【导读】MEMS陀螺仪提供了测量旋转角速度的一种简单方法,其封装很容易连接印刷电路板,因此被广泛用于许多不同类型的运动控制系统中作为反馈检测元件。在这种类型的功能中,角速度信号(MEMS陀螺仪输出)中的噪声对关键系统行为有着直接的影响,比如平台稳定性,因此通常是影响MEMS陀螺仪能够达到的精度级别的主要因素。
对于定义和开发新的运动控制系统的系统架构师和开发人员来说,“低噪声”是一种自然的且具有指导意义的指标。要想进一步理解这个指标(低噪声),需要将关键的系统级标准(比如指向精度)转换为MEMS陀螺仪数据手册中常见的噪声指标,这是早期的概念和架构化工作的重要组成部分。理解系统对陀螺仪噪声行为的依赖性有很多好处,例如能够建立针对反馈检测元件的相关要求,或反过来分析对某个特定陀螺仪中噪声的系统级响应。
一旦系统设计师深入理解了这个关系,他们就能重点掌握影响角速度反馈环路中噪声行为的两个关键领域:(1)为MEMS陀螺仪的选择开发最合适的标准,(2)在整个传感器的集成过程中保持合适的噪声性能。
运动控制的基本原理
建立MEMS陀螺仪中噪声行为之间的有用关系并分析它对关键系统行为有何影响通常都要从理解系统如何工作开始。图1提供了一个运动控制系统的架构例子,它将重要的系统组件分解成了功能模块。这种系统的功能性目标是建立一个对惯性运动敏感的个人或设备用稳定平台。自动驾驶汽车平台上的微波天线就是这样一个应用例子,它要在造成车辆方向突然改变的速度等恶劣条件下进行操控。如果没有对指向角度的实时控制,这些高度方向性的天线在经历这种惯性运动时可能无法支持连续的通信。

图1:运动控制系统架构例子
图1所示的系统使用了一个伺服电机,它将以与系统其余部分相同或相反的方向进行旋转。反馈环路从MEMS陀螺仪开始,由陀螺仪监视“稳定平台”上的旋转速度(ωG)。陀螺仪的角速度信号随后馈入由滤波、校准、对齐和积分组成的特殊应用数字信号处理电路,产生实时的方向反馈信号(φE)。伺服电机的控制信号(φCOR)来自这个反馈信号与“被命令”方向信号(φCMD)的比较,后者来自中央任务控制系统,或只是代表支持平台上的设备理想工作的方向。
应用例子
从架构的角度看图1所示运动控制系统的移动,有价值的定义和观点也来自对特殊应用的物理属性的分析??悸峭?所示的系统,它从概念的角度观察生产线上的自动化检查系统。这个摄像机系统可以检查传送带上进出视场的物件。在这个方案中,摄像机通过一个长的支架挂接到天花板上。这个支架确定了其高度(见图2中的“D”),可根据它要检查的目标物体大小优化其视场。由于工厂中充满了机械设备和其它活动,摄像机可能时不时经历摆动(见图2中的“ωSW(t)”),从而可能导致检查图像的失真。
这张图中的红色虚线是对来自这种摆动的总角度误差(±φSW)的放大图,绿色虚线代表支持系统图像质量目标的角度误差水平(±φRE)。图2在检查物体表面上的线性位移误差(dSW, dRE)方面定义了关键的系统级指标(图像失真)。这些属性通过公式1中简单的三角函数与摄像机的高度(D)和角度误差项(φSW, φRE)建立起了关系。 20160706A02


图2:工业摄像机检查系统
针对这种系统的最适用的运动控制技术被称为图像稳定技术。早期的图像稳定系统使用基于陀螺仪的反馈系统来驱动伺服电机,并在快门打开期间调整图像传感器的方向。MEMS技术的出现以革命性的方式帮助减小了这些功能的尺寸、成本和功耗,从而使得这种技术在现代数码相机中得到了广泛使用。数字图像处理技术的发展(在它们的算法中仍然使用基于MEMS的角速度测量)已经导致许多应用取消了伺服电机。
不管图像稳定效果来自于伺服电机还是通过图像文件的数字化后处理,陀螺仪的基础功能(反馈检测)仍然是一样的,噪声结果也是如此。为了简单起见,本次讨论专注于经典方法(在图像传感器上使用伺服电机)研究最相关的噪声原理,以及它们是如何关联到这类应用最重要的物理属性的。
角度随机游走(ARW)
所有MEMS陀螺仪的角速率测量都存在噪声。这种固有的传感器噪声代表陀螺仪工作在静态惯性(没有旋转运动)和环境条件(没有振动、冲击等)下输出中的随机变化。MEMS陀螺仪数据手册中描述它们噪声行为的最常用指标是速度噪声密度(RND)和角度随机游走(ARW)。RND参数一般使用的单位是degrees/sec/√Hz,它根据陀螺仪的频率响应从角速度方面提供了预测总噪声的简单方法。
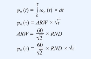
ARW参数一般使用的单位是degrees/√hour,在分析指定时间内噪声对角度估计值的影响时更加有用。公式2提供了根据角速度测量结果估计角度的通用公式。另外,它也提供了将RND参数关联到ARW参数的简单公式。这个关系代表了在IEEE-STD-952-1997(附录C)基础上的小改变(单侧与双侧FFT)。

