【导读】MEMS(Micro Electro Mechanical System,微机电系统)技术被广泛应用于光纤通信系统中,MEMS技术与光学技术的结合,通常称作MOEMS技术。最为常用的MOEMS器件包括光衰减器VOA、光开关OS、可调光学滤波器TOF、动态增益均衡器DGE、波长选择开关WSS和矩阵光开关OXC。
MEMS(Micro Electro Mechanical System,微机电系统)技术被广泛应用于光纤通信系统中,MEMS技术与光学技术的结合,通常称作MOEMS技术。最为常用的MOEMS器件包括光衰减器VOA、光开关OS、可调光学滤波器TOF、动态增益均衡器DGE、波长选择开关WSS和矩阵光开关OXC。
VOA在光纤通信系统中常用于光功率均衡,在各种技术方案中,MEMS VOA具有尺寸小、成本低和易于制造的优势。最常用的MEMS VOA有两类:MEMS Shutter型和MEMS微镜型,前者通常以热效应驱动,后者通常以静电力驱动。
MEMS Shutter型VOA
基于MEMS Shutter的VOA结构如图1所示,MEMS Shutter被插入两根光纤之间的光路,衰减量取决于被阻挡的光束截面大小。在实际应用中,这种VOA也可以设计成反射型。

图1. 基于MEMS shutter的VOA结构
MEMS微镜型VOA
如图2所示为基于MEMS扭镜的VOA结构,它以双光纤准直器的两根尾纤作为输入/输出端口,准直光束被MEMS微镜反射偏转,从而联通输入/输出端口之间的光路。扭动微镜让光束发生偏转,从而产生光功率的衰减。

图2. 基于MEMS扭镜的VOA结构
MEMS扭镜通常有两种结构,即平板电极和梳齿电极,如图3所示??悸?~20dB的衰减范围,前者通常需要>10V的驱动电压,后者可将驱动电压降至5V以下。然而,仅仅一个微小的粉尘颗粒就会卡住梳齿电极,因此其生产良率较低。采用梳齿电极的MEMS微镜,通常需要在超净环境下封装。

图3. 两类MEMS扭镜:平板电极和梳齿电极
MEMS微镜型VOA中的WDL问题
基于MEMS shutter和MEMS微镜的VOA均有广泛应用,前者性能指标较好,但装配工艺相对复杂;后者易于装配但WDL(波长相关损耗)相对较大。在宽带应用中,此类VOA会对不同波长产生不同的衰减量,此现象定义为WDL。宽带应用中,要求WDL指标越小越好。
WDL问题源于单模光纤SMF中的模场色散,我们知道,光纤中的不同波长具有不同的模场直径,长波的模场直径更大一些。图4所示为光纤中模场的色散情况。

图4. 光纤中模场色散情况
如图4所示,光束被MEMS微镜反射偏转,不同波长的的光斑均偏离出射光纤的纤芯。在未经优化的VOA中,所有波长的光斑具有相同的偏移量。如式(1),衰减量A取决于偏移量X和模场半径ω。

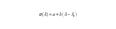
(1)在一个相对有限的波长范围内,如C波段(1.53~1.57μm),单模光纤中的模场色散情况可以式(2)作线性近似处理[3]。

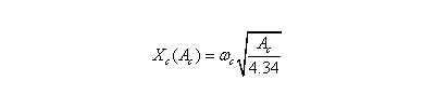
(2)对于常用的康宁公司SMF-28型单模光纤,上式中的系数为a=5.2μm、b=3.11@λc=1.55μm。当中心波长λc处的衰减量Ac给定时,得到光斑的偏移量Xc如式(3)。

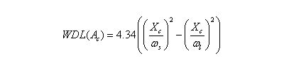
(3)综合式(1-3)可得到波长范围λs~λl内的WDL如式(4),其中下标s, c, l分别代表波段范围内的短波、中波和长波。

