桃花源qm花论坛(品茶),凤楼阁论坛官网入口网址,一品楼品凤楼论坛最新动态,风楼阁全国信息2024登录入口

你的位置:首页 > RF/微波 > 正文

走进RF信号链,ADI带你深入理解其特性和性能指标

发布时间:2021-05-25 来源:亚德诺半导体 责任编辑:lina

【导读】从历史的角度来看,就在不久之前,也就是20世纪初,支持RF信号链的RF工程学还是一门新兴的学科。如今,RF技术和射频器件深深根植于我们的生活,没有它们,现代文明可能不会存在。生活中有无数非常依赖RF信号链的示例,这将是我们讨论的焦点。
 
在我们深入探讨之前,我们先来了解RF的实际含义。乍一看,这似乎是一个简单的问题。我们都知道,RF表示射频,此术语的通用定义规定了特定的频率范围:MHz至GHz电磁频谱。但是,如果我们仔细查看其定义并进行比较,就会发现,它们只是对RF频谱的实际边界的定义不同。鉴于我们可能经常在与特定频率无关的其他环境中广泛使用该术语,所以,此术语变得更加令人费解。那么,RF是什么?
 
通过关注RF的突出特性,包括相移、电抗、耗散、噪声、辐射、反射和非线性,可以确立一致的定义基础,涵盖多种含义。这个基础代表了现代包罗万象的定义,不依赖于单个方面或特定数值来区分RF和其他术语。术语RF适用于许多具有构成此定义特性的任何电路或组件。
 
我们已设定了本次探讨的背景,现在可以开始进入正题,分析图1中的通用RF信号链。其中使用分布式元件电路模型来体现电路中的相位偏移,在较短的RF波长下这种偏移不可忽略,因此该集总电路的近似表示不适用于这些类型的系统。RF信号链中可能包括各种各样的分立式组件,如衰减器、开关、放大器、检测器、合成器和其他RF模拟器件,以及高速ADC和DAC。将所有这些组件组合起来用于特定应用,其总体标称性能将取决于这些分立式组件的组合性能。
 
走进RF信号链,ADI带你深入理解其特性和性能指标
图1.一个通用RF信号链。
 
因此,为了设计一个能够满足目标应用的特定系统,RF系统工程师必须能够真正从系统级视角考虑,且对基础的关键概念和原则有一致的理解。这些知识储备非常重要,为此,我们编写了这篇讨论文章,它包含两个部分。第一部分的目标是:简要介绍用于确定RF器件的特性和量化其性能的主要特性和指标。第二部分的目标是:深入介绍可用于针对所需应用开发RF信号链的各种单个组件及其类型。在本文中,我们将重点讨论第一部分,并考虑与RF系统相关的主要特性和性能指标。
 
RF术语简介
 
目前有多种参数用于描述整个RF系统及其分立式??榈奶匦?。根据应用或用例,其中一些特性可能极其重要,其他特性则不太重要或无关紧要。仅通过本文,肯定无法对如此复杂的主题展开全面分析。但是,我们将尝试按照共同的思路,也就是将一系列复杂的相关内容转变为平衡、易于理解的RF系统属性和特性指南,从而简明全面地概述最常见的RF性能。
 
基本特性
 
散射矩阵(或S矩阵)是在描述RF系统行为时需要用到的一个基本术语。我们可以使用S矩阵,将复杂的RF网络表示为简单的N端口黑盒。常见的2端口RF网络(例如放大器、滤波器或衰减器)示例如图2所示,其中Vn+是n端口入射波电压的复振幅,Vn– 是n端口反射波电压的复振幅。2当其所有端口都以匹配负载端接时,我们可以通过散射矩阵来描述该网络,其中的元素(或S参数)根据这些电压波之间的关系来量化RF能量如何通过系统传播。现在,我们使用S参数来表示典型RF网络的主要特性。
 
走进RF信号链,ADI带你深入理解其特性和性能指标
图2.用S矩阵表示的2端口网络。
 
在网络匹配的情况下,S21相当于端口1到端口2的传输系数(S12也可以按类似方法定义)。以对数标度表示的幅度|S21|代表输出功率与输入功率的比值,称为增益或标量对数增益。此参数是放大器和其他RF系统的重要指标,它也可以取负值。负增益表示固有损耗或失配损耗,通常用其倒数表示,即插入损耗(IL),这是衰减器和滤波器的典型指标。
 
如果我们现在考虑同一端口的入射波和反射波,则可以如图2所示来定义S11和S22。当其他端口以匹配负载端接时,这些项相当于相应端口的反射系数|Γ|。根据公式1,我们可以将反射系数的大小与回波损耗(RL)相关联:
 
走进RF信号链,ADI带你深入理解其特性和性能指标
 
回波损耗是指端口的入射功率与源极的反射功率之比。根据我们估算这个比值使用的端口,我们可以区分输入和输出回波损耗?;夭ㄋ鸷氖贾帐欠歉褐?,表示网络的输入或输出阻抗与朝向源极的端口阻抗的匹配程度。
 
需要注意的是,IL和RL与S参数的这种简单关系只有在所有端口都匹配的情况下才有效,这是定义网络本身的S矩阵的前提条件。如果网络不匹配,它不会改变其固有的S参数,但可能会改变其端口的反射系数以及端口之间的传输系数。
 
频率范围和带宽
 
我们描述的所有这些基本量将在频率范围内不断变化,这是所有RF系统的共同基本特性。它定义了这些系统所支持的频率范围,并给我们提供了一个更关键的性能度量——带宽(BW)
 
虽然此术语可能仅指信号特性,但其某些形式可用于描述处理这些信号的RF系统。带宽一般会定义受某一标准限制的频率范围。但是,它可能具有不同的含义,因具体的应用环境而异。为了使我们的论述更加全面,我们来简单定义一下不同的含义:
 
3 dB带宽是信号功率电平超过其最大值一半的频率范围。
瞬时带宽(IBW)或实时带宽是指系统在不需要重新调谐的情况下能够产生或获取的最大连续带宽。
占用带宽(OBW)是包含总集成信号功率特定百分比的频率范围。
分辨率带宽(RBW)一般是指两个频率分量(可继续分解)之间的最小间隔。例如,在频谱分析仪系统中,它是最终滤波器级的频率范围。
 
这只是各种带宽定义中的几个示例;但是,无论其含义如何,RF信号链的带宽很大程度上取决于其模拟前端,以及高速模数转换器或数模转换器的采样速率和带宽。
 
非线性
 
需要指出的是,RF系统的特性不仅会随着频率变化,也会随着信号功率电平而变化。我们在本文开头描述的基本特性通常用小信号S参数表示,没有考虑非线性效应。但是,在一般情况下,通过RF网络的功率电平持续升高通常会带来更明显的非线性效应,最终导致其性能下降。
 
我们在谈论具有良好线性度的RF系统或组件时,通常是指用于描述其非线性性能的关键指标满足目标应用要求。我们来看看这些常用来量化RF系统非线性行为的关键指标。
 
我们首先需要考虑的参数是输出1 dB压缩点(OP1dB),它定义了通用器件从线性模式转换为非线性模式的拐点,即系统增益降低1 dB时的输出功率水平。这是功率放大器的基本特性,用于将该器件的工作电平设置为趋向饱和输出功率(PSAT)定义的饱和电平。功率放大器通常位于信号链的最后一级,因此这些参数通常定义RF系统的输出功率范围。
 
一旦系统处于非线性模式,就会使信号失真、产生杂散频率分量,或者杂散。杂散是相对于载波信号(单位:dBc)的电平进行测量,可以分为谐波和交调产物(参见图3)。谐波是处于基波频率的整数倍位置的信号(例如,H1、H2、H3谐波),而交调产物是非线性系统中存在两个或更多基波信号时出现的信号。如果第一个基波信号位于频率f1,第二个位于f2,则二阶交调产物出现在两个信号的和频和差频位置,即f1 + f2和f2 – f1,以及f1 + f1和f2 + f2(后者也称为H2谐波)。二阶交调产物与基波信号相结合,会产生三阶交调产物,其中两个(2f1 – f2和2f2 – f1)特别重要,由于它们接近原始信号,因此难以滤除。包含杂散频率分量的非线性RF系统的输出频谱表示了交调失真(IMD),这是描述系统非线性度的一个重要术语。
 
走进RF信号链,ADI带你深入理解其特性和性能指标
图3.谐波和交调产物。
 
与二阶交调失真(IMD2)和三阶交调失真(IMD3)相关的杂散分量会对目标信号造成干扰。用于量化干扰严重程度的重要指标为交调点(IP)。我们可以区分二阶(IP2)和三阶(IP3)交调点。如图4所示,它们定义输入(IIP2、IIP3)和输出(OIP2、OIP3)信号功率电平的假设点,在这些点上,相应的杂散分量的功率将达到与基波分量相同的电平。虽然交调点是一个纯数学概念,但它是衡量RF系统对非线性度耐受性的重要指标。
 
走进RF信号链,ADI带你深入理解其特性和性能指标
图4.非线性特性的定义。
 
噪声
 
现在我们来看看每个RF系统固有的另一个重要特性——噪声。噪声是指电信号的波动,包含许多不同方面。根据其频谱及其影响信号的方式以及产生噪声的机制,噪声可以分为许多不同的类型和形式。但是,尽管存在许多不同的噪声源,我们也无需为了描述它们对系统性能的最终影响而深入研究其物理特性。我们可以基于简化的系统噪声模型进行研究,该模型使用单个理论噪声发生器,通过噪声系数(NF)这个重要指标来描述。它可以量化系统所引起的信噪比(SNR)的下降幅度,定义为输出信噪比与输入信噪比的对数比。以线性标度表示的噪声系数称为噪声因子。这是RF系统的主要特性,可以控制其整体性能。
 
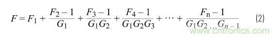
对于简单的线性无源器件,噪声系数等于由|S21|定义的插入损耗。在多个有源和无源组件构成的更复杂的RF系统中,噪声由各自的噪声因子Fi和功率增益Gi来描述,根据Friis公式(假设每级的阻抗都匹配),噪声的影响在信号链中逐级降低:
 
走进RF信号链,ADI带你深入理解其特性和性能指标
 
由此可以得出结论,RF信号链的前两级是系统总体噪声系数的主要来源。这正是在接收器信号链的前端配置噪声系数最低的组件(例如低噪声放大器)的原因。
 
如果我们现在考虑生成信号的专用器件或系统,说到其噪声性能特征,一般是指受噪声源影响的信号特性。这些特性就是相位抖动和相位噪声,用于表示时域(抖动)和频域(相位噪声)中的信号稳定性。具体选择哪个,一般取决于应用,例如,在RF通信应用中,一般使用相位噪声,而在数字系统中,则通常使用抖动。相位抖动是指信号相位内的小波动,相位噪声则是其频谱表示,定义为相对于载波频率不同频偏处,1Hz带宽内的噪声功率,认为在此带宽内功率均衡(参见图5)。
 
走进RF信号链,ADI带你深入理解其特性和性能指标
图5.相位噪声特性示例。
 
多种衍生品
 
到目前为止,我们考虑了多种重要系数,并基于这些系数衍生出很多参数,可用于量化各种应用领域中RF信号链的性能。例如,在噪声和杂散的基础上衍生出动态范围(DR)这个术语,用于描述系统实现所需特性的工作范围。如图4所示,如果该范围的下限由噪声决定,上限由压缩点决定,我们称之为线性动态范围(LDR);如果其上限由最大功率电平(该电平使交调失真变得不可接受)决定,我们称之为无杂散动态范围(SFDR)。需要注意的是,LDR和SFDR的实际定义可能因具体的应用而异。
 
系统能够处理生成具有指定SNR输出信号的最低信号电平定义了接收器系统的另一个重要特性,即灵敏度。它主要由系统噪声系数和信号带宽决定。接收器本身的噪声会对灵敏度和其他系统技术规格造成限制。例如,数据通信系统中的相位噪声或抖动会导致眼图中的星座点偏离其理想位置,使得系统的误差向量幅度(EVM)降低,误码率(BER)随之增高。
 
结论
 
我们可以使用多种特性和性能指标来表征RF信号链。它们涉及不同的系统方面,其重要性和相关性可能因应用而有所不同。虽然我们无法在一篇文章中全面阐述所有这些因素,但如果RF工程师能深入理解本文所探讨的这些基本特性,就可以将它们轻松转化为雷达、通信、测量或其他RF系统等目标应用中的关键要求和技术规格。
 
ADI凭借业界广泛的RF、微波和毫米波解决方案的组合,以及深厚的系统设计专业知识,能够满足各种严苛的RF应用要求。这些从天线到比特的广泛的分立式和全集成ADI解决方案有助于开启从DC到100 GHz以上的整个频谱,并提供出色的性能,支持通信、测试和测量仪器、工业、航空航天和防务等应用实现多种RF和微波设计。
(来源:亚德诺半导体)
 
免责声明:本文为转载文章,转载此文目的在于传递更多信息,版权归原作者所有。本文所用视频、图片、文字如涉及作品版权问题,请电话或者邮箱联系小编进行侵删。
 
要采购滤波器么,点这里了解一下价格!
特别推荐
技术文章更多>>
技术白皮书下载更多>>
热门搜索

关闭

?

关闭