中心议题:
- 高阻抗信号测量原理与影响因数分析
- 高阻抗信号测量保护电路设计与分析
空气质量检测、光电信号探测、加速度计、压电传感器以及生物体信号等高阻抗信号测量,易受到来自测量系统输入电阻、输入偏置电流的影响,实际测量系统中主要有与信号路径相并联的元器件如电阻、电容的分流,电缆泄漏电流和印刷电路板寄生漏电流的影响。因此,高阻抗微弱信号测量电路,必须经过精心设计以满足系统对低偏置电流、低噪声和高增益的要求。
1 高阻抗信号测量原理与影响因数分析
高阻抗信号测量,易受到测量系统输入阻抗的分压与系统输入偏置电流的影响。如图1所示,将被测高阻抗信号源与测量系统相连,信号源的戴维宁等效电路由Vs与Rs串联而成。假定测量系统的等效输入电阻为Rin,输入端电压为Vin,由于Rs与Rin的分压,使得输入端电压减小,测量系统的输人端电压为:


假定Rs=1 MΩ,Rin=100 MΩ。当Vs=1 V时,Vin=0.99 V,可以看出,系统输入电阻的负载效应产生1%的误差。实现高精度测量,需要增加测量系统的输入阻抗。
如图1所示,测量系统的偏置电流为Ibias,假定电流正方向为流入测量系统,这一电流将在源电阻Rs上产生误差电压,实际测量系统探测到的输入电压为:
![]()
假定Ibias=1 nA,Rs=10 MΩ。当Vs=1 V时,Vin=0.99 V。此时,输入偏置电流将引起1%的误差。实现高精度测量,需要降低测量系统的输入偏置电流。
从以上分析可以得出,提高测量系统的输入阻抗和减小输入偏置电流对高阻抗信号测量有着重要的意义。测量系统的输入阻抗应当远大于被测信号源的内阻才能满足对测量精确度的要求。
实际测量系统的等效输入阻抗主要包括有信号电缆绝缘电阻、信号调理电路的分流电阻、放大器输入阻抗,以及印刷电路板的寄生电阻。系统的输入偏置电流主要包括有信号调理电路分流电流、信号输入电缆和印刷、电路板上的泄露电流。目前,高输入阻抗、低噪声的FET放大器,其输入阻抗高达1010~1012Ω,输入偏置电流为皮安(pA)量级,电压、电流噪声性能都能满足普遍应用场合。由于理想的高阻值电阻、低漏电流电容往往是难以得到的,从传感器输出的微弱信号,在经过放大之前需要经过各种调理,信号调理电路的设计显得非常重要,它决定了测量系统的性能。如何提高测量系统的输入阻抗,减小输入偏置电流与降低系统噪声成为了高阻抗微弱信号探测的主要考虑因数。这里主要就提高系统输入阻抗和减小输入偏置电流进行研究和分析。
[page]
2 电路设计与分析
这里所指的?;ぃ侵附缏分械牡妥杩菇诘愕缡朴敫咦杩故淙攵说缡平频鹊缡频囊恢旨际?,即通过低阻抗的?;さ缏罚训缏分械妥杩菇诘愕牡缡魄恐评接敫咦杩故淙攵说缡平葡嗟?。这里针对被测信号是源电阻Rs=10 MΩ、交流信号幅值为O.1 mV、直流信号电平为0.1 V的高阻抗微弱交流电压信号。信号源的戴维宁等效电路如图2中左边虚线框所示,为Vs与Rs串联构成,信号调理电路包括高通滤波电路、前级放大电路和?;さ缏?。
由于实际探测信号,频率成分往往较为复杂,有时想要测量的信号,深深地掩埋在其他频率信号噪声中,因此,信号在进入放大器之前,需要经过滤波。本电路需要测量的信号为交流信号,被直流电平所掩盖,因此需要先对其高通滤波,滤波截止频率由被测量信号的带宽决定,通过改变C1,R1的值来改变高通滤波截止频率,这里需要注意的是,理论上电阻R1的阻值越大越好,这样可以提供测量系统的输入阻抗,实际上大阻值的电阻往往是不容易得到的,这里选用阻值为100 MΩ的电阻,高通截止频率为fH=1.6 Hz。
如图2所示,前级信号放大电路采用同相比例运算电路结构,此电路引入电压串联负反馈增大输入电阻,减小输出电阻,其放大倍数A等于:
A=1+R4/R5 (3)