(4)根据式(4),当VOA的衰减量Ac设置越大时,光斑的偏移量Xc也越大,因此会产生更大的WDL,如图5, 图6所示。根据图6,在衰减范围0~20dB和波长范围1.53~1.57μm之内,最大WDL可达0.96dB。商用MEMS VOA可测得最大WDL为1.5dB,这是因为光学系统色散的影响,造成不同波长的光斑在输出光纤端面的偏移量不同。这种情况与图4所示情况不同,在图4中,所有光斑具有相同的偏移量。

图5. 对应不同衰减水平的WDL

图6. 对应不同衰减水平的WDL
MEMS微镜型VOA的WDL优化
MEMS微镜型VOA中的WDL源于两个因素:模场色散和光学系统色散,两个因素的影响累加起来,让最大WDL达到1.5dB。那么这两个因素的影响能否相互抵消,以助于减小WDL呢?答案是可以,但需要精细的分析和设计。
根据式(1),长波具有更大的模场直径,因此其衰减量更小。如图4.16所示,如果光学系统能够对长波的光斑产生更大的偏移量,就可以增加长波的衰减量,从而对衰减谱线产生均衡作用。

图7. 光学系统的色散与模场色散相互抵消情况
然而,根据式(4),因两个因素产生的WDL,只能在某个特定的衰减水平Ac下完全相互抵消。当VOA器件的衰减量被设置为一个异于Ac的数值时,将会存在剩余WDL,如图8所示。
从图8中看到,在优化之前,最大WDL产生于衰减量为20dB时。如果通过优化,将衰减量为20dB时的WDL完全抵消,则最大WDL产生于衰减量为4dB时。 如果将衰减量为13dB时的WDL完全抵消,则在0~20dB的衰减范围内,最大WDL将<0.2dB。

图8. 两个引起WDL的因素相互抵消情况
目前已有各种方案,可通过光学系统产生相反的色散。在图9中,准直透镜与MEMS微镜之间插入了一个棱镜,因而光学系统的色散与模场色散相互抵消。然而,额外加入的棱镜会增加VOA器件的成本和复杂度。图10展示了另一个解决方案,该方案要求制造准直透镜的玻璃材料具有很高的色散,并且透镜前端面倾角>10°(在现有器件中,这个角度通常为8°)[4]。

图9 通过引入棱镜来优化WDL ; 图10 通过高色散的准直透镜来优化WDL
基于对光学系统色散的透彻分析,华中科技大学的万助军等人提出了第三种解决方案,准直透镜的材料为常用的N-SF11玻璃,透镜的曲率半径也是常用的R=1.419mm。为了优化WDL指标,得到准直透镜的其他参数之间的关联曲线如图4.20所示,曲线上任意一点给出准直透镜的一组参数:端面角度φ和透镜长度L?;谡庑┎问庸ぷ贾蓖妇?,VOA器件的WDL指标将得到优化。注意图11中的端面角度φ均为负值,因此双光纤插针与准直透镜需要按照图12(d)中的方向进行装配,而非如图12(c)中的现有MEMS VOA装配方式。他们最终装配的MEMS微镜VOA如图13所示,据报道,在衰减范围0~20dB和波长范围1.53~1.57μm之内,测得最大WDL<0.4dB。

图10. WDL优化之后准直透镜参数之间的关系

图11. 通过调整准直透镜端面角度优化WDL指标

图12. MEMS微镜VOA样品
随着DWDM技术的快速发展,MEMS VOA的在光通信网络中的应用将越来越广泛。亿源通立足于现有业务的需求以及面向未来网络发展需求,推出了一系列自主研发的MEMS技术产品, 包括1×48通道的光开关, 与 WDM、PLC 或 PD 集成的 MEMS 光开关???,以及MCS??榈取?/div>
免责声明:本文为转载文章,转载此文目的在于传递更多信息,版权归原作者所有。本文所用视频、图片、文字如涉及作品版权问题,请联系小编进行处理。






