【导读】实验研究发现,射频滤波器在连续波和超宽带脉冲条件下其带外传输性能基本一致,但在带内某些频段,超宽带脉冲环境下滤波器的传递函数远大于1。此外,滤波器在超宽带脉冲下的时域响应还出现了脉冲振荡特征。针对这些现象,从滤波器的非线性无源互调和Q值效应的两个方面,分析了滤波器在超宽带脉冲作用下的响应机理,初步解释了上述现象。
此外,通过不同辐射场强下的测量结果可知,滤波器无源互调还出现了非线性现象,使得测量结果的普适性受到一定限制?;诖莺脑げ饨峁砻?,连续波测量结果的预测波形无论是从能量上还是从峰值功率上都明显小于实测结果。这些都反映出,滤波器在超宽带脉冲环境下的响应机理与在连续波环境下的响应机理明显不同,其预测结果也差异较大。也就是说,连续波测量结果不可用于超宽带脉冲的效应分析和评估。
外部辐射的电磁环境可通过“前门”和“后门”耦合进入电子系统,使其发生干扰、扰乱或损伤。在“后门”耦合效应方面,已研究了多种不同类型的孔缝、线缆、腔体效应等。在“前门”耦合效应方面,主要关注耦合通道中的滤波器、限幅器等防护设备。其中,对于滤波器,人们主要关注其滤波和插损性能,通常采用低功率连续波扫频方法(如矢量网络分析仪)开展相应测试。由此得到的测试结果是否适用于超宽带(Ultra Wide Band,UWB)脉冲电磁环境还需要进一步讨论,这是因为UWB脉冲电磁环境与普通的连续波电磁环境明显不同。主要区别为,UWB电磁环境的场强很高(峰值可达到几十kV/m、耦合到滤波器的前端电压也可达到几kV)、频谱范围很宽(几百MHz)。在这种环境下,滤波器响应的研究很少。采用实验研究了微带线滤波器的对UWB脉冲的抑制性能,但由于耦合的UWB信号强度不强,实验中没有观测到非线性效应。研究结果表明,滤波器在强场、宽谱条件下可能会出现很强的非线性无源互调现象。由此可见,滤波器在UWB脉冲环境下的传输特性可能会与普通连续波环境下的传输特性不同。
本文采用实验和理论方法重点研究射频滤波器在UWB脉冲辐射环境下的响应特性,分析其与矢网扫频测量结果的差异,并讨论这两种测量结果对超宽带信号的预测能力,以判断在UWB脉冲效应研究中,能否直接利用连续波扫频测试方法获得的结果。
1 实验研究
滤波器常用于抑制不需要的电磁干扰信号,工作原理主要是反射和/或吸收系统运行频带之外的信号,是一种非常有效的带外“前门”防护器件,在电磁兼容性设计中有着广泛的应用。本文研究的射频滤波器(型号为JD-10LC1A-E002)主要由电容和电感组成,是一种反射式的集总无源滤波器,可有效抑制瞬态电磁干扰,并且能够承受较高的冲击电压。为了研究其传输性能,本文分别采用矢网和超宽带脉冲进行测量。
1.1 矢网测量
采用矢量网络分析仪的扫频测量方法,可直接测量得到滤波器的传递函数,如图1所示。其带通在为25~112 MHz范围内。

图1 矢网测量得到的传递函数
1.2 超宽带脉冲测量
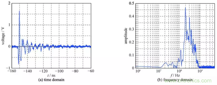
针对滤波器的实际使用情况,在超宽带脉冲测试中,本文采用插入式测试方法,如图2所示。即利用天线将辐射场耦合到插入设备(被测设备)中,然后用示波器测量插入前后的时域信号。图3给出了滤波器插入前测量得到耦合的超宽带脉冲信号。其脉宽大约为1 ns,主要频谱成份集中在100~700 MHz之间。此外,通过测量并计算得到插入前端的峰值电压为2373 V。

图2 滤波器瞬态响应测量示意图

图3 滤波器插入前耦合的超宽带信号
在这个环境下,插入滤波器后测量得到的输出波形如图4所示。由此可见,滤波器插入后的耦合信号发生了明显变化,出现了脉冲振荡,延长了脉冲作用时间,说明滤波器对耦合的超宽带脉冲信号具有腔体的储能特征。此外,根据实验结果还可得到滤波器对超宽带脉冲信号的峰值抑制能力约为31 dB。
根据上述测量结果,利用傅里叶变换和下列传递函数T (ω)的表达式,可得到滤波器在该环境下的传递函数如图5所示。

式中:Vin为滤波器的前端输入电压;Vout为后端输出电压。由图5可见,在超宽带脉冲环境下,滤波器的带外抑制性能依然很好,与矢网测量结果基本一致。但带内的传递函数出现了大于1的情况,说明滤波器对超宽带脉冲的响应有非线性效应。

