桃花源qm花论坛(品茶),凤楼阁论坛官网入口网址,一品楼品凤楼论坛最新动态,风楼阁全国信息2024登录入口

你的位置:首页 > RF/微波 > 正文

如何减小共模辐射电磁干扰?

发布时间:2020-05-14 责任编辑:lina

【导读】共模辐射是由于接地电路中存在电压降(如下图),某些部位具有高电位的共模电压,当外接电缆与这些部位连接时,就会在共模电压激励下产生共模电流,成为辐射电场的天线。这多数是由于接地系统中存在电压降所造成的。共模辐射通常决定了产品的辐射性能。
 
共模辐射是由于接地电路中存在电压降(如下图),某些部位具有高电位的共模电压,当外接电缆与这些部位连接时,就会在共模电压激励下产生共模电流,成为辐射电场的天线。这多数是由于接地系统中存在电压降所造成的。共模辐射通常决定了产品的辐射性能。
 
如何减小共模辐射电磁干扰?
 
1、共模辐射场
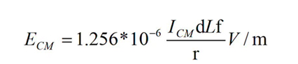
共模辐射主要从电缆上辐射,可用对地电压激励的、长度小于1/4波长的短单极天线来模拟,理想天线上的电流是均匀的,实际天线顶端电流趋于0。实际电缆由于另一端接有一台设备,相当于一个容性负载的天线,即天线的端点接有一块金属板,这时天线上流过均匀电流。设天线指向为最大场强,则得到最大场强计算公式为:
 
如何减小共模辐射电磁干扰?
 
式中,f是信号频率,ICM是电路中的共模电流,L为辐射电路导线长度,r为测试距离。从式中可以看到,共模辐射与电缆的长度L、共模电流的频率f和共模电流强度ICM成正比,与测试距离r成反比。共模辐射模型等效电路如下图所示, 其中,uCM为共模辐射电压,ICM为共模辐射电流,ZCM为线路等效阻抗。
 
如何减小共模辐射电磁干扰?
 
2、减小共模辐射的方法
共模辐射与共模电流的频率f、共模电流ICM及天线(电缆)长度L成正比。因此,减小共模辐射应分别降低频率f,减小电流ICM,较小长度L,而限制共模流是减小共模辐射的基本方法。为此,需要做到以下几点。
 
(1)尽量减小激励此天线的源电压,即地电位;
如下图措施中采用接地平面就能有效地减小接地系统中的地电位。
 
如何减小共模辐射电磁干扰?
 
(2)提供与电缆串联的髙共模阻抗,即增加共模扼流圈;
将两根导线同方向绕制在铁氧体磁环上就构成了共模扼流圈,直流和低频时差模电流可以通过,但对于高频共模电流则呈现很大阻抗,由共模辐射模型等效电路可知,ZCm增大导致共模辐射电流ICM减小,从而共模辐射场强被抑制。
 
如何减小共模辐射电磁干扰?
 
(3)将共模电流旁路到地;
为了将共模电流旁路到地,可以在靠近连接器处,把印刷电路板的接地平面分割出一块,作为“无噪声”的输入/输出地,为了避免输入/输出地受到污染,只允许输入/输出线的去耦电容和外部电缆的屏蔽层与“无噪声”地相连,去耦环路的电感应尽可能小。这样,输入/输出线所携带的印刷电路板的共模电流就被去耦电容旁路到地,外部干扰在还未到达元器件区域时也被去耦电容旁路到地,从而保护了内部元器件的正常工作。
 
如何减小共模辐射电磁干扰?
 
(4)减小电缆的长度;
(5)电缆屏蔽层与屏蔽壳体作360°端接;
 
如何减小共模辐射电磁干扰?
 
本文部分摘自:《电磁兼容机理分析方法与应对策略》
 
 
 
免责声明:本文为转载文章,转载此文目的在于传递更多信息,版权归原作者所有。本文所用视频、图片、文字如涉及作品版权问题,请联系小编进行处理。
 
推荐阅读:
差分线也有差模,共模,奇模,偶模?看完这篇你就明白了
如何优化汽车电池管理系统的精密电池测量精度?
射频PA+FEM导杂散差的原因分析
TI毫米波传感器:边缘智能化为自主工厂提供动力
如何应对FPGA或SoC电源应用面临的小尺寸、低成本挑战?
要采购电缆么,点这里了解一下价格!
特别推荐
技术文章更多>>
技术白皮书下载更多>>
热门搜索

关闭

?

关闭