【导读】无人飞行器安装的监控设备、海上微波接收机、车辆安装的红外成像系统传感器以及其他仪器系统都需要具有稳定的平台,以达到最佳性能,但它们通常在可能遇到振动和其他类型不良运动的应用中使用。
振动和正常车辆运动会导致通信中断、图像模糊以及其他很多行为,从而降低仪器的性能和执行所需功能的能力。平台稳定系统采用闭环控制系统,以主动消除此类运动,从而保证达到这些仪器的重要性能目标。
图1是平台稳定系统的整体框图,它使用伺服电机来校正角向运动。反馈传感器为仪器平台提供动态方位信息。反馈控制器处理这些信息,并将其转换为伺服电机的校正控制信号。

图1. 基本平台稳定系统
由于很多稳定系统需要多个轴向的主动校正,因此惯性测量单元(IMU)通常包括至少三个轴向的陀螺仪(测量角速度)和三个轴向的加速度计(测量加速度和角定向)来提供反馈检测功能。反馈传感器的最终目标是提供平台定向的精确测量,即使当平台正在运动时也要做到。由于没有"万能"传感器技术能够在任何条件下提供精确的角度测量,因此平台稳定系统中的IMU通常在每个轴上使用两种或三种传感器类型。
加速度计,响应每个轴向上的静态和动态加速
"静态加速度"似乎是一个陌生的词汇,但它涉及重要的传感器行为:对重力的响应。假定不存在动态加速,并通过校准消除了传感器误差,则每个加速度计输出将代表它的相对于重力的轴定向。为了确定在存在振动和快速加速的情况下稳定系统中通常出现的实际平均定向,通常会将滤波器和融合程序(组合来自多个传感器类型的读数,得出最佳估计值)应用于原始测量。
陀螺仪,提供角速率测量
陀螺仪测量通过有限周期内的角速率的积分,在角度测量中发挥作用。执行积分时,偏置误差将导致成比例的角度漂移,随时间累加。因此,陀螺仪性能通常与设备偏置对不同环境因素的灵敏度相关,这些因素包括温度变化、电源变化、离轴旋转和线性加速度(线性g和整流g × g)。校准的高质量陀螺仪,具有对线性加速度的高抑制,使这些设备能够提供宽带角信息,作为对加速度计提供的低频信息的补充。
3轴磁力计,测量磁场强度
从三个正交轴的磁场测量实现了相对于地球磁场本地方向的定向角估算。当磁力计接近电机、显示器和其他动态磁场干扰源时,管理其精度可能非常困难,但在适当情况下,它的角度数据可作为来自加速度计和陀螺仪的数据的补充。虽然很多系统仅使用加速度计和陀螺仪,但磁力计可以改进某些系统的测量精度。
图2的整体框图显示了如何使用陀螺仪和加速度计测量,既利用它们的基本优势,同时又最大程度减少它们的弱点产生的影响。

图2. 组合单轴传感器输出
低通加速度计和高通陀螺仪滤波器的极点位置通常取决于应用,另外精度目标、相位延迟、振动和"正常"运动预测都会对位置决定产生影响。因系统而异的行为也会影响加权因子,而加权因子会对如何组合这两种测量产生影响。扩展卡尔曼滤波器就是一个组合滤波和加权函数以计算动态角度估计的算法的例子。
MEMS IMU 频率响应分析
围绕新的MEMS IMU开发稳定系统时,在系统设计早期阶段了解频率响应是非常重要的,因为IMU的频率响应将对控制器设计产生直接影响,可以帮助识别潜在稳定性问题—特别是在考虑到新一代设计的高带宽解决方案时。这些信息对于预测陀螺仪的振动响应也非常有用。
评估IMU带宽的一种策略是确定哪些信息在产品文档中提供,分析此类信息对系统的惯性运动响应的影响,并稳定系统的响应。此类分析以及它涉及的所有校正操作将成为初始测试的基础。
率响应在IMU和陀螺仪的规格表中表示为"带宽"。作为一个性能参数,它表示某个频率,输出信号幅度在该频率下降低到传感器遇到的实际运动幅度的大约70% (–3 dB)。某些情况下,带宽可也定义为输出响应落后于实际运动90度时的频率(对于双极系统)。这两个指标可以直接影响控制环路的一个重要稳定准则:单位增益、相位裕量—环路响应的实际相位角度和–180°之间的差值,环路增益为1。了解反馈传感器的频率响应,是优化稳定性保证和系统响应之间的平衡的关键因素。除了管理稳定性标准之外,频率响应还会对振动抑制和制定采样策略产生直接影响,通过这些策略可以测量惯性平台上的所有关键瞬态信息。
要分析系统中的频率响应,首先要从一个高层次"黑盒子"视图开始,它描述了系统在整个目标频率范围内对输入的响应。在电子电路中,输入和输出是从一般意义上定义的,例如信号电平(伏特),分析通常包括开发传递函数,使用s域表示和电路-电平关系,例如基尔霍夫的电压和电流定律。对于惯性MEMS系统,输入是IMU遇到的惯性运动,输出通常以数字码表示。s域分析技术固然有很大作用,但要为这种类型的系统开发完整的传递函数,通常还需要采用其他技术,并且考虑到更多问题。
开始分析过程时,首先要了解与传感器信号链相关的所有组件。图3提供了典型函数的整体示意图。信号链从核心传感器元件开始,它将惯性运动转化为代表性的电信号。如果带宽在传感器元件中未受限制,则通常受ADC??榍暗男藕诺骼淼缏分械穆瞬ㄆ飨拗啤P藕攀只?,处理器通常应用纠错(校准)公式和数字滤波。第二级的数字滤波器会减小反馈系统在控制程序中使用的带宽和采样速率。所有这些级都可能影响传感器信号的增益和相位,与频率相关。图3提供了一个示例,IMU在混合信号处理系统中具有多个滤波器。该系统可作为一些实用分析技术的示例。

图3. 信号链中用于频率分析的ADIS16488传感器
核心 MEMS 传感器元件
要进行此类分析,必须了解可以量化和应该量化的所有行为,然后可对那些无法轻易量化的行为做出合理假设。充分了解"已知"可变因素之后,通??梢愿蛹虻サ刂匦缕拦勒庑┘偕枰越屑觳楹统吻濉DIS16488的规格表(图3)显示了330 Hz的–3 dB带宽。假定核心传感器处于临界阻尼状况,而且在远低于其谐振范围(16 kHz至20 kHz)的带宽下并非主要贡献因素。这种情况并非总会出现,但它是一个很好的起点,可以使用噪声密度或完全运动测试,稍后在流程中测试到。
接口电路/模拟滤波器
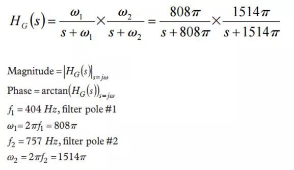
此外,每个陀螺仪传感器在通过ADC??橹岸蓟嵬ü屯瞬ㄆ?。这样可以提供足够的信息,以便使用拉普拉斯变换来开发S域中的传递函数表示。第一极(f1)的频率为404 Hz,第二极(f2) 的频率为757 Hz。

加速度计的单极 (f1)传递函数为:

这些公式为程序中的数字分析提供了依据,这些程序可管理与"s = jω"恒等式相关的复数。在MATLAB中,以下的m-脚本将生成幅度(比率,无单位)和相位(度)信息:
Fmax = 9840/2; % one-half of the sample rate
for f = 1:Fmax
w(f) = 2*pi*f;
end
p1 = 404; % pole location = 404Hz
p2 = 757; % pole location = 757Hz
NUM1 = 2*pi*p1;
DEN1 = [1 2*pi*p1];
NUM2 = 2*pi*p2;
DEN2 = [1 2*pi*p2];
H1 = tf(NUM1,DEN1); % transfer function for first pole
H2 = tf(NUM2,DEN2); % transfer function for second pole
H488a = H1 * H2; % transfer function for 2-pole filter
[maga,phasea] = bode(H488,w);
for f = 1:Fmax
Mag488a(f) = maga(1,1,f);
Phase488a(f) = phasea(1,1,f);
end
为快速评估与这些滤波器相关的时间延迟,请注意单极滤波器的相位延迟在−3 dB频率下等于45°,也就是转折频率周期的1/8。在此情况下,加速度计的滤波器的时间延迟大约等于0.38 ms。对于陀螺仪,延迟等于两级的时间延迟的总和,约为0.47 ms。

均值/抽取滤波器级
图3说明了两个均值/抽取滤波器级的使用,它们可以降低级的输出采样速率,并且提供额外的滤波。在具有有限脉冲响应(FIR)的数字滤波器中,相位延迟等于总抽头数的一半,除以每个抽头的采样速率。在第一个滤波级,采样速率为9.84 kHz。有四个抽头,在此种类型的滤波器中,这个数字等于均值数量。相位延迟约为0.2 ms。均值滤波器的幅度响应遵循这种关系

使用MATLAB进行分析时,请使用9.84 kSPS的采样速率(fs)和4个抽头(N),以及用于分析模拟滤波器的相同频率数组(N)。使用相同频率数组,可以更加简单地组合每级的结果。请使用以下代码来分析第一级:
Fmax = 9840/2; % one-half of the sample rate
f = 1:Fmax;
NUM(f) = sin(4*pi*f/9840);
DEN(f) = 4 * sin(pi*f/9840);
for fq = 1:Fmax
Hda(fq) = abs(NUM(fq)/DEN(fq));
end
要分析第二个均值/抽取滤波器,需要事先了解控制系统的采样速率,但应使用相同的关系。例如,如果控制环路需要接近400 SPS的采样速率,则第二个滤波器的均值和抽取率将等于6(采样速率为410 SPS,有四个样本,因此为9840/[410 × 4] = 6)。使用相同的m-脚本代码可分析幅度响应,有三个例外:(1) 将采样速率从9480更改为2460;(2) 将两个位置的"4"更改为"6";以及 (3) 将FMAX从9840/2更改为2460/2。相位等于总抽头数的一半,除以采样速率,约为1.22 ms (3/2460)。
复合响应
图4和图5提供了复合幅度和相位响应,包括陀螺仪的模拟滤波器和两个抽取滤波器。图4表示针对数组中的每个频率,将各级的幅度相乘的结果。图5表示将每个频率下的各级的相位贡献相加的结果。标记"没有抽取"的坐标图假定输出数据速率为2460 SPS,第二个抽取滤波器级有效关闭。标记"有抽取"的坐标图假定抽取率等于6,最终输出数据速率为410 SPS。两个坐标图说明了响应差异,帮助实现控制环路采样速率和相应频率响应的系统级平衡。

图4. 模拟滤波器和第一个抽取滤波器级

图5. 410-SPS数据速率的复合响应
可编程FIR滤波器分析
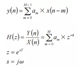
知道模拟滤波器和抽取滤波器的贡献之后,我们可以评估使用片内抽取滤波器和设计自定义FIR滤波器之间的比较权衡。在图3所示的ADIS16488中,FIR滤波器包括在IMU中,但有些系统在数字信号处理程序中实施滤波器。FIR滤波器的时域f(n) 以差分方程表示,其中z变换提供了用于频率分析的分析工具:

幸运的是,很多现代程序都包含根据基本关系进行此类分析的特定工具或命令。但在验证自动评估工具的结果或对FIR设计工具输出产生直觉的疑问时,了解它们仍然是有用的。MATLAB"fdatool"命令可启动滤波器分析和设计软件包,帮助设计和分析系统FIR滤波器实施。
惯性频率响应测试方法
在陀螺仪中测试频率响应的最直接方法是使用惯性速率表,它能够引入适当的频率成分。速率表通常包括可编程伺服电机和光学编码器,可验证电机轴上的编程旋转。这种测试方法的优势是它应用了实际惯性运动。它的弱点在于它通常不适用于刚开始使用MEMS的工程师。
对于未使用速率表的早期分析验证,测试目标频段内的频谱噪声可以提供有用的信息。这种简化方法不需要复杂的测试设备,而只需要与稳定平台的安全机械连接以及数据收集仪表。但是,它要求机械噪声具有相对于频率的"平坦"噪声幅度。
图6详细说明了使用相同双极低通滤波器的两个例子。第一个例子 (ADIS16375)使用了在有用频率范围内具有平坦响应的陀螺仪。第二个例子(ADIS16488)使用在1.2 kHz频率下具有适中峰化量的陀螺仪,它实际上将–3 dB频率扩展到大约380 Hz。对于在为控制环路进行建模和仿真的人员而言,了解这种共振行为可能是非常有价值的。在简单测试中识别这种行为,还有助于解释在执行更全面系统特征化时噪声电平高于预期的原因。如果在项目早期了解和识别这些行为,则通??赏ü月瞬ㄆ骷愕牡髡?,对它们进行管理。
测量噪声密度时,请确保采样速率至少达到最高目标频率的两倍,以满足奈奎斯特准则。此外,还应提取足够的数据样本,以降低测量的不确定性。图6中的坐标图源于FFT时间记录分析,长度为256000个采样,最大速率为2.46 kSPS。

图6. 噪声密度比较
另一种方法使用了陀螺仪的自测功能。自测功能提供了使用电气信号来模拟传感器的机械结构的机会,而无需对设备施加外部惯性运动。自测功能迫使模拟对实际运动的响应的传感器内核中发生变化,从而在电气输出上产生相应变化。并非所有产品都提供对此信息的实时访问,但它可能是一种有用工具,另外制造商或许能够提供此种类型的频率-响应测试的数据。在最简单的方法中,可将自测(模拟对步骤的响应)与分析预期结果进行比较。重复在特定频率下的自测置位,也是一种研究每个频率下的传感器响应幅度的直接方法。以图7中的两种不同响应为例。在较低频率下,陀螺仪输出类似于方波,每个转换的瞬态响应除外。瞬态响应符合传感器信号链中的滤波器网络的"步骤响应"预期。在第二个示例中,自测的频率足够高,能够防止完全建立,因而发生了幅度减小。请注意在本图底部信号上,蓝色和黑点响应之间的幅度差异。有多种方法可以估测这些时间记录的幅度。离散傅里叶变换(DFT)可将主要频率成份(自测频率)与谐波内容隔离开,这可能导致幅度/频率响应的误差。

图7. 自测
结论
向高带宽IMU发展的趋势为反馈稳定系统的设计提供了显著优势。高带宽使得多传感器系统能够实现更好的时序对齐和相位裕量管理。滤波电容的值和温度响应的变化范围可能非常广,可能导致极点频率的成比例变化。由于相位延迟取决于极点位置,因此了解和管理极点位置非常重要。例如,当反馈传感器的截止频率比控制器的单位增益反馈高两倍时,则会为环路响应增加大约22.3°的相位延迟。如果截止频率降低20%,则相位延迟增加大约5.6°。提高单位增益带宽中的截止频率的比率,可将这些影响减小4倍。
要了解IMU的带宽及其在系统稳定性中的角色,应该使用分析、建模、测试数据以及这些因素的迭代。首先要量化可用信息,做出假设以弥补所有漏洞,然后制定计划来优化这些假设。
推荐阅读:





