【导读】电容传感器具有高阻抗、小功率、动态范围大等优点,因此,电容传感器在自动检测技术中占有很重要的地位,并得到广泛的应用,但它在使用过程中也存在一些问题,如何解决这些问题呢?
根据教材的理解来说,我们都知道电容传感器是将被测的非电量的变化转换为电容量变化的一种传感器,它不仅能测量荷重、位移、振动、角度、加速度等机械量,还能测量液面、料面、成分含量等热工参量。这种传感器具有高阻抗、小功率、动态范围大、动态响应较快、几乎没有零漂、结构简单和适应性强等优点。因此,电容传感器在自动检测技术中占有很重要的地位,并得到广泛的应用。但它在使用过程中也存在一些问题:
首先其灵敏度的问题是我们经?;嵊龅降?,这里我们可以看到由两平行板组成的一个电容器,若忽略其边缘效应,其电容量可用下式表示:

式中,S为极板相互遮盖面积,单位为m2;d为两平行板间的距离,单位为m;ε为极板间介质的介电常数;εr极板间介质的相对介电常数;ε0真空的介电常数。从上式可以看出,当d小时可使电容量增大,而使灵敏度增加,但d过小容易引起电容器击穿,一般我们可以采取在极板间放置云母来改善,此时电容C为两电容串联,可写成:

式中,ε1云母片的介电常数;ε2空气的介电常数;d0为气隙宽度;d为两极板间的距离。云母的介电常数为空气的7倍,云母的击穿电压不少于103kv/mm,空气的击穿电压仅为3kv/mm。厚度仅为0.01mm的云母片,它的击穿电压也不小于10kv/mm,因此有了云母片,极板之间的距离可大大减小,还能使电容传感器输出特性的线性得到改善。提高灵敏度除了采用加云母片的方法外,还可以采取以下措施:提高电源频率或减小极板厚度可削弱边缘效应。
第二个问题是电容传感器中一些量的变化范围。在变极间距离的电容传感器中,由于减小极间距离可以提高灵敏度,多用来测量微米级的位移,一般极板间距离不超过1mm,最大位移量应限制在间距的1/10范围内;在变极板工作面积的传感器中,可以测量厘米级的位移。在电容传感器中,正确选择电容的大小是很重要的。合理的设计既可以使传感器满足测量范围的要求,又可以提高灵敏度,减小非线性误差。一般其电容的变化在103PF~104PF范围内,相对值ΔC/C的变化则在10-6~1范围内。电容元件输出阻抗一般在108Ω~106Ω,该数值还与所采用的交流电源频率有关。为了减小绝缘电阻的影响和提高灵敏度,电源频率一般采用在50kHz以上,但是采用高频电源使信号放大、传输等问题比低频时复杂的多。
第三个问题是分布电容的影响。由于电容传感器一个很关键的问题是分布电容电容量与传感器电容量相比不仅不能忽略,而且影响还极其严重,其后果是造成传输效率降低、灵敏度下降、测量误差增加及稳定性变差。近几年来,对此问题有了新的解决途径。其中“整体屏蔽法”就是一例,以差动电容传感器为例,说明整体屏蔽法,在下图中,CX1、CX2为差动电容,U为电源,A为放大器,整体屏蔽法是把整个电桥(包含电源电缆等)一起屏蔽起来,设计的关键点在于接地点的合理设置。采用把接地点放在两个平衡电阻R1、R2之间与整体屏蔽共地,这样,传感器公用极板与屏蔽之间的分布电容C1与放大器的输入阻抗并联,从而可把C1视作放大器的输入电容。由于放大器的输入阻抗有极大值,C1的并联也不希望存在,但它只影响灵敏度而已,另外两个分布电容C3、C4并联在桥臂R1、R2上,会影响电桥的初始平衡和整体灵敏度,并不影响电桥的正常工作。因此,分布参数对传感器电容的影响基本消除,整体屏蔽法是解决电容传感器分布电容问题的很好方法,缺点是使结构复杂。

图1:消除分布电容的工作电路图
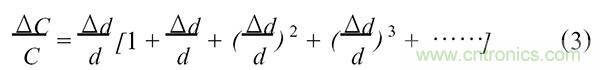
最后要说明的是关于非线性的问题。由下图我们可以看到变间隙式电容传感器相对输出表达式为:

由上式可知变间隙式电容传感器相对输出与输入为非线性关系。由于Δd/d<<1,工程上常采用以下两种近似处理方法的办法:
1.近似线性处理:即取上式右边第一项近似,有:

2.近似非线性处理:即取相对输出表达式的前两项近似,有:

上述两种近似产生的相对非线性误差为:

通过以上的问题举例与步骤分析我们可以看出,相对非线性误差r0与间隙d0也成反比例关系,因此提高传感器的灵敏度和减小非线性误差是相矛盾的。在实际应用中,为解决这一矛盾,大都采用差动式电容传感器。
相关阅读:
威雅利免费样片申请:加速度传感器(GMA301/302/303)
威雅利免费样片申请:压力传感器(TR系列)





