在平衡的三相系统中,没有中性线电流。电压总和始终为零,电流也是如此。我们有以下公式(其中U、V、W是三相线的名称):


设计三相PFC请务必优先考虑这几点!

这意味着流过一相或两相的电流是否会通过其他两相或一相(分别)返回电网。电流分流取决于电网波形的相位。有十二种不同的组合或状态(取决于U、V、W值)。这些状态称为“扇区”,如图6所示。


设计三相PFC请务必优先考虑这几点!

图6.三相电压和扇区


例如,在扇区1期间,电流从(U和V)流向W。在扇区4期间,电流从V流向(U和W)。调制技术将基于这些扇区,并将确定应用于所需开关的PWM序列。


为了驱动开关,还可以使用多种调制技术。最常见的是SVPWM。大多数情况下,采用对称PWM调制来减少频谱频率含量,也用于减少前沿或后沿PWM调制时的EMI。为了减少开关和二极管的电压应力,通常(或几乎总是)使用所谓的“三次谐波注入”来获得空间矢量调制模式。使用的其他调制方案是平底调制或不连续调制,这主要有助于降低二极管的应力,但会引入更高的失真和功率因数退化。


使用Clark和Park变换完成控制。Clark变换将三相电压系统转换为与三相系统具有相同线路频率的单相系统。Park变换将单相系统转换为具有有功和无功组件的静态系统,类似于一种解调技术。通常,输入电压被认为是纯正电压,并用作相移测量的基准。当输入电流的有功值和无功值已知时,控制系统的目标是调节无功电流分量总和为0。这是任何PFC 的主要目标。有功部分由控制器调整,以向负载提供所需的功率。


损耗管理和热管理


损耗和效率取决于许多参数,例如开关频率、开关和二极管技术、转换器拓扑结构和无源元件。众所周知,如果损耗减少,则效率提高并且热管理变得更容易。


在主动元件中,有两种方法可以处理热管理。对于低功率应用,使用分立功率器件进行设计是首选解决方案。它提供了采购和生产方面的灵活性。使用分立器件的缺点是通常需要很多非常复杂的机械组件。借助分立式器件,可以实现更高功率的设计。在这种情况下,整个系统被分成几个并行运行的低功率转换器(或??椋?。这种架构通过将损耗分散到多个??槔醇蚧缭垂芾?。


然而,在更高功率应用的转换器中采用功率??楦杏攀疲ń喔龉β势骷稍谝桓龇庾爸校U庋兄谌裙芾砗突底樽?,因为只需要一个模块(或一小组??椋┝拥缴⑷绕?。此外,??榛拐攵匀却萁辛擞呕迪旨腿茸璨牧?。这在分立装配中更难实现。??橛敕至⑵骷啾鹊牧硪桓鲇攀剖羌纳蚵┑绮季值绺?。


在模块内部,与分立装配相比,距离更小,这有助于减少寄生电感等损耗。较低的寄生电感还可以减少电压尖峰,由于开关和二极管上的应力较低,因此可以提高可靠性。较低电压尖峰的第二个优点是还可以减少高频辐射。


双向性和功率流方向优化


通常,三相逆变器(用于UPS、太阳能或电机驱动)可以是双向的,并且在反向模式(或UPS的充电模式或电机驱动的制动模式)下运行时充当AC/DC转换器。不过,这里有一点需要强调。通常,功率转换器,特别是其拓扑结构,一般是通过开关器件和二极管的选择,专门针对一种用法和输出方向进行优化的。在PFC模式下用作AC/DC转换器的三相逆变器的效率不如优化的AC/DC PFC转换器。即使设计为双向的DC/AC拓扑结构,也会在一个方向上表现出比另一个方向更好的性能。因此,重要的是要记住最需要的用法是什么。


本文及其中讨论的应用侧重于三相PFC转换器,因此系统经过优化以从电网获取电力(即使它们可能是双向的)。此外,正如我们将看到的,并非所有拓扑结构都可以实现双向性,因此预先选择合适的拓扑结构是一个重要因素。


免责声明:本文为转载文章,转载此文目的在于传递更多信息,版权归原作者所有。本文所用视频、图片、文字如涉及作品版权问题,请联系小编进行处理。


推荐阅读:

如何在下一代 MCU 应用中实现投影显示

什么是直流母线支撑滤波器?

功率电子器件从硅(Si)到碳化硅(SiC)的过渡

传感器和AI相结合,ST智能传感器助力未来可持续的虚实交融生活

具有受控开关阈值的晶闸管模拟


特别推荐
技术文章更多>>
技术白皮书下载更多>>
热门搜索

关闭

?

关闭