- 基于DSP与数字温度传感器的温度控制系统
- 温度控制软件的设计
- 采用外部供电方式
- 采用连续增计数模式
0 引言
20世纪60年代以来,数字信号处理器(Digital Signal Processing,DSP)伴随着计算机和通信技术得到飞速发展,应用领域也越来越广泛。在温度控制方面,尤其是固体激光器的温度控制,受其工作环境和条件的影响,温度的精度要求比较严格,之前国内外关于温度控制基本上都采用温度敏感电阻来测量温度,然后用风冷或者水冷方式来达到温度控制效果,精度不够且体积大。本文基于DSP芯片TMS320F2812与数字温度传感器DSl8B20设计出一个温度测量系统,根据测量所得的温度与设定的参量,并利用模糊PID算法计算出控制量,利用该控制量调节由DSP事件管理器产生PWM波的占空比,并作用于半导体制冷器,以达到温度控制效果,实现控制精度高,体积小的温度控制系统。
1 系统硬件组成
1.1 DSl8820功能结构与使用
DSl8820是DALLAS公司生产的一线式数字温度传感器,具有3引脚T0-92小体积封装形式;温度测量范围为-55~+125℃;可编程为9~12位A/D转换精度,测温分辨率可达0.0625℃;CPU只需一根埠线就能与诸多DSl8B20通信,占用微处理器的端口较少,可节省大量的引线和逻辑电路。以上特点使DSl8B20非常适合用于远距离多点温度检测系统中。

DSl8B20的管脚排列如图1所示。DQ为数字信号输入/输出端;GND为接地;VDD为外接供电电源输入端(在寄生电源接线方式时接地)。DS-l8B20中的温度传感器可完成对温度的测量,用16位符号扩展的二进制补码读数形式提供,以O.0625℃/LSB形式表达,其中S为符号位。例如+125℃的数字输出为07DOH,+25.0625℃的数字输出为0191H,-25.0625℃的数字输出为FF6FH,-55℃的数字输出为FC90H。
[page]
1.2 DSP介绍
这里所用DSP为TMS320,它是美国TI公司新推出的低价位、高性能的16位定点DSP,是专为控制应用系统而设计的,其主频可达150 MHz,本系统中所用晶振为45 MHz,片内集成了外围设备接口,主要起控制和计算作用。
1.3 半导体制冷器简介
半导体制冷器是根据帕尔贴效应制成的,由两种不同金属组成一对热电偶,当热电偶迈入直流电流后因直流电通入的方向不同,将在热电偶结点处产生吸热和放热现象。制冷器结构如图2所示。

把一个N型和P型半导体的粒子用金属连接片焊接成一个电偶对。当直流电流从N极流向P极时,上端产生吸热现象,此端称冷端,下端产生放热现象,此端称热端,如果电流方向反过来,则冷热端相互转换。
1.4 硬件连接
DSl8B20与DSP连接主要有两种方式:寄生电源方式和外部供电方式。本文采用外部供电方式,其中18B20的DQ口与F2812的GPIOA0口连接,具体连接如图3所示。

2 温度测量
要进行温度控制,首先要测量所控制目标的温度值,在本系统中,具体使用数字温度传感器DSl8B20与DSP结合,并利用CCS编写程序,本系统开发平台为CCS 2.2,前期安装及芯片设置在此省略,程序流程如图4所示。

DSl8B20的控制包括三种时序:复位、写时序、读时序。
[page]
复位:主机总线在t0时刻发送一个复位脉冲(最短为480μs的低电平信号),接着在t1时刻释放总线并进入接收状态;DS1820在检测到总线的上升沿之后等待15~60μs,接着在t2时刻发出存在脉冲(低电平持续60~240μs)。
写时序:对于DSl8B20的写时序分为写O时序和写1时序两个过程。写O时序和写1时序的要求不同,当要写0时序时,总线要被拉低至少60 μs,保证DSl8B20能够在15~45μs之间正确地采样I/O总线上的“O”电平,当要写1时序时,单总线被拉低之后,在15μs之内就得释放单总线。写数据持续时间应大于60μs且小于120μs,两次写操作时间间隔要大于1μs。
读时序:对于DSl8B20的读时序同样分为读0时序和读1时序两个过程。对于DSl8B20的读时序是从DSP把单总线拉低之后,在15 s之内就得释放单总线,以便让DSl8B20把数据传输到单总线上。DSl8B20在完成一个读时序过程,至少需要60μs才能完成。
需要注意的是,在程序编写时不管是复位,还是读写,都要注意配置GPIOA0端口的状态(输入或输出),同时时序非常重要,本文中的延时都是经过多次测试后总结出来的,根据DSP芯片的晶振不同,延时程序都会改变,否则DSl8B20不会正常工作。
3 温度控制
3.1 脉宽调制PWM输出
TMS320的事件管理??樽芄材苁涑?6路PWM信号,文中仅需要输出一路占空比可调的PWM信号,并设计从PWMl引脚输出该方波信号。文中选用通用定时器1(T1)作为时基;全比较单元1保存调制值;计数方式采用连续增计数模式。PWM占空比值与T1的三角波数据比较,输出PWM信号控制半导体制冷片工作。各寄存器设置如下(高速外设时钟为22.5 MHz):

文中设计的PWM周期为 1.825 ms,TMS320F2812的计数器记数范围为0~5DC。因此当系统装入CMPRl寄存器的值为0或5DCH时,输出恒为高电平或低电平。现以向CMPRl写入1 500为例,PWMl引脚的输出周期为1.825 ms的方波。

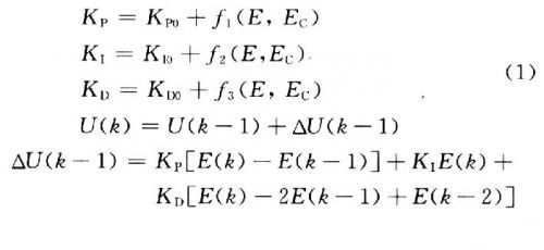
根据前面叙述,用DSl8B20读取温度采样值,再通过参数自整定的Fuzzy-PID算法对数据进行处理:根据E和Ec的状况,由模糊控制规律再通过模糊表推导出△KP,KI,KD,根据式(1)计算出KP,KI,KD的大小,再计算出U的初值和△U,由式(2)实时计算控制量U。通过参数转换,将U转换为PWM参数,修改EvaRegs.CMPRl的数值,改变PWM的占空比,从而控制TEC的制冷/制热功率。
程序流程图如图5所示

3.3 实验结果
完成以上程序编写后,首先利用仿真器进行温度测量模拟,在标准温度计所得室温为31.2℃时,在CCS软件中利用快速观测窗口检测到的温度值为31.187 5℃。通过实验证明,在外界温度为31℃,采用默认设置(稳定温度为25℃)时,该温度控制系统能使被控物体的温度稳定在25℃,温度稳定时间小于100s,精度可达到O.1℃以下,达到了工业控制要求。
4 结语
利用DSP的高速处理能力,结合DSl8B20精准的温度读取能力,以及利用CCS开发出温度控制系统。该温度控制系统中应用了Fuzzy-PID算法。设计目标是:在同样的控制精度条件下,使系统的过渡时间及超调量尽可能减小,以改善控制效果。采用复合控制,使系统能有效抑制纯滞后的影响,当参数变化较大以及有干扰时,仍能取得较好的控制效果。




