【导读】电子设备雷击浪涌抗扰度试验的国家标准为 GB/T17626.5(等同于国际标准 IEC61000-4-5 )。
1、电子设备雷击浪涌抗扰度试验标准
电子设备雷击浪涌抗扰度试验的国家标准为 GB/T17626.5(等同于国际标准 IEC61000-4-5 )。
标准主要是模拟间接雷击产生的各种情况:
(1)雷电击中外部线路,有大量电流流入外部线路或接地电阻,因而产生的干扰电压。
(2)间接雷击(如云层间或云层内的雷击)在外部线路上感应出电压和电流。
(3)雷电击中线路邻近物体,在其周围建立的强大电磁场,在外部线路上感应出电压。
(4)雷电击中邻近地面,地电流通过公共接地系统时所引进的干扰。

标准除了模拟雷击外,还模拟变电所等场合,因开关动作而引进的干扰(开关切换时引起电压瞬变),如:
(1)主电源系统切换时产生的干扰(如电容器组的切换)。
(2)同一电网,在靠近设备附近的一些较小开关跳动时的干扰。
(3)切换伴有谐振线路的晶闸管设备。
(4)各种系统性的故障,如设备接地网络或接地系统间的短路和飞弧故障。
标准描述了两种不同的波形发生器:一种是雷击在电源线上感应生产的波形;另一种是在通信线路上感应产生的波形。
这两种线路都属于空架线,但线路的阻抗各不相同:在电源线上感应产生的浪涌波形比较窄一些(50uS),前沿要陡一些(1.2uS);而在通信线上感应产生的浪涌波形比较宽一些,但前沿要缓一些。后面我们主要以雷击在电源线上感应生产的波形来对电路进行分析,同时也对通信线路的防雷技术进行简单介绍。
2、模拟雷击浪涌脉冲生成电路的工作原理

上图是模拟雷电击到配电设备时,在输电线路中感应产生的浪涌电压,或雷电落地后雷电流通过公共地电阻产生的反击高压的脉冲产生电路。4kV 时的单脉冲能量为 100 焦耳。
图中 Cs 是储能电容(大约为 10uF,相当于雷云电容);Us 为高压电源;Rc 为充电电阻;Rs 为脉冲持续时间形成电阻(放电曲线形成电阻);Rm 为阻抗匹配电阻 Ls 为电流上升形成电感。
雷击浪涌抗扰度试验对不同产品有不同的参数要求,上图中的参数可根据产品标准要求不同,稍有改动。
基本参数要求:
(1)开路输出电压:0.5~6kV,分 5 等级输出,最后一级由用户与制造商协商确定;
(2)短路输出电流:0.25~2kA,供不同等级试验用;
(3)内阻:2 欧姆,附加电阻 10、12、40、42 欧姆,供其它不同等级试验用;
(4)浪涌输出极性:正 / 负;浪涌输出与电源同步时,移相 0~360 度;
(5)重复频率:至少每分钟一次。

雷击浪涌抗扰度试验的严酷等级分为 5 级:
1 级:较好?;さ幕肪常?/div>
2 级:有一定?;さ幕肪常?/div>


3 级:普通的电磁骚扰环境、对设备未规定特殊安装要求,如工业性的工作场所;
4 级:受严重骚扰的环境,如民用空架线、未加保护的高压变电所。
X 级:由用户与制造商协商确定。

图中 18uF 电容,可根据严酷等级不同,选择数值也可不同,但大到一定值之后,基本上就没有太大意义。
10 欧姆电阻以及 9uF 电容,可根据严酷等级不同,选择数值也不同,电阻最小值可选为 0 欧姆(美国标准就是这样), 9uF 电容也可以选得很大,但大到一定值之后,基本上就没有太大意义。
3、共模浪涌抑制电路
防浪涌设计时,假定共模与差模这两部分是彼此独立的。然而,这两部分并非真正独立,因为共模扼流圈可以提供相当大的差模电感。这部分差模电感可由分立的差模电感来模拟。
为了利用差模电感,在设计过程中,共模与差模不应同时进行,而应该按照一定的顺序来做。首先,应该测量共模噪声并将其滤除掉。采用差模抑制网络(Differential Mode Rejection Network),可以将差模成分消除,因此就可以直接测量共模噪声了。
如果设计的共模滤波器要同时使差模噪声不超过允许范围,那么就应测量共模与差模的混合噪声。因为已知共模成分在噪声容限以下,因此超标的仅是差模成分,可用共模滤波器的差模漏感来衰减。对于低功率电源系统,共模扼流圈的差模电感足以解决差模辐射问题,因为差模辐射的源阻抗较小,因此只有极少量的电感是有效的。

对 4000Vp 以下的浪涌电压进行抑制,一般只需采用 LC 电路进行限流和平滑滤波,把脉冲信号尽量压低到 2~3 倍脉冲信号平均值的水平即可。电感很容易饱和,因此,L1、L2 一般都采用一种漏感很大的共模电感。
用在交流,直流的都有,通常我们在电源 EMI 滤波器,开关电源中常见到,而直流侧少见,在汽车电子中能够看到用在直流侧。
加入共模电感是为了消除并行线路上的共模干扰(有两线的,也有多线的)。由于电路上两线阻抗的不平衡,共模干扰最终体现在差模上。用差模滤波方法很难滤除。
共模电感到底需要用在哪。共模干扰通常是电磁辐射,空间耦合过来的,那么无论是交流还是直流,你有长线传输,就涉及到共模滤波就得加共模电感。例如:USB 线好多就在线上加磁环。 开关电源入口,交流电是远距离传输过来的就需要加。通常直流侧不需要远传就不需要加了。没有共模干扰,加了就是浪费,对电路没有增益。
电源滤波器的设计通??纱庸材:筒钅A椒矫胬纯悸?。共模滤波器最重要的部分就是共模扼流圈,与差模扼流圈相比,共模扼流圈的一个显著优点在于它的电感值极高,而且体积又小,设计共模扼流圈时要考虑的一个重要问题是它的漏感,也就是差模电感。通常,计算漏感的办法是假定它为共模电感的 1%,实际上漏感为共模电感的 0.5% ~4%之间。在设计最优性能的扼流圈时,这个误差的影响可能是不容忽视的。
漏感的重要性
漏感是如何形成的呢?紧密绕制,且绕满一周的环形线圈,即使没有磁芯,其所有磁通都集中在线圈“芯”内。但是,如果环形线圈没有绕满一周,或者绕制不紧密,那么磁通就会从芯中泄漏出来。这种效应与线匝间的相对距离和螺旋管芯体的磁导率成正比。
共模扼流圈有两个绕组,这两个绕组被设计成使它们所流过的电流沿线圈芯传导时方向相反,从而使磁场为 0。如果为了安全起见,芯体上的线圈不是双线绕制,这样两个绕组之间就有相当大的间隙,自然就引起磁通“泄漏”,这即是说,磁场在所关心的各个点上并非真正为 0。共模扼流圈的漏感是差模电感。事实上,与差模有关的磁通必须在某点上离开芯体,换句话说,磁通在芯体外部形成闭合回路,而不仅仅只局限在环形芯体内。
一般 CX 电容可承受 4000Vp 的差模浪涌电压冲击,CY 电容可承受 5000Vp 的共模电压冲击。正确选择 L1、L2 和 CX2、CY 参数的大小,就可以抑制 4000Vp 以下的共模和差模浪涌电压。但如果两个 CY 电容是安装在整机线路之中,其总容量不能超过 5000P,如要抑制浪涌电压超过 4000Vp,还需选用耐压更高的电容器,以及带限幅功能的浪涌抑制电路。
所谓抑制,只不过是把尖峰脉冲的幅度降低了一些,然后把其转换成另一个脉冲宽度相对比较宽,幅度较为平坦的波形输出,但其能量基本没有改变。
两个 CY 电容的容量一般都很小,存储的能量有限,其对共模抑制的作用并不很大,因此,对共模浪涌抑制主要靠电感 L1 和 L2,但由于 L1、L2 的电感量也受到体积和成本的限制,一般也难以做得很大,所以上面电路对雷电共模浪涌电压抑制作用很有限。

图(a)中 L1 与 CY1、 L2 与 CY2,分别对两路共模浪涌电压进行抑制,计算时只需计算其中一路即可。Ø对 L1 进行精确计算,须要求解一组 2 阶微分方程,结果表明:电容充电是按正弦曲线进行,放电是按余弦曲线进行。但此计算方法比较复杂,这里采用比较简单的方法。
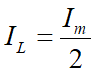
共模信号是一个幅度为 Up、宽度为τ的方波,以及 CY 电容两端的电压为 Uc,测流过电感的电流为一宽度等于 2τ的锯齿波:

流过电感的电流为:

流过电感的最大电流为:

在 2τ期间流过电感的平均电流为:

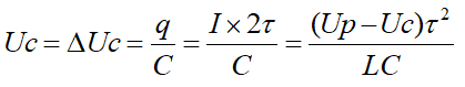
由此可以求得 CY 电容在 2τ期间的电压变化量为:

上面公式是计算共模浪涌抑制电路中电感 L 和电容 CY 参数的计算公式,式中,Uc 为 CY 电容两端的电压,也是浪涌抑制电路的输出电压,?Uc 为 CY 电容两端的电压变化量,但由于雷电脉冲的周期很长,占空比很小,可以认为 Uc = ?Uc,Up 为共模浪涌脉冲的峰值,q 为 CY 电容存储的电荷,τ为共模浪涌脉冲的宽度,L 为电感,C 为电容。
根据上面公式,假设浪涌峰值电压 Up=4000Vp,电容 C=2500p,浪涌抑制电路的输出电压 Uc=2000Vp,则需要电感 L 的数值为 1H。显然这个数值非常大,在实际中很难实现,所以上面电路对雷电共模抑制的能力很有限,此电路还需进一步改进。
差模浪涌电压抑制,主要是靠图中的滤波电感 L1、L2 ,和滤波电容 CX ,L1、L2 滤波电感和 CX 滤波电容等参数的选择,同样可以用下面公式来进行计算。

但上式中的 L 应该等于 L1 和 L2 两个滤波电感之和,C=CX,Uc 等于差模抑制输出电压。一般,差模抑制输出电压应不大于 600Vp,因为很多半导体器件和电容的最大耐压都在此电压附近,并且,经过 L1 和 L2 两个滤波电感以及 CX 电容滤波之后,雷电差模浪涌电压的幅度虽然降低了,但能量基本上没有降低,因为经过滤波之后,脉冲宽度会增加,一旦器件被击穿,大部分都无法恢复到原来的状态。
根据上面公式,假设浪涌峰值电压 Up=4000Vp,脉冲宽度为 50uS,差模浪涌抑制电路的输出电压 Uc=600Vp,则需要 LC 的数值为 14mH×uF。显然,这个数值对于一般电子产品的浪涌抑制电路来说还是比较大的,相比之下,增加电感量要比增加电容量更有利,因此最好选用一种有 3 个窗口、用矽钢片作铁芯,电感量相对较大(大于 20mH)的电感作为浪涌电感,这种电感共模和差模电感量都很大,并且不容易饱和。 顺便指出,整流电路后面的电解滤波电容,同样也具有抑制浪涌脉冲的功能,如果把此功能也算上,其输出电压 Uc 就不能选 600Vp,而只能选为电容器的最高耐压 Ur(400Vp)。
4、雷击浪涌脉冲电压抑制常用器件

避雷器件主要有陶瓷气体放电管、氧化锌压敏电阻、半导体闸流管(TVS)、浪涌抑制电感线圈、X 类浪涌抑制电容等,各种器件要组合使用。
气体放电管的种类很多,放电电流一般都很大,可达数十 kA,放电电压比较高,放电管从点火到放电需要一定的时间,并且存在残存电压,性能不太稳定;氧化鋅压敏电阻伏安特性比较好,但受功率的限制,电流相对比放电管小,多次被雷电过流击穿后,击穿电压值会下降,甚至会失效;
半导体 TVS 管伏安特性最好,但功率一般都很小,成本比较高;浪涌抑制线圈是最基本的防雷器件,为防流过电网交流电饱和,必须选用三窗口铁芯;X 电容也是必须的,要选用容许纹波电流较大的电容。
气体放电管

气体放电管指作过电压?;び玫谋芾坠芑蛱煜呖毓芤焕?,管内有二个或多个电极,充有一定量的惰性气体。气体放电管是一种间隙式的防雷?;ぴ?,它用在通信系统的防雷保护。
放电管的工作原理是气体间隙放电 i 当放电管两极之间施加一定电压时,便在极间产生不均匀电?。涸诖说绯∽饔孟?,管内气体开始游离,当外加电压增大到使极间场强超过气体的绝缘强度时,两极之间的间隙将放电击穿,由原来的绝缘状态转化为导电状态,导通后放电管两极之间的电压维持在放电弧道所决定的残压水平,这种残压一般很低,从而使得与放电管并联的电子设备免受过电压的损坏。
气体放电管有的是以玻璃作为管子的封装外壳.也有的用陶瓷作为封装外壳,放电管内充入电气性能稳定的惰性气体(如氩气和氖气等),常用放电管的放电电极一般为两个、三个,电极之间由惰性气体隔开。按电极个数的设置来划分,放电管可分为二极、三极放电管。
陶瓷二极放电管由纯铁电极、镍铬钴合金帽、银铜焊帽和陶瓷管体等主要部件构成。管内放电电极上涂覆有放射性氧化物,管体内壁也涂覆有放射性元素,用于改善放电特性。
放电电极主要有杆形和杯形两种结构,在杆形电极的放电管中,电极与管体壁之间还要加装一个圆筒热屏,该热屏可以使陶瓷管体受热趋于均匀,不致出现局部过热而引起管断裂。热屏内也涂覆放射性氧化物,以进一步减小放电分散性。在杯形电极的放电管中,杯口处装有钼网,杯内装有铯元素,其作用也是减小放电分散性。
三极放电管也是由纯铁电极、镍