如图2中所示,电路电阻取值分别为:R4=100kΩ,R5=1 kΩ,因此放大倍数A=101倍。这里需要注意同相比例运算电路具有高输入电阻、低输出电阻的优点,但因集成运放有共模输入,为了提高运算精度,应选用高共模抑制比的集成运算放大器。
常规方法测量时,电阻R1的下端直接与地相连,系统的输入阻抗主要取决于电阻R1的值,系统的等效输入阻抗约等于100 MΩ。由以上分析可以得出,其测量误差会达到10%。这么大的误差,在实际应用中是不允许的。通过设计?;さ缏?,可以很好地解决这一问题。
图2中下侧虚线框内的电路为?;さ缏罚臃糯笃鰽1的反相输入端引入信号到?;し糯笃鰽guard的正相输入端,?;し糯笃魇翟蛭缪垢嫫?。电阻R1的低电位端加上保护电位Vguard,当R2>>R3时。在一定频率范围内,?;さ缥唤频扔诟咦杩故淙攵说缥籚in,可以通过调节R2,R3的阻值来改变保护电位的大小。保护电位由?;せ撼宸糯笃魈峁皇怯尚藕旁刺峁缱鑂1的低阻抗端加上?;さ缥缓螅涞缪菇到蟠蠹跣?,流经它的电流也将大大减小。
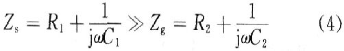
?;さ缏沸枰阈藕怕肪蹲杩乖洞笥诒;さ缏纷杩梗矗?br />

式中:Zs表示信号路径的阻抗,Zg表示?;さ缏纷杩梗旧杓浦?,R2=100 kΩ,C2=1μF,Zs/Zg=1 000。
[page]
高阻抗微弱信号测量中,运算放大器的选择是至关重要的,需要考虑高的输入阻抗、低的输入偏置电流、低噪声等参数。该电路选用AD公司的极低噪声BiFET运算放大器AD743,其输入偏置电流最大值为250 pA,输入阻抗高达1010Ω,CMRR达90 dB。
实际测量系统中,对于输入信号电缆引起的误差,可以选择使用绝缘电阻尽可能高的电缆,另外,在电缆屏蔽层加上?;さ缡芕guard,可以大大降低电缆泄露电流引起的误差。印刷电路板由于污染等原因导致绝缘电阻下降而引起漏电流,当运放同相输入端与电源输入端相邻时,会带来干扰,因此,将?;さ缡萍釉赜谠朔攀淙攵擞胄藕畔咧芪В蟠蠹跣⌒藕怕肪渡系男孤兜缌鳎醋缘缭吹穆┑缌鹘岜槐;さ缏肺?。
3 仿真结果分析
对图2所示的电路,用PSpice仿真软件对电路进行模拟分析,交流扫描的结果如下,各关键节点电压如表1所示,电阻R1的低阻抗端加上了90.121μV的?;さ缪?,流经电阻R1的分流电流为90.031 fA。

如图3所示,图中上半部分为系统输出信号波形,下半部分为系统输入阻抗波形,从图中可以看出,在频率为100 Hz处,测量系统的输出电压值Vout为10.011 mV,交流输入阻抗Rin为1.132 8 GΩ。经计算,系统的放大倍数A为100.998倍。

从上述分析可以得出,采用保护电路大大提高了系统的输入阻抗,减小了系统的输入偏置电流。仿真结果与理论分析相符,保护电路对高阻抗微弱电压信号高精度测量提供保障。
4 结 语
本文从高阻抗信号测量原理出发,分析了测量系统输入阻抗和偏置电流对测量精度的影响,针对高阻抗微弱电压信号,应用保护技术,设计了一种带保护电路的高阻抗微弱信号放大电路,通过PSpice软件仿真分析,验证了该电路可实现对高阻抗信号的高精度测量,为高阻抗信号测量提供了一种有价值的参考方法。


