【导读】电阻(R)、电感器(L)和电容器(C)是电子学的三个基本无源元件。它们的特性和行为已经在交流电阻、交流电感和交流电容中详细介绍过教程本文将重点讨论这三个元件的串联组合,称为串联RLC电路。首先,介绍了三种本构元件的交流特性,并简要介绍了RLC电路。
串联RLC电路
演示
RLC电路的表示如下图1所示:

图1:RLC系列电路示意图
电阻器是一个纯电阻元件,在其上的电压和电流之间没有相移。其阻抗(ZR)在直流和交流区保持不变,等于R(单位:Ω),电感是一个纯无功元件,相移为+90°或+π/2rad。其阻抗由ZL=jωL给出,ω是交流情况下电压/电流的角频率,L是电感(单位:H)。在直流区,电感器表现为两个端子之间的短路;在交流区,电感器的阻抗随着频率。电感器通常被认为是一种元件,它可以抵抗电流。电容器也是纯无功元件,但其相移为-90°或-π/2rad。它的阻抗由ZC=-j/Cω给出,C是电容(单位为F),因此当频率增加时,它在直流区表现为开路,在交流区表现为短路电压输入图1,这三个组件串联在一起。电路由直流或交流电源供电,输出是电容器上的电压。前面的阻抗之和是电路阻抗的总和说明:ZRLC=ZR+ZL+ZC=R+j(Lω-(1/Cω))在下一节中,我们将介绍该电路对电压阶跃(也称为瞬态响应)的响应。
瞬态响应
在本节中,我们将重点关注图1中所示电路的行为,当对其应用重边步骤H(t)时:

图2:Heaviside函数说明
升程阶跃的特征是t<0等于0,t>0时等于Vin。这两种状态之间的转换类似于脉冲,因为当t=0时,导数趋于+∞。通过对电路进行网络分析,我们可以得出:Vin=R×I+L×dI/dt+Vout。此外,我们知道电流可以改写为I=C×dVout/dt,由此得到以下二阶微分方程:

式1:串联RLC电路的二阶微分方程
这种方程的解是永久响应(时间常数)和瞬态响应Vout,tr(时间变量)的总和。永久响应的求解是一个方程1的永久解,其瞬态响应很复杂,涉及许多步骤,本文不详细介绍。我们承认它的表达式可以有三种不同的形式,取决于Q=(1/R)√(L/C)的值,称为电路的品质因数。另一个重要参数是ω0=1/√(LC),这是电路。何时Q> 1/2,该系统被称为伪周期响应或欠阻尼响应,瞬态响应可采用Vout、tr=Ae-αtcos(ωt+Φ)的形式写入??悸堑缏烦跏继跫ㄈ绻缛萜鞒涞缁蛭闯涞?hellip;)可以找到常数A、α和Φ。脉动ω称为角频率,取决于基本频率ω0。当Q<1/2时,该系统被称为非周期或过采样响应,瞬态响应形式为Vout,tr=e-αt(A1e-ωt+A2eωt),最后一种情况是Q=1/2,对应于临界状态或临界阻尼响应。在这种情况下,Vout,tr=(A+Bt)e-ω0t,Vin:

图3:瞬态响应的不同区域曲线
当时间增加时,每条曲线趋于0。这是有意义的,因为我们知道Vout=Vin+Vout,tr和Vout(t→+∞)=Vin,因此,Vout,tr→0。但是,不同的可能瞬态响应在相同的速度和行为下不趋向于0。临界状态是最快趋于0的状态,而非周期状态是最慢的。伪周期区域呈现振幅减小的振荡指数级的。为了一个未知的RLC电路,用最佳可能曲线识别和匹配瞬态响应,可以得到电路的重要特性,如ω0和Q。
交流响应
在本节中,我们考虑图1中所示的同一电路,现在使用交流电源供电。利用复符号dX/dt=jωX的性质,ω是源的角频率,我们可以用以下形式重写方程1:

式2:串联RLC电路的复二阶微分方程
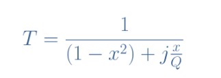
然后我们可以表示Vout/Vin的比值,这是串联RLC电路的传递函数T:

公式3:串联RLC电路的传递函数
知道Q=(1/R)√(L/C),ω0=1/√(LC),并考虑参数x=ω/ω0,称为归一化频率,我们可以重新整理方程3,写出传递函数的标准形式,从而简化并使表达式更紧凑:

公式4:RLC电路传递函数的标准形式
为了获得作为参数x的函数的电路增益,绘制传递函数的范数是很有趣的。本例中取了R=10Ω和20Ω,L=0.2 H,C=100μF的值:

图4:串联RLC电路的增益
我们可以注意到,图1中所示的串联RLC电路在交流区起到了二阶低通滤波器的作用,因为它降低了高于ω0的脉动的输出信号,通常称为电路。二阶滤波器具有对ω0附近频率的信号进行轻微放大的特性,并且在截止频率之后呈现-40 dB/dec的降低,而不是仅-20 dB/dec,例如一阶过滤器。它在图4中强调了Q值(取决于R)对曲线形状的影响。共振频率附近的峰值确实以其带宽Δω=ω0/Q为特征。在本例中,ω0=223 rad/s和Q=4.5或2.25,这使得橙色曲线的Δω=50 rad/s较窄,蓝色曲线的带宽为100 rad/s。因此,我们可以注意到,品质因数决定了共振是窄的(大Q)还是宽的(小Q)。如前一节所述,用最佳可能曲线拟合未知电路的传递函数,可以了解电路的特性,从而确定其组成元件的值。
RCL和CLR配置
基本元件R、L和C的其它组合可以提供不同类型的滤波器。我们之前已经看到RLC配置是二阶低通滤波器,但是如果我们在它们之间切换一些组件呢?图5和图6显示了两种新的配置,即RCL和CLR电路:

图5:RCL电路示意图

图6:CLR电路示意图
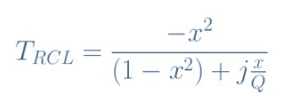
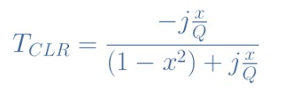
尽管这些电路和图1中所示的原始RLC电路之间的变化很小,交流响应非常大不一样。它可以证明这两个电路的传递函数由等式4和5给出:

公式5:RCL电路传递函数

公式6:CLR电路传递函数
通过绘制具有相同值的传递函数范数:R=10Ω和20Ω,L=0.2h,C=100μF,揭示了这些新滤波器的性质。

图7:串联RCL和CLR电路的增益
RCL电路是一种二阶高通滤波器,因为它可以衰减ω0以下的频率。电路CLR是一个带通滤波器,因为它只放大ω0左右的频率。请注意,与上一节中关于曲线形状作为Q函数的注释仍然适用于这两个过滤器。
结论
串联RLC电路是由三个基本电子元件串联而成:电阻器、电感器和电容器。电阻的阻抗是实数,电感器和电容器的阻抗是纯虚数,电路的总阻抗是这三个阻抗之和,因此是一个复数数字。那个第二节首先定义并给出电路的瞬态响应。它包括在高电压阶跃下研究电路的行为。通过研究与电路相关的二阶微分方程的可能解,可能存在三种情况:
欠阻尼响应,信号向永久值Vin缓慢振荡。
信号缓慢增加到永久值的过阻尼响应。
临界阻尼响应是信号向永久值增长最快的情况。
第三部分介绍了电路的交流响应。当提供交流信号时,微分方程可以写成复数形式,以便找到电路的传递函数。绘制该函数的范数表明串联RLC电路具有二阶低通特性过滤器。输入最后一节研究了RCL和CLR两种不同的结构。这一节说明,二阶高通滤波器或带通滤波器可以由同一电路通过简单的开关元件来实现。
推荐阅读:




