【导读】反激式电源变换器是目前最常见的变换器拓扑之一。 其优势在于简单的设计和极具竞争力的尺寸/成本/效率比,尤其是在中等功率范围(2W 至 100W)应用中。
与任意变换器拓扑一样,反激式变换器由电源路径和控制路径组成。电源路径负责将电源从一种类型变换为另一种类型;与其他开关电源变换器相同,其组成元件包括:两个开关(一个 MOSFET 和一个二极管)、一个电容器和一个电感器。与其他变换器拓扑不同的是,反激式变换器的电感实际上是一对耦合电感。除了为变换过程存储电力之外,这些电感还实现变换器原边与副边之间的隔离(见图 1)。
图1: 反激式变换器的电路原理图
本文将以变换器控制路径为重点进行介绍,但也会包含电源路径操作的简要描述。反激式变换器有两个操作阶段, tON和tOFF,它们以 MOSFET 的开关状态命名并通过MOSFET控制。
在tON期间,MOSFET 导通,电流从输入流过原边电感,对耦合电感线性充电并在其周围产生磁?。?2.b)。在副边电感中,整流二极管反向偏置,这意味着变压器与输出断开(见图 2.a)。
图 2:a) MOSFET 和二极管中的电压 b) 原边和副边线圈中的电流
存储在输出电容器中的电荷负责保持负载上稳定的电压(见图 3)。
图3: 反激式变换器的电流示意图
在tOFF期间, MOSFET断开,耦合电感开始通过二极管去磁,二极管也同时直接极化。然后,来自电感器的电流为输出电容器充电并为负载供电。
尽管电源路径掌管了整个变换过程,但变换器设计中还有一个要素也需要考虑,即控制回路。由于系统中存在电源波动或负载变化等扰动,因此控制路径对确保系统不受扰动影响而稳定的运行十分必要。
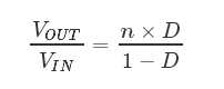
与大多数开关变换器一样,反激式变换器的输出电压通过 MOSFET 占空比来控制。通过观察等式 (1) 中的反激控制器传递函数,我们可以轻松理解这一点:
等式 (1) 表明,随着 D(占空比)值的增加,变换器增益也会增加,从而增大输出电压。因此,控制器会修改它发送到 MOSFET 栅极的信号,以补偿它在变换器输出中检测到的任何变化。
变换器必须首先检测输出电压的这些变化,正确处理该电压,然后相应地调节晶体管的栅极电压。为了实现更精确的控制,许多控制路径都包含一个电流控制环路,它通过检测流经原边电感器的电流来帮助改善调节和功率因数。这就是最常用的反激式变换器控制技术:峰值电流控制模式(见图 4)。
图4: 峰值电流控制模式原理图
原边和副边调节
反激式变换器中最主要的问题是保持隔离。如前文所述,反激式变换器的主要优点之一是在输入和输出之间提供了磁隔离。隔离将电路分为两半,称为原边和副边。隔离对保护连接到输出的任意设备至关重要,它避免了设备因电流泄漏而损坏,甚至伤害到最终用户。
也因此,隔离必须保持,这意味着原边电路和副边电路之间不能有传导路径。但是,这也不是绝对的。电压源变压器通常允许最大10mA的漏电流,并需要至少3kV 的隔离。但原边与副边之间的漏电流仍然需要尽可能地最小化。
这其中还包含了控制器,因此,设计人员必须找到一种方法,无需绕过隔离屏障即可检测变换器输出电压。这可以通过两种调节方法来实现:原边调节和副边调节。
原边调节
在实际应用中,控制器 IC 需要来自变压器的辅助输出来为 IC 电路供电(见图 5)。由于变压器的特性,这个辅助变压器输出与变换器的输出电压直接相关。因此,通过了解变压器的匝数比,可以通过该输出电压来调节系统。 这称为原边调节 (PSR),这种方法通过很少的组件对输出进行了粗略的调节。大多数 PSR 控制 IC 还包括补偿电路,这样更是极大地缩短设计时间。
图5: 原边调节电路原理图
原边调节的另一个好处是它最大限度地减少了穿过隔离屏障的路径数量。这在高压应用中尤其有益,因为它降低了组件的隔离电压要求,从而降低了总成本。
但是,原边调节也有一些缺点。例如,辅助绕组上的反射输出电压采样仅在每个 PWM 周期发生一次。PSR 调节系统通常采用拐点采样,这是一种在电感电流处于最低值时对电压进行采样的方法。这种方法显著减少了电路中的振铃,但也意味着在开关周期之间不会监测电压值。因此,其瞬态调节要比在副边系统中调节慢,在副边系统中,输出电压始终受到监测。
此外,原边调节在多个输出时调节性能较差,特别是当连接到每个绕组的负载变化很大时。这是因为系统通?;嵫≡褡钪馗涸乩词迪址蠢?,所以最重负载单独决定了控制回路的响应。
副边调节
如果需要更精确的调节,则采用副边调节(SSR,见图 6)。这种方法直接检测输出电压,并通过光耦合器将信号发送到变换器,从而在不破坏原副边之间隔离屏障的情况下传输信号。即使副边有一个或多个输出,副边调节也是更精确的方法。这主要是因为各个副边绕组之间的交叉调节比原边与副边绕组之间的交叉调节好得多。副边调节还允许采用不同的技术来优化调节性能,例如在变压器中使用升级绕组或加权反馈技术。
图6:副边调节电路原理图
不过,副边调节也有其自身的一系列缺点。例如,SSR 控制回路需要更多组件,特别是当电压在发送到位于变换器原边的控制器之前需要在副边进行补偿时,更是如此。 这增加了变换器的尺寸和成本,同时由于光耦合器随时间性能下降而降低了可靠性。
总结
在变换器设计中有两种不同的方法实现控制环路:原边调节与副边调节(PSR 和 SSR)。如上文所述,每种方法都有其优缺点,现总结如下(见表 1)。
MPS 提供了种类繁多的反激式变换器,可提供原边调节和副边调节。部分SSR 控制器(例如MPX2001)甚至包括集成隔离,占板空间更少,设计过程也更加简单。要了解更多信息,请浏览 MPS 网站上提供的参考设计、工具、网络研讨会和其他文章,这些文章将为您提供有关反激控制电路的更深入的实用信息。
免责声明:本文为转载文章,转载此文目的在于传递更多信息,版权归原作者所有。本文所用视频、图片、文字如涉及作品版权问题,请联系小编进行处理。
推荐阅读:
Digi-Key开售来自Renesas和Dialog的五种新型强大产品组合