图4 滤波器插入后耦合的超宽带信号

图5 超宽带脉冲环境测量得到的传递函数
2 响应分析
根据射频滤波器的电磁特性,本文将从非线性无源互调和Q值方面分析上述实验结果,研究射频滤波器对超宽带脉冲的响应。
2.1 非线性无源互调效应
真实的滤波器具有固有的非线性特征,如接触非线性、材料非线性等。在实际应用中,这些非线性会导致滤波器产生无源互调效应。在超宽带脉冲环境下,由于耦合感应的电压更高,频谱更宽,因此将会不可避免的出现这种非线性无源互调响应。通常情况下,这种响应的关系用多项式可表示为

式中:a,b,c,d为多项式系数。在超宽带脉冲作用下,其输入电压可表示为

式中:Vin (ωi)为傅里叶变换频域量。以两频率点为例,将式(2)代入式(1)即可得到非线性无源互调的各阶产物为

式中:m,n为整数,(|m|+|n|)为互调阶数。不同于通信系统主要关注的是两个频点的 3 阶互调产物,本文的超宽带脉冲含有连续频谱,需要考虑的连续谱的互调产物,因此计算难度更大。当互调产物落在带内时,将会通过滤波器,从而导致传递函数大于 1。当互调产物落在通带之外时,滤波器将会抑制其通过。
除此之外,互调产物随着输入功率的变化还将会出现线性-非线性相互作用。针对同一滤波器,图6给出了在超宽带脉冲波形相同、峰值场强较小环境下滤波器的传递函数(耦合到前端的输入电压约为 214 V)。由此可见,在不同场强的超宽带脉冲辐射环境下,滤波器的传输特性也不同。其主要互调产物不但不同,而且还具有非线性。因此,在超宽带脉冲作用下,对滤波器的互调产物预测非常困难。

图6 较小强度的超宽带脉冲环境测量得到的传递函数
2.2 Q值效应
根据滤波器的耦合谐振器理论,它具有一定的Q值。也就是说,滤波器具有储能和谐振输出特征。当超宽带脉冲信号耦合进入滤波器后,滤波器将会存储超宽带脉冲信号的能量,然后逐渐输出。在储能的过程中,将会出现非线性无源互调。在输出过程中,将会出现滤波和振荡,并且振荡周期逐渐趋向于通带频率的周期。此外,脉冲振荡信号的衰减时间与Q值密切相关,其衰减时间常数τ可表示为

式中:ω为角频率。一般情况下,射频滤波器在通带内的Q值约为几十,由此可计算得到衰减时间常数约为10 −7 s量级。另外,由图4可知,经过滤波器后输出的信号时长(最大值的1/e)约3×10−7 s,这与上述的测量结果基本一致。
3 应用分析
通过上述分析可知,滤波器在低功率连续波环境下和高功率超宽带脉冲环境下的响应机理不同,得到的传递函数也不相同。为了进一步分析其在应用上的差异,可分析他们预测的输出电压波形。根据图2中的输入电压V in (t)和图5中传递函数的傅里叶逆变换T (t),利用下式可得预测结果如图7所示。

式中:Vpred预测结果;⊕为卷积运算符。

图7 基于两个传递函数的预测波形与实测波形比较
图7中的实线为实测波形,虚线为基于传递函数的预测波形。由此可见,基于超宽带脉冲测得的传递函数,其预测结果与实测结果基本一致。而基于矢网扫频测得的传递函数,其预测结果无论是从能量上、峰值上,还是振荡特征上都明显小于实测结果。这主要因为矢网测得的传递函数幅度谱明显小于真实的幅度谱,并且在相位上也存在较大差异。以上结果也反映出连续波扫频方法测量的结果不可用于超宽带脉冲耦合效应分析。
4 结论
文中分别在低功率连续波和超宽带脉冲条件下开展了射频滤波器响应的实验研究和理论分析。在超宽带脉冲条件下,该型滤波器能够显著地降低超宽带信号峰值幅度,但是滤波器的时域响应波形出现了脉冲振荡特征,并且其传递函数在带内某些频段远大于1。这主要是滤波器固有的非线性效应和Q值效应引起的,由此导致在超宽带脉冲作用下滤波器出现了非线性无源互调、储能振荡等现象,其响应机理与连续波条件下的响应机理明显不同。另外,基于连续波测量结果预测的超宽谱脉冲激励响应在能量上和峰值功率上都明显小于实测结果。由此可知,在超宽带脉冲效应分析和评估中,如果系统中存在滤波器,则不可采用连续波扫频测试结果进行分析。另外,由于核电磁脉冲与本文研究的超宽带脉冲具有相似特性:宽谱和强场,因此本文的结论同样适用于核爆炸电磁脉冲效应的研究。
本文内容转载自《强激光与粒子束》2020年第3期,版权归《强激光与粒子束》编辑部所有。
陆希成,邱扬,武静,田锦,杨志强,西安电子科技大学,上海航天控制技术研究所,西北核技术研究院
免责声明:本文为转载文章,转载此文目的在于传递更多信息,版权归原作者所有。本文所用视频、图片、文字如涉及作品版权问题,请联系小编进行处理。
推荐阅读:


