【导读】理想的共模电感流过对称的电流是不会出现饱和的,但实际应用的共模电感由于其差模分量的存在,在流经较大的电流时,仍有可能出现饱和。

一、等效模型
假设共模电感两绕组对称绕制,当两绕组流过大小相等方向相反的电流时,其磁通如下所示:

图 1 共模电感通过差模电流时的磁通示意图
对于每个绕组而言,它产生的磁通总可以分成两部分:
1.没有耦合到邻近绕组的磁通,该磁通流经磁芯(绕组内部)并经空气形成闭环,即漏磁通(差模电感)。
2.通过磁芯耦合到邻近绕组的磁通。由于两个绕组所产生的该部分磁通总是大小相等方向相反,因此其总合为0,对自感没有贡献。
因此,对于差模磁通而言,可以等效为两个棒状电感串联。

图 2 共模电感差模分量的等效模型
从该等效模型我们可以得到:
● 差模电感Ldm为两个绕组各自的自感;将两绕组同侧短路,对另一侧端口所测量的电感量Ltest为两差模电感之和,即Ltest=2Ldm。
● 被线圈覆盖部分的磁芯总有磁通流过,且有LdmIdm=NØ。
● 两绕组产生的自感磁通相互“隔离”。两绕组自感对磁通的贡献不能相互叠加。
二、共模电感差模分量的计算
1.计算环形空气芯的电感量:

2.乘以棒状电感(半个磁环)的等效磁导率
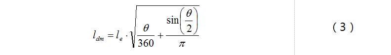
从图1可以看出,差模磁通(漏磁通)并不是完全被束缚在磁芯里面,而是有两部分组成:磁芯里面和磁芯外面。磁路长度为:

其中,θ为绕组在磁芯上所覆盖的长度对圆心所张开的角度。

图3 差模电感量磁路长度计算模型
然而漏磁通并不仅仅只存在于磁环的内侧,同样,磁环的外侧也存在着一部分漏磁通,因此,根据经验对上式修正为:

即

等效相对磁导率是一个与磁芯相对磁导率关的参数,差模电感的等效相对磁导率是一个只跟磁芯几何参数有关的量。

其中,
le为厂商所提供的环形磁芯的有效磁路长度;
d为与磁芯有效截面Ae面积相等的圆的直径;
综上所述:
共模电感的差模分量可以按下式进行估算:

三、实验验证
为了验证上述模型的正确性,进行了下述实验:
1.共模电感差模分量的计算
● 测试条件:
(1)磁芯:R7K T25/15/1;
(2)仪器:LCR表;
(3)测试频率:100KHz;
(4)测试信号幅值:1V;
(5)直流偏置:0A。
● 测试方法: 将共模电感两绕组的其中一侧短接,然后再对另一侧进行测量,由上述模型可知,所测得的电感量为差模电感量的两倍。

2. 验证差模分量是否会使电感饱和
● 实验条件:
(1)磁芯:R7K T25/15/7.5;
(2)匝数:50;
(3)仪器:LCR表;
(4)测试频率:100KHz;
(5)测试信号幅值:1V;
(6)直流偏置:8A。
● 理论计算:

● 测试方法: 将共模电感两绕组的其中一侧短接,然后再对另一侧进行测量:在8A的直流偏置下,不同温度下的差模电感量如下:

结果:在110℃,该共模电感流过8A的电流时出现了饱和。
四、结论
1.共模电感的差模分量所产生的磁通虽然只流经磁芯的一部分,但只要该磁通密度足够大(在高温大电流下)也会使电感饱和;
2.当电感工作的最大磁通密度Bm>0.6Bsat(在60℃时,Bsat约为0.35T)时,磁芯的u值/电感量开始下降。为了保证电感工作在磁芯磁化曲线的“膝部”以下,在设计时应留有充足的裕量。
推荐阅读:




