桃花源qm花论坛(品茶),凤楼阁论坛官网入口网址,一品楼品凤楼论坛最新动态,风楼阁全国信息2024登录入口

你的位置:首页 > 传感技术 > 正文

传感器信号调节器如何解决感测元件输出非线性化问题?

发布时间:2016-11-22 责任编辑:wenwei

【导读】感测元件用来将相关的物理量转换成电信号。例如,惠斯通电桥可用来将压力转换成电输出。许多感测元件本质上是非线性的?;痪浠敖?,它们的输出与其正在测定的物理量不呈线性比例关系。由于相关物理量发生变化,输出呈非线性变化。

传感器信号调节器用来校正感测元件输出的非线性特性。在这篇文章中,我们研究了两种广泛用于校正感测元件非线性的方法:1)查找表(LUT)或内插法; 2)多项式或曲线拟合。文中对这两种方法做出了对比,并讨论了两种方法之间的折衷。

感测元件和传感器信号调节器

传感器或变送器包括感测元件和信号调节器?;菟雇ǖ缜呕蛉认叻缢偌频雀胁庠糜诮钊缪沽蚩掌柿苛髁康奈锢硌沽Ψ直鹱怀傻缧藕?。而传感器信号调节器用于处理感测元件输出的非理想特性,并将信号发送到控制器。图1所示为该生态系统的总体框图。

传感器信号调节器如何解决感测元件输出非线性化问题?
图1:显示相关物理量(x)、感测元件输出(y)和经过调节的传感器输出(z)的传感器方框图。

图1中显示所测的物理量为x,感测元件的输出为y,而处理后的传感器信号调节器输出为z。传感器信号调节器用于处理感测元件输出的非线性、温度变化和动态响应等非理想特性。本文中讨论如何对感测元件输出的非线性进行处理。

感测元件非线性


尽管感测元件的非线性具有不同形式,但在本文中我们将讨论一种特定的非线性形式,即二阶非线性,以便于我们理解如何使用传感器信号调节器将输出线性化。注意,这些概念可推广到任意非线性。

如果某个感测元件的输入和输出具有如等式1所示的数学关系,则可以认为该感测元件具有二阶非线性:

传感器信号调节器如何解决感测元件输出非线性化问题?

公式中:
  1. a = 感测元件偏移,其定义为所测物理量为其最小值时感测元件的输出
  2. b = 感测元件跨度,其定义为测定最大和最小物理量时的感测元件输出之差
  3. c = 感测元件二阶非线性
  4. x = 所测物理量
  5. y = 感测元件的输出,是x的函数

例如,考虑具有以下示例参数的非线性感测元件:
  1. x是介于0和1之间的值。即,物理量已归一化,因此无单位
  2. a= 0
  3. b = 1
  4. c= 10%的满刻度(FS),式中FS = b;换言之,感测元件具有10%的非线性。

在这种情况下,感测元件输出与输入的函数关系式如等式2所示。

传感器信号调节器如何解决感测元件输出非线性化问题?

图2显示了归一化的输入x从0变到1时的等式2曲线图。从图2的曲线图可以推断,x = 0.5时,感测元件的输出为0.6。若感测元件的输出完全呈线性,那么输出将是0.5。也就是说,感测元件在中点具有10%的FS偏差。这是具有二阶非线性的感测元件在输出上出现的凸起。

传感器信号调节器如何解决感测元件输出非线性化问题?
图2:非线性感测元件的输出。请注意输出线的凸起现象。

将感测元件输出线性化

将感测元件输出线性化的目标是将非直线线性化。在本文中,我们讨论在传感器信号调节器中使用的两种常用方法。请注意,无论实现线性化的过程如何,这一讨论都是有效的。使用PGA309中的模拟电路,或利用PGA900中的数字逻辑或固件都可以实现线性化过程。

使用LUT进行线性化

查找表(LUT)是所测输入和输出的表。在调节传感器信号时,表中的输入为感测元件在不同相关物理量条件下的输出,且输出为期望的线性输出。根据LUT,对于特定的输入值,输出可在LUT中查找得到。

根据上一部分所述的感测元件示例,具有三个数据点的LUT可如表1所示:

传感器信号调节器如何解决感测元件输出非线性化问题?
表1:LUT用于感测元件非线性部分中所述的感测元件示例

根据表1中的LUT,若感测元件的输出为0.6,则该传感器信号调节器将查找LUT,得到的输出将是0.5。若感测元件的输出是0.5,且LUT没有该值,会发生什么情况呢?在这种情况下,传感器信号调节器通常采用线性内插法来以确定该传感器信号调节器的输出。

图3显示基于LUT线性化的信号调节器输出;图4显示了相关物理量x和信号调节器输出z之间的FS误差百分比。图4中显示传感器信号调节器将感测元件线性误差从10% FS校正至3% FS。

传感器信号调节器如何解决感测元件输出非线性化问题?
图3:使用LUT进行线性化。

传感器信号调节器如何解决感测元件输出非线性化问题?
图4:通过使用LUT进行线性化的FS误差百分比。

注意,可通过在LUT中选择多个点进一步降低非线性误差。

用多项式进行线性化

接下来我们考虑使用多项式进行线性化。具体来说,我们使用一个三系数多项式(类似于使用三点LUT)或等式3给出的二阶多项式:

传感器信号调节器如何解决感测元件输出非线性化问题?

式中,h、g和n均为多项式系数;y是感测元件的输出;而z是传感器信号调节器的输出。

考虑我们前面所述的感测元件示例。利用等式2,可以将等式3修改为等式4:

传感器信号调节器如何解决感测元件输出非线性化问题?

线性化的目标是消除信号调节器输出对X2的依赖性。该目标可通过选择多项式系数h、g和n实现,如此以来,可以消除所得的系数或将其变小。

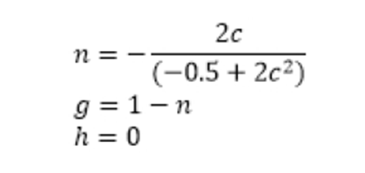
使用代数运算,减小X2所得系数的三个多项式系数可被估算为:

传感器信号调节器如何解决感测元件输出非线性化问题?

该传感器信号调节器使用上述系数的值,并使用等式3计算线性化输出。

图5显示了基于多项式线性化的信号调节器输出,而图6中显示了相关物理量x和信号调节器输出z之间的FS误差百分比。图6显示传感器信号调节器已将感测元件线性误差从10% FS校正至1.5% FS。

传感器信号调节器如何解决感测元件输出非线性化问题?
图5:利用多项式进行线性化。

传感器信号调节器如何解决感测元件输出非线性化问题?
图6:通过使用多项化的线性化的FS误差百分比。

注意,可通过在多项式中选择多个系数或选择更高阶多项式,进一步降低非线性误差。

实际问题

实际上,每个感测元件都具有独特的非线性特性。正因如此,传感器制造商在制造过程中会对每个传感器进行校准。校准过程包括在LUT上确定点,或确定使用实际测量的多项式系数。具体来讲,传感器暴露于不同的相关物理量,并测定传感器输出。通过在此基础上测得的数据,可以确定LUT数据点或多项式系数。目标精度决定LUT数据点的数量或多项式系数,反过来也可决定测量点数量。需要注意的是,测量点越多,校准的成本就越高,因此,传感器的成本也越高。需要注意的是,可能需要进行多次测量才能达到更好的传感器精度。

总结

本文讨论了感测元件非线性的问题和两种广泛使用的感测元件输出线性化方法。三系数多项式法获得的精度比三点LUT法要高(图4和图6)。直观上看,这是有可能的,因为感测元件的固有非线性是一个二阶或更高阶的多项式。另一种观点认为,以多项式法进行线性化时,也能够获得类似的精度,且校准点更少,降低了产品成本。从另一方面讲,以类似的产品成本可以获得更高的精度。前提是假定传感器信号调节器能够实时进行多项式计算。




推荐阅读:


示波器在直流无刷电机行业的应用案例解析
如何正确判断无人机指向故障?让电子罗盘远离磁干扰
基于激光传感器的无人驾驶汽车动态障碍物检测跟踪
传感器在无人驾驶汽车道路识别上的应用
压阻式压力传感器在汽车上的应用实例


要采购传感器么,点这里了解一下价格!
特别推荐
技术文章更多>>
技术白皮书下载更多>>
热门搜索

关闭

?

关闭