桃花源qm花论坛(品茶),凤楼阁论坛官网入口网址,一品楼品凤楼论坛最新动态,风楼阁全国信息2024登录入口

你的位置:首页 > 互连技术 > 正文

半导体二极管的直流电阻和动态电阻如何区别?

发布时间:2019-09-29 责任编辑:lina

【导读】半导体二极管是一种非线性器件,它对直流和交流(或者说动态量)呈现出不同的等效电阻。二极管的直流电阻是其工作在伏安特性上某一点时的端电压与其电流之比。
 
半导体二极管是一种非线性器件,它对直流和交流(或者说动态量)呈现出不同的等效电阻。二极管的直流电阻是其工作在伏安特性上某一点时的端电压与其电流之比。
 
 半导体二极管的直流电阻和动态电阻如何区别?
图(a)电路(b)二极管伏安特性和工作点Q(c)二极管的直流电阻
 
在直流电源V的作用下,对应于二极管电流ID和二极管两端电压UD的点称为静态工作点,该点对应的直流电阻为
 
 半导体二极管的直流电阻和动态电阻如何区别?
 
动态电阻是在一个固定的直流电压和电流(即静态工作点Q)的基础上,由交流信号ui引起特性曲线在Q点附近的一小段电压和电流的变化产生的。若该交流信号ui是低频,而且幅度很小(通常称低频小信号),则由此引起的电流变化量也很小,这一小段特性曲线可以用通过Q点的切线来等效。
 
半导体二极管的直流电阻和动态电阻如何区别?
图(a)电路(b)二极管伏安特性(c)二极管的动态电阻
 
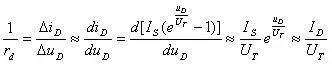
若在Q点的基础上外加微小的低频信号,二极管两端产生的电压变化量和电流变化量如图(b)中所标注,则此时的二极管可等效成一个动态电阻rd,根据二极管的电流方程可得
 
半导体二极管的直流电阻和动态电阻如何区别?
 
rd是用以Q点为切点的切线斜率的倒数。显然,Q点在伏安特性上的位置不同,rd的数值将不同。根据二极管的电流方程
 
半导体二极管的直流电阻和动态电阻如何区别?
 
可得:
 
半导体二极管的直流电阻和动态电阻如何区别?

因此
 
半导体二极管的直流电阻和动态电阻如何区别?

ID为静态电流,常温下UT=26mV??芍?,静态电流ID越大,rd将越小。设UD=0.7V时,ID=2mA。由此可得直流电阻RD=350,而动态电阻(交流电阻)
 
半导体二极管的直流电阻和动态电阻如何区别?
 
可见二者相差甚远,切不可混淆。
 
根据上面的解释,应该很容易理解用普通万用表的电阻档对二极管进行测量时,所测到的电阻值应该表示二极管的直流电阻而非动态电阻。
 
同时,用普通万用表的欧姆档去测量二极管的正向电阻时,由于表的内阻不同,使测量时流过管子的电流大小不同,也就是工作点的位置不同,故测得的RD值也不同。
 
 
要采购万用表么,点这里了解一下价格!
特别推荐
技术文章更多>>
技术白皮书下载更多>>
热门搜索

关闭

?

关闭