【导读】反极性Buck-Boost 变换器主电路的元件由开关管,二极管,电感,电容等构成。输出电压的极性与输入电压相反。Buck-Boost 变换器也有电感电流连续和断续两种工作方式。
反极性Buck-Boost 变换器主电路的元件由开关管,二极管,电感,电容等构成。输出电压的极性与输入电压相反。Buck-Boost 变换器也有电感电流连续和断续两种工作方式。
反极性Buck-Boost也可以分为同步,和非同步两种控制器。如图所示,左图为非同步控制器,是由开关管Q1、二极管D1、电感L组成拓扑;右图为同步控制器,由Q2替代D1实现。

通过控制 Q1 与 Q2 的导通关断时间,对储能元件电感 L 与输出电容 Cout进行 充放电,产生稳定的直流输出电压 Vout。其中 VIN为电源输入电压,Q1 为主开关功率管, 一般用 MOSFET,D1 为续流二极管,也可以用一个开关管Q2来代替。
工作过程一般包含充电阶段和续流阶段。详细的工作原理为,当系统稳定时,若 Q1 导通,Q2关断(或者D1反向截止)时,输入电压VIN给电感 L 充电,电流的方向为顺时针,此时电能转化为电感磁能,能量储存于电感上,此时电感电流随着Q1导通时间的增加而增大;电感储能的同时,输出电容 Cout与负载 RL构成回路,上一阶段电容 Cout存储的能量释放给负载电阻 RL,提供所需的能量,电流方向为逆时针,输出电压为负值,输出电压的绝对值随着充电阶段的时间而下降,该过程称为环路的充电阶段。
若 Q1 关断,Q2 导通(或者D1正向导通)时,此时电感电流在上一充电阶段储存的磁能,由电感 L,输出电容 Cout,负载 RL和开关管Q2(或者二极管D1续流)构成的回路进行释放,此时电感磁能转化成电能,电感电流随着Q2 导通时间的增加而减小,一部分用于 Cout充电,进行储能,另一部分用于负载RL提供电流,由于电感上的电流不能突变的特性,所以电流方向为逆时针,输出电压也为负值,输出电压的绝对值随着续流阶段的时间而上升,该过程称为续流阶段。
根据 反极性Buck-boost 的工作原理可知,电感电流在充电阶段是连续上升的,在续流阶段是连续下降的,而根据电感电流在续流阶段是否降为零,分为连续导通模式(CCM)与非连续导通模式(DCM)。
(1)连续导通模式(CCM)
连续导通模式是电感电流在续流阶段不为零,而在大负载电流情况下易为 CCM 模式。其工作原理如图所示。

由图所示为,在每个周期内,当主开关管 Q1 导通,D1反向截止时,输入电压 VIN通过Q1 给电感充电,电感电流持续增大,此时 L的电压值被拉高约为VIN(正值)。当开关管Q1 关断,由于D1左侧的电压为VIN,右侧为负值Vout,则D1为反向截止,电感电流给电容 Cout与负载 RL提供能量,电感电流在持续减小, 此时 L的电压值Vout(负值)。所以 L的值与电感电流的值都是在周期性变换的,信号上电的波形图如图所示。

当工作在 CCM 模式下,每个周期内都有包含完整的充电阶段和放电阶段。ΔIL为电感电流纹波,Iavg电感电流平均值。
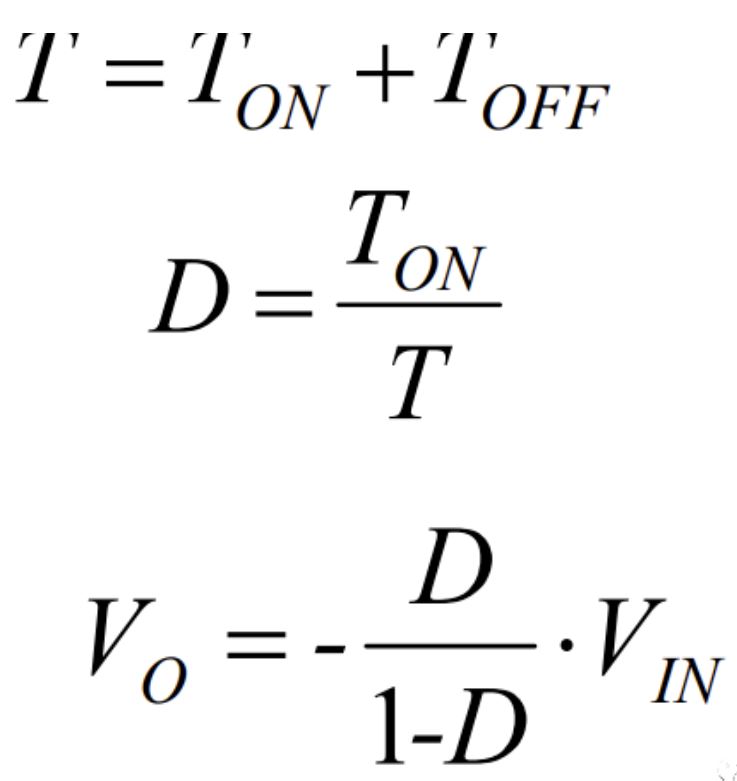
设一个完整周期的时间为 T,其中放电周期为 TON,充电周期为 TOFF。D 为电路中的占空比。由以上的原理分析可得表达式为:

(2)非连续导通模式(DCM)
当 Iout>0.5ΔI时,工作在 CCM 模式下,当Iout
工作在 DCM 模式下时,一个有三个状态:充电阶段、放电阶段 和电感电流为零阶段,这三阶段在一个周期内的时间分别为 T1,T2,T3。充电阶段的占空比为 D1,放电阶段的占空比为 D2。在T3期间, Q1关断 和 D1截止, 电感电流为零,负载由输出滤波电容供电。



CCM 模式下,输出电压跟电路占空比与输入电压相关, 而 DCM 模式下,与输入电压,占空比,开关频率,电感值,负载相关。相比于DCM, CCM 的输出电压值的影响因素更小。
(来源:硬件十万个为什么微信公众号)
免责声明:本文为转载文章,转载此文目的在于传递更多信息,版权归原作者所有。本文所用视频、图片、文字如涉及作品版权问题,请联系小编进行处理。
推荐阅读:




