中心议题:
- 热插拔技术
- 热插拔设计实例分析
解决方案:
- 电压超过10 V的情况下使能控制器的情况
- 检测电阻的选取应以开启定时器所需的负载电流为依据。
- 选择MOSFET之前必须确定负载电容充电所需的时间
- 选择MOSFET之前选定VDS 和ID标准
服务器、网络交换机、冗余存储磁盘阵列(RAID),以及其它形式的通信基础设施等高可用性系统,需要在整个使用生命周期内具有接近零的?;?。如果这种系统的一个部件发生了故障或是需要升级,它必须在不中断系统其余部分的情况下进行替换,在系统维持运转的情况下,发生故障的电路板或模块将被移除,同时替换部件被插入。这个过程被称为热插拔(hot swapping)(当??橛胂低橙砑邢嗷プ饔檬?,也被称为hot plugging1)。
为了实现安全的热插拔,通常使用带交错引脚的连接器来保证地与电源的建立先于其它连接,另外,为了能够容易的从带电背板上安全的移除和插入??椋靠橛≈瓢?PCB)或热插拔??槎即腥炔灏慰刂破?。在工作状态下,控制器还可提供持续的短路?;ず凸鞅;?。
尽管切断或开启的电流会比较大,但大电流设计的一些微妙之处却常常未得到充分的考虑。“细节决定成败”,本文将重点分析热插拔控制电路中各部件的功能及重要性,并深入分析在设计过程中使用ADI公司ADM11773热插拔控制器时的设计考虑和器件选型标准。
热插拔技术
常用的两种系统电源电压为-48 V和+12 V,它们使用不同的热插拔保护配置。-48 V系统包含低端热插拔控制器和导通MOSFET;而+12 V 系统使用高端热插拔控制器和导通MOSFET。
-48 V方案来源于传统的通信交换系统技术,如高级通信计算架构(ATCA)系统、光网络、基站,以及刀片式服务器。48 V电源通??捎傻绯刈樘峁?,选用48 V是因为电源及信号能被传输至较远的距离,同时不会遭受很大损失;另外,在通常条件下,由于电平不够高,所以不会产生严重的电气冲击危险。采用负电压的原因是,当设备不可避免的暴露在潮湿环境中时,在正极端接地的情况下,从阳极到阴极的金属离子迁移的腐蚀性较弱。
然而,在数据通信系统中,距离并不是重要因素,+12 V电压会更加合理,它常用于服务器及网络系统中。本文将重点介绍+12 V系统。
热插拔事件
考虑一个具有12 V背板及一组可移除??榈南低场C扛瞿?楸匦肽茉诓挥跋烊我庀嗔谀?檎9ぷ鞯奶跫卤灰瞥吞婊?。当没有控制器时,每个模块可能会对电源线造成较大的负载电容,通常在毫法量级。首次插入一个??槭保湮闯涞绲牡缛菪枰锌捎玫牡缌骼炊云浣谐涞?。如果不对这个浪涌电流加以限制,这个很大的初始电流将会降低端电压,导致主背板上的电压大幅下降,使系统中的多个邻近??楦次?,并破坏模块的连接器。
这个问题可通过热插拔控制器(图1)来解决,热插拔控制器能合理控制浪涌电流,确保安全上电间隔。上电后,热插拔控制器还能持续监控电源电流,在正常工作过程中避免短路和过流。
[page]
热插拔控制器
ADM1177热插拔控制器包括三个主要元件(图2):用作电源控制主开关的N沟道MOSFET、测量电流的检测电阻,以及热插拔控制器。热插拔控制器用于实现控制MOSFET导通电流的环路,其中包含一个电流检测放大器。

图2、ADM1177功能框图
热插拔控制器内部的电流检测放大器用于监控外部检测电阻上的电压降。这个小电压(通常为0~100 mV)必须被放大到可用的水平。ADM1177中放大器的增益为10,那么,举例来说,某个给定电流产生的100 mV电压降将被放大到1 V。这个电压将与固定或可变的基准电压进行比较。如果使用1V的基准源,那么在检测电阻上产生 100 mV(±3%)以上电压的电流将导致比较器指示过流。因此,最大电流触发点主要取决于检测电阻、放大器增益,以及基准电压;检测电阻值决定了最大电流。定时器电路用于设定过流持续时间。
ADM1177具有软启动功能,其中过流基准电压线性上升,而不是突然开启,这使得负载电流也以类似方式跟着变化。这可通过从内部电流源往外部电容(SS引脚)注入电流,令比较器的基准输入从0 V到1 V线性升高而实现。外部SS电容决定了上升的速度。如果需要,SS引脚也可以直接使用电压驱动,以设定最大电流限。
由比较器及参考电路构成的开启电路用于使能器件。它精确设定了使能控制器所必须达到的电源电压。器件一旦使能,栅极就开始充电,这种电路所使用的N沟道MOSFET的栅极电压必须高于源极。为了在整个电源电压(VCC)范围内实现这个条件,热插拔控制器集成了一个电荷泵,能够将GATE引脚的电压维持在比VCC还高10 V的水平。必要时,GATE引脚需要电荷泵上拉电流来使能MOSFET,并需要下拉电流来禁用MOSFET。较弱的下拉电流用于调节,较强的下拉电流则用于在短路情况下快速禁用MOSFET。
热插拔控制器的最后一个基本??槲ㄊ逼?,它限制过流情况下电流的调节时间。选用的MOSFET能在指定的最长时间内承受一定的功率。MOSFET制造商使用如图3所示的图表标出这个范围,或称作安全工作区(SOA)。

图3 MOSFET SOA图
SOA图所示的是漏源电压、漏极电流,以及MOSFET能够承受这一功耗的持续时间之间的关系。例如,图3中的MOSFET在10 V和85 A(850 W)条件下能承受1 ms,如果这一条件持续更长时间,则MOSFET可能损坏。定时器电路使用外部定时器电容来限制MOSFET经受这些最坏条件的时间。例如,如果定时器设置为1ms,当电流的持续时间超过1 ms的限制时,电路就会暂停,并关断MOSFET。
为了提供安全裕量,在ADM1177中,定时器的电流检测电压激活阈值被设置为92 mV,因此,当检测电压接近100 mV的额定值时,热插拔控制器就会开始计时。[page]
设计实例
由于ADM1177等控制器的设计允许一定的灵活性,因此演示其在12 V热插拔设计实例中的应用是很有用的。在本例中,假设:
• 控制器为ADM1177
• VIN = 12 V (±10%)
• VMAX = 13.2 V
• ITRIP = 30 A
• CLOAD = 2000 μF
• VON = 10 V (较好的开启控制器的电源电平)
• IPOWERUP = 1 A (上电过程中所需的直流偏置电流)
为简化讨论,计算中不考虑器件容差效应。当然,在最坏条件的设计中,应当考虑这些容差。
ON 引脚
首先考虑在电源电压超过10 V的情况下使能控制器的情况。如果ON引脚的阈值为1.3 V,从VIN 到ON引脚的分压器比例应该设定为0.13:1。为了保证准确性,选择电阻时应考虑到引脚的漏电。
由10 kΩ与1.5 kΩ构成的电阻分压器的分压比为0.130。
检测电阻的选择
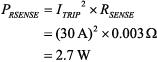
检测电阻的选取应以开启定时器所需的负载电流为依据。
![]()
其中 VSENSETIMER = 92 mV.
检测电阻在30 A电流下消耗的最大功率为

因此,检测电阻应该能承受3W的功率。如果没有具有适当的额定功率或阻值的单个电阻,可以使用多个电阻并联来构成检测电阻。
负载电容充电时间
选择MOSFET之前必须确定负载电容充电所需的时间。在上电阶段,由于负载电容的浪涌电流效应,控制器通?;岽锏降缌飨拗?。如果TIMER引脚设置的时间不足以允许负载电容完成充电,那么MOSFET将被禁用,系统无法上电。我们可以使用下列公式来确定理想的充电时间:

其中 VREGMIN = 97 mV,是热插拔控制器的最小调节电压。
这个公式假定负载电流瞬时从0 A上升到30 A,这是一个理想情况。实际上,较大MOSFET的栅极电荷量QGS会限制栅极电压的压摆率,从而限制上电电流,因此,一定量的电荷会传输到负载电容而不触发定时器功能。在图4中,具有较大QGS的MOSFET会导致定时器的工作时间短于具有较小QGS的MOSFET,前者为T1 ~ T3,而后者为T0 ~ T2。[page]

图4、启动过程中QGS的影响
这是因为在T0和T1之间传输电荷的增加小于电流限制,因此实际时间小于计算所需的时间。这个数值难以定量,它取决于控制器栅极电流以及MOSFET的栅极电荷和电容。在某些情况下,它可能占到整个充电电流的30%,因此在设计中需要对其加以考虑,尤其是使用大MOSFET及大电流的设计。
在利用具有较小栅极电荷的MOSFET的设计中,可假设栅极电压的上升速度很快。这会导致从0 A到ITRIP的快速增加,从而引起不希望的瞬变,在这种情况下,应使用软启动。
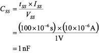
软启动
利用软启动,浪涌电流在软启电容设定的期间可以从零线性增加到满量程。通过逐步提高基准电流,能避免浪涌电流突然达到30 A的限制。需要注意的是,在软启过程中,电流处于调整过程中,因此,定时器从软启动开始之际就进入工作状态,如图5所示。

因此,推荐将软启动时间设定为不超过定时器总时间的10%~20%。例如,可以选择100 μs的时间。软启电容可由下式确定:

其中 ISS = 10 μA and VSS = 1 V.
MOSFET与定时器的选择
选择合适的MOSFET的第一步为选定VDS 和ID标准。对于12 V系统来说,VDS应为30 V或40 V,以处理可能损坏MOSFET的瞬变。MOSFET的 ID应远大于所需的最大值(参考图3的SOA图)。在大电流应用中,最重要的指标之一为MOSFET的导通电阻RDSON。较小的RDSON能确保MOSFET在正常工作时具有最小功耗,并在满负载条件下产生最少的热量。
对热量及功耗的考虑
因为必须要避免过热,因此,在考虑SOA指标与定时器选择之前,应该先考虑MOSFET在直流负载条件下的功耗。随着MOSFET温度的升高,额定功率将会减小或降额。此外,在高温下工作时,MOSFET的使用寿命会缩短。
[page]
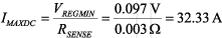
前面提及热插拔控制器将在92 mV的最小检测电压下开启定时器。为了进行计算,我们需要知道不会触发定时器的最大允许直流电流。假设最坏条件下的VREGMIN 为97 mV,那么,
![]()
假设 MOSFET''''''''''''''''''''''''''''''''s 最大 RDSON is 2 mΩ,则功率为

数据手册中会给出MOSFET在常温下的热电阻。封装尺寸及附加的铜引线会对其具有一定影响。假设
![]()
由于 MOSFET需要消耗2.1W的功率,最坏条件下,温度可能将上升到高于室温126°C:
![]()
降低这个数值的一种方法是并联使用两个或更多的MOSFET,这样能有效降低RDSON,从而降低MOSFET的功耗。使用两个MOSFET时,假设电流在器件间均匀匹配(允许一定的容差),那么每个MOSFET的温度升高最大值为32°C。下式给出了每个MOSFET的功耗:

假设室温TA = 30°C,再加上这个温度上升值,那么每个MOSFET的最大温度为62°C。
![]()
MOSFET SOA考虑
下一步需要检查SOA图,以选择合适的能工作在最坏条件的MOSFET。在短路到地的最坏条件下,可假设VDS等于 VMAX,为 13.2V,这是将MOSFET源极拉到地时MOSFET上能产生的最大电压。在调节阶段,最坏条件将取决于数据手册中热插拔控制器调节点的最大值,这个值为103 mV。于是,电流可根据下式进行计算:
![]()
在与MOSFET SOA图进行比较之前,我们需要考虑MOSFET的温度降额,因为SOA是以室温(TC = 25°C)下的数据为基础的。首先计算TC = 25°C下的功耗:
![]()
其中 RthJC 可由MOSFET数据手册得到。
现在对TC = 62°C进行同样的计算:
![]()
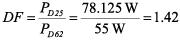
因此,1.42的降额因数可通过如下计算得到:
![]()
这需要被应用于图3的MOSFET SOA图中。为了反映出调节过的额定功率,需要把表示施加最大功率的时间值的对角线向下平移。我们先使用1 ms线来举例说明这条曲线的原理。例如,在这条线上取一点,如(20 A、40 V),这点的功率为800 W,应用降额公式:
![]()
在40 V,降额后的功率所对应的电流为14 A,在SOA图上这点将确定新的62°C降额后的1 ms线。使用同样的办法可确定新的10 ms以及100 μs线。新线在图6中以红色示出。

图6、包含62°C降额后功率限制的SOA图[page]
选择定时器电容
SOA中新的降额线可用于重新计算定时器的参数值。沿IMAX ≈ 35A 画一条水平线,沿VMAX = 13.2 V画一条垂直线(淡蓝色的线),并确定它们与红色线的交叉点。这些交叉点示出1 ms与10 ms之间的某个时间,也许是2 ms。在对数坐标图的小范围内,一般很难获取准确的数值,因此要进行慎重的选择,要考虑到这些选择对性能以及价格等其它标准的影响,确保留有足够的容差。
前面提到对负载进行充电的时间约为850 μs。由于软启动时间是由线性斜坡决定的,与阶跃变化相比,要花费更长的时间来对负载电容充电。为了估算总的电荷量,如果使用软启动,假设需要在计算时间的基础上加上软启动时间的一半,于是,在850 μs上加软启动时间的一半(50 μs),得到总时间约为900 μs。如果所选的MOSFET具有较大的栅极电荷(比如≥80 nC),如前所述,这个时间需要进一步缩小。如果对负载充电的时间小于最大SOA时间,MOSFET就是合适的。在这个例子中,MOSFET符合标准(0.9 ms<2 ms)。
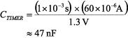
小于2 ms的定时器值足以?;OSFET,大于0.9 ms则足够对负载充电。如果选择的时间恒定为1 ms,那么电容可通过下式进行计算:
![]()
其中 ITIMER = 60 μA 和 VTIMER = 1.3 V,

使用并联MOSFET时,对定时器的计算不会变。重要的是应使用单个MOSFET设计定时器及短路保护,原因是在一组MOSFET中,VGSTH会有显著差异,因此在调整过程中,需要使用单个MOSFET处理较大的电流。
完成热插拔设计

图7、完整的参考设计
图7所示的是具有正确参数值的并联MOSFET热插拔设计。ADM1177热插拔控制器还能执行其它功能。它集成了片上ADC,可用于将电源电压和负载电流转换为数字数据,以通过I2C总线读出,提供全集成的电流及电压检测功能。



