桃花源qm花论坛(品茶),凤楼阁论坛官网入口网址,一品楼品凤楼论坛最新动态,风楼阁全国信息2024登录入口

你的位置:首页 > RF/微波 > 正文

信号完整性基?。核蔡杩褂胩匦宰杩雇冀?/h2>

发布时间:2021-10-28 责任编辑:lina

【导读】如果PCB上线条的厚度和宽度不变,并且走线和返回平面间距离不变,那么信号感受到的瞬态阻抗就不变,传输线是均匀的。对于均匀传输线,恒定的瞬态阻抗说明了传输线的特性,称为特性阻抗。


阻抗的均匀稳定,对信号的传输至关重要,所以,本文聊一聊阻抗。


信号完整性基?。核蔡杩褂胩匦宰杩雇冀? width=


瞬态阻抗


信号完整性基础:瞬态阻抗与特性阻抗图解


当信号在传输线上传播时,信号感受到的瞬态阻抗与单位长度电容和材料的介电常数有关,可表示为:


信号完整性基?。核蔡杩褂胩匦宰杩雇冀? width=


这个公式的推导过程如


信号完整性基?。核蔡杩褂胩匦宰杩雇冀? width=


而电流的推导可以由以下式子求得:


信号完整性基?。核蔡杩褂胩匦宰杩雇冀? width=


如果PCB上线条的厚度和宽度不变,并且走线和返回平面间距离不变,那么信号感受到的瞬态阻抗就不变,传输线是均匀的。对于均匀传输线,恒定的瞬态阻抗说明了传输线的特性,称为特性阻抗。


信号完整性基?。核蔡杩褂胩匦宰杩雇冀? width=


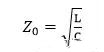
2. 特性阻抗


对于均匀传输线,当信号在上面传播时,在任何一处受到的瞬态阻抗都是相同的。在瞬态阻抗不变时,我们将其称为特性阻抗。


传输线的特性阻抗Z0定义为线上任意点的电压和电流的比值,即Z0=V/I. 由电报方程可以推导出阻抗的经典计算公式:


信号完整性基?。核蔡杩褂胩匦宰杩雇冀? width=


如果PCB上线条的厚度增大或者宽度增加,单位长度电容增加,特性阻抗就变小。同样,走线和返回平面间距离减小,电容增大,特性阻抗也减小。其中,R、L、G、C分别表示单位长度的电阻、电感、电导和电容。通常,因为R和G都比其他项要小得多而忽略不计,特征阻抗近似为


信号完整性基?。核蔡杩褂胩匦宰杩雇冀? width=


重要推导之一:50 欧姆阻抗的计算由来


由特性阻抗的公式,可以看出只要传输线的横截面和材料特性这两个参数保持不变,信号受到的瞬态阻抗就是一个常数。由于信号的的速度取决于材料特性,所以,可以得出传输线单位长度电容和瞬态阻抗的关系。例如,若介电常数为4,单位长度电容为3.3pf/in,则传输线的瞬态阻抗为,


信号完整性基?。核蔡杩褂胩匦宰杩雇冀? width=


重要推导之二:自由空间的特性阻抗


一个很重要的特性阻抗就是自由空间的特性阻抗,也叫自由空间的波阻抗,在EMC中非常重要。自由空间特性阻抗为 。


重要推导之三:单位长度电容与单位长度电感


FR4板材的PCB板上,特性阻抗传输线另一个特性是:


单位长度电容=3.3pF/in

单位长度电感=8.3nH/i


解这些特殊的特性阻抗,对于设计电路板有重要的参考意义,能让我们在制作电路前有个直觉的认识。


免责声明:本文为转载文章,转载此文目的在于传递更多信息,版权归原作者所有。本文所用视频、图片、文字如涉及作品版权问题,请电话或者邮箱editor@52solution.com联系小编进行侵删。


推荐阅读:

基于三相霍尔传感器无刷直流驱动器的Z16FMC微控制器

ADI热电偶测量方案 让测量更精准和灵活

什么是可变电容二极管(变容二极管)?

几款低压升压LED驱动IC

耐辐射FPGA具备高可靠性和可重构性,助力解决航天器设计中的挑战

特别推荐
技术文章更多>>
技术白皮书下载更多>>
热门搜索

关闭

?

关闭