图3提供了图形参考,它有助于进一步讨论ARW参数表示的行为。这张图中的绿色虚线代表陀螺仪的RND等于0.004 degrees/sec/√Hz时的ARW行为,相当于ARW为0.17 degrees/√hour。实线代表这个陀螺仪的输出在25ms时间内的6次单独积分。角度误差相对于时间的随机属性表明,ARW的基本用途是估计在规定积分时间内角度误差的统计分布。另外值得注意的是,这种响应假设使用高通滤波滤除了积分过程中的初始偏置误差。

图3:角度随机游走(ADIS16460)
回顾图2所示的应用例子,将公式1和2组合起来可以将重要标准(检查表面上的物理失真)关联到MEMS陀螺仪数据手册中常见的噪声性能指标(RND,ARW)。在这个过程中,假设公式1的积分时间(τ)等于图像捕获时间,这样可以得到有用的再次简化。公式3应用公式1的通用关系来估计当摄像机离检查表面1米(D)远以及最大允许失真误差为10μm (dRE)时,来自陀螺仪的角度误差必须小于0.00057度。

公式4整合了公式3的结果和公式2中的通用关系来预测特定情形下对MEMS陀螺仪的ARW和RND要求。这个过程假设35ms的图像捕获时间代表来自公式2的积分时间(τ),进而导致预测陀螺仪的ARW需要小于0.18 degrees/hour1/2,或RND必须小于0.0043 degrees/sec/Hz1/2才能支持这个要求。当然,这可能不是这些参数支持的唯一要求,但这些简单的关系确实提供了如何关联到已知要求和条件的样例。

角速度噪声与带宽
提供连续指向控制的系统开发人员可能选择根据角速度来评估噪声影响,因为他们可能没有固定的积分时间来利用基于ARW的关系。根据角速度评估噪声经常要考虑RND参数和陀螺仪信号链中的频率响应。陀螺仪的频率响应通常受滤波的影响最大,它支持针对环路稳定标准的特殊应用要求,并能抑制对环境威胁的不良传感器反应,比如振动。公式5提供了估计与特定频率响应(噪声带宽)和RND有关的噪声的一种简单方法。

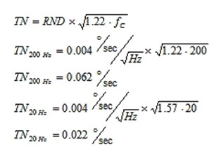
当RND的频率响应符合单极点或双极点的低通滤波器规范时,根据公式6中的关系,噪声带宽(fNBW)将与滤波器的截止频率(fC)有关。 20160706A09 举例来说,图4针对RND为0.004 degrees/sec/√Hz的ADXRS290中的噪声提供了两个不同的频谱图。在这张图中,黑色曲线代表使用双极点低通滤波器时的噪声响应,这个滤波器的截止频率是200Hz;而蓝色曲线代表使用单极点低通滤波器时的噪声响应,这时的滤波器截止频率是20Hz。公式7可以用来计算每个滤波器的总噪声。正如预期的那样,200Hz版本的噪声要比20Hz版本高。
举例来说,图4针对RND为0.004 degrees/sec/√Hz的ADXRS290中的噪声提供了两个不同的频谱图。在这张图中,黑色曲线代表使用双极点低通滤波器时的噪声响应,这个滤波器的截止频率是200Hz;而蓝色曲线代表使用单极点低通滤波器时的噪声响应,这时的滤波器截止频率是20Hz。公式7可以用来计算每个滤波器的总噪声。正如预期的那样,200Hz版本的噪声要比20Hz版本高。


图4:带滤波器的ADXRS290噪声密度
在系统要求定制滤波的场合,其频率响应(HDF(f))不符合公式6和7中简单的单极点和双极点模型,公式8提供了更为通用的关系来预测总噪声:

除了影响总的角速度噪声外,陀螺仪滤波器还会对总的环路响应产生相位延时,这将直接影响反馈控制系统中的另一个重要的品质因数:单位增益交越频率点的相位余量。公式9提供的公式可以用来估计单极点滤波器(fC =截止频率)在单位增益交越频率点(fG)对控制环路频率响应造成的相位延时(θ)。公式9中的两个例子给出了滤波器截止频率分别是200Hz和60Hz时单位增益交越频率20Hz点的相位延时。这种对相位余量的影响可能导致规定陀螺仪的带宽比单位增益交越频率高10倍,从而把更多的重点放在选择具有良好RND水平的MEMS陀螺仪上面。

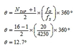
现代控制系统经常使用数字滤波器,因此在预测控制环路关键频率点的相位延时时可能用不同的模型。举例来说,公式10用于预测与16抽头FIR滤波器(NTAP)相关的相位延时(θ),该滤波器运行在ADXRS290的4250 SPS (fS)刷新率条件下,并具有同样20Hz的单位增益交越频率(fG)。这种关系有助于确定在这种滤波器结构下系统架构允许的总抽头数量。

本文小结
总之,角速度反馈环路中的噪声对运动控制系统中的关键性能标准有直接的影响,因此对一个新系统来说需要在设计过程的早期加以考虑。那些能够量化角速度噪声如何影响系统级行为的人要比只知道需要“低噪声”的人拥有显著的优势。他们能够确立性能目标,并在他们的应用中形成可观察的值,并且当项目其它目标鼓励考虑特定MEMS陀螺仪时能够更好地量化系统级结果。
一旦基本的理解到位后,系统设计师就能专注于确定能够满足他们性能要求的MEMS陀螺仪,并使用带宽、速度噪声密度(RND)或角度随机游走(ARW)指标来指导他们的想法。当他们需要优化从所选的传感器认识到的噪声性能时,他们能够使用与带宽(角速率噪声)和积分时间(角度误差)的关系来形成其它重要的系统级定义,进而支持最适合的应用性能。
【推荐阅读】





