- 传感器在微量注射泵中的应用
- 使用容栅传感器把机械位移量转变电信号的相位变化量
- 使用光电传感器把发射端和接收端之间光的强弱变化转化为电流的变化
- 使用电阻式压力传感器将被测的非电量转换成电阻值的变化
微量注射泵是临床医疗和生命科学研究中一种经常使用的,长时问进行均匀微量注射的仪器。现今国内外微量注射泵面临的难点是精度不够和成本比较高。国内同类产品采用软件控制注射的精度,这导致仪器容错性很差,并且只使用单一厂家的注射器。而国外同类产品采用电位计控制注射的精度,要达到高的精度则对电位计的要求很高。
传感器是一种能感受或响应规定的被测量物理量,并按一定规律转换成可用信号输出的器件或装置,它可将输入变量转换成可供检测的电信号,并将各种参量送入计算机系统,进行智能监测、控制,是测量系统中的一种前置部件。近年来,传感器的应用正朝着两个方向发展,一是单一功能传感器朝着多用途传感器的综合应用发展;二是传感器与微处理机接口,既改进传感器的测量精度和可靠性,又提高微处理机的运算精度,二者相辅相成。
当前,传感器已广泛用于工业、农业、交通、能源、宇宙空间、资源开发、环境?;?、自然灾害预报、医疗保健以及癌症诊断等各个领域。本文研究了几种传感器在测量中的应用,选取了容栅传感器等传感器用于微量注射泵系统的设计,成功地提高了注射精度,并兼容多个厂家的注射器,增强了微量注射泵的功能。本文将阐述这些传感器在微量注射泵中的应用。

容栅传感器
容栅传感器是一种基于变面积工作原理,可测量大位移的电容式数字传感器,与其它数字式位移传感器,如光栅、感应同步器等相比,具有体积小、结构简单、分辨率和准确度高、测量速度快、功耗小、成本低、对使用环境要求不高等突出的特点,因此在电子测量技术中占有十分重要的地位。
随着测量技术向精密化、高速化、自动化、集成化、智能化、经济化、非接触化和多功能化方向的发展,容栅传感器的应用越来越广泛。本系统中主要是对直线位移的测量,所以采用直线型容栅传感器。容栅传感器的结构非常类似于平行板电容器,它是由一组排列成栅状结构的平行板电容器并联而成的,如果把随时间变化的周期信号,通过电子电路的控制,在同一瞬间以不同的相位分布,分别加载于顺序排列的栅状电容器各个栅极上,则在另一公共极板上,任一瞬间产生的感应信号将与该瞬间加载的激励信号具有相同的相位分布。
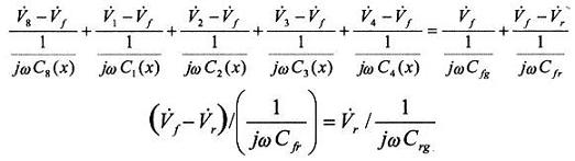
容栅传感器动栅、定栅各极板之间形成的电容的等效电路如图1所示,设C1(x),C2(x),C3(x)……C8(x)为动栅上48块极板与定栅上相应极板所构成的电容量,它是位移x的函数,假设小发射极板与反射极板完全覆盖时两者之间的电容为C0,每一块小发射极板的宽度为w,则由图可知,当0≤x≤w时,C8(x)=C0(x)/w,C1(x)=C2(x)=C3(x)=C0,C4(x)=C0(1-x/w),c5(x)=c6(x)=c7(x)=0。由此可以得出整个量程中两极板之间的电容量随位移x的变化规律。
由图1可以看出,在x为任何值时,动栅上的48块极板中总有一部分与“地”(屏蔽板)形成电容,相应的输入信号源直接接入“地”,对传感器的输出信号不产生影响,可是为了导出φ(x)(φ(x)为传感器的输出信号相对于某一驱动信号的相位移)随位移量x连续变化的统一公式,在推导中不考虑这些极板对“地”形成电容,而仍把它们看作对定栅板形成电容,只不过此时它们的电容量为零而已。由于这些电容量为零,则其阻抗为无穷大。[page]
相应的信号源全部落在这些电容上,同样,对传感器的输出信号无影响。如果给容栅传感器每组发射极板上所加的发射电压V1~V8为8路频率、幅值相同而相邻小极板间相位相差为π/4的正弦交变电压,则在发射极上有电压Vf,在接收极上有电压Vr。应用交流电路理论及基尔霍夫电流定律,解读图l的等效电路,如下:

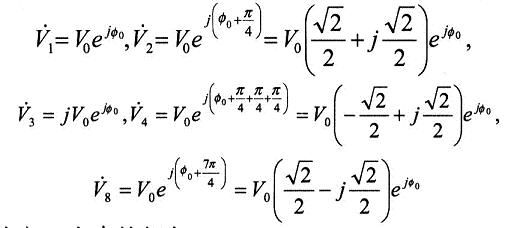
如果用Vo表示各发射极电压的幅值,并取8路信号中的第1路信号的相位为参考值,则有:

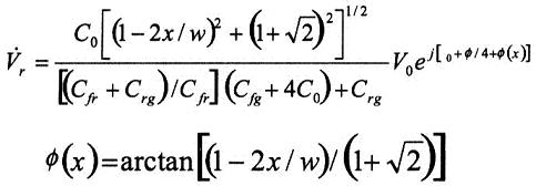
其中φ0为V1的相角。将上述各量及Ci(x)(i=1,2,…,8)代入以上两式,即得

可见,容栅传感器的输出电压是一频率与发射电压相同的正弦电压,其幅值在很小范围内变化,可近似看作一常数,而相位比V1超前了π/4+φ(x)。相位移φ(x)可采用鉴相型测量电路测出,即可得到相对位移x,可见容栅传感器是一种相位跟踪型的位移传感器,这种传感器对输入信号的幅值变化不敏感,故具有较好的抗干扰能力。
在整个测量系统中,容栅传感器的主要作用是把机械位移量转变成电信号的相位变化量,然后送给测量电路进行数据处理。容栅传感器通过精密电压比较器TLC354进行控制,由继电器供电,由CPU89C52提供所需的激励信号,同时接收其感应信号,并通过鉴相型电路测量出激励信号与感应信号的相位差,经过一系列的变化,即可得出活塞移动的长度距离。
[page]
光电开关
在设计中,为了兼容多个厂家的注射器,我们专门考虑了测量注射器直径的问题。最初是选用高精度的CCD光学传感器,但是考虑到主要的功能为检测注射器的直径,而不同型号的注射器直径具有阶跃性的特点,为了降低成本,我们将其换成了光电光电开关是一种电量传感器,它把发射端和接收端之间光的强弱变化转化为电流的变化,即进行电信号→光信号→电信号的转换,以此来达到探测的目的。由于光电开关输出回路和输入回路是电隔离的(即电缘绝),所以它可以在许多场合得到应用。其工作原理如图2所示。

在本系统中我们选用光电开关的型号为HY-301-05,当锁定注射器的阀门被提起,分别提到不同高度时,通过对光电开光的遮拦而读出注射器的直径。
压力传感器
压力传感器是工业实践中最常用的一种传感器,而我们通常使用的压力传感器主要是利用压电效应的压电传感器。目前,压力传感器的种类很多,有振动筒式、石英波登管式、压阻式、应变片式等。本系统中采用的是电阻式压力传感器,其工作原理是将被测的非电量转换成电阻值,通过测量此电阻值达到测量非电量的目的。传统的电阻应变式压力传感器是一种由敏感栅和弹性敏感元件组合起来的传感器,如图3所示。
应变片用粘合剂粘贴在弹性敏感元件上,当弹性敏感元件受到外施压力作用时,将产生应变,电阻应变片将它们转换成电阻变化,再通过电桥电路及补偿电路输出电信号。在产品中我们采用CZA-102的压力传感器,此传感器的芯片具有精度高、漂移小、测试范围大的特点,当注射器的针头的阻力大于正常值时,压力传感器即可检测到电压信号的变化,然后经过放大,再经过模数转换,转换为数字信号。
图4为压力传感器的应用电路图,该电路采用的电桥构成测量电压,是一种具有较高灵敏度的测量方法。无差压时,电桥两臂平等。差压信号加到4个陶瓷压敏电阻上,压敏电阻的阻值随差压而变化,引起电桥失衡。电桥失衡引起电流的变化,通过运放LM2904进行电流的放大在后面接ADC0834模数转换芯片,把模拟信号转化为数字信号,再传输至CPU进行处理。

本文在比较国内外现有微量注射泵存在的不足的基础上,研究了传感器在微量注射泵中的一些新的应用。通过这些应用,成功地提高了注射精度,降低了成本,其适用范围广及功能全面等特点使得市场前景十分广泛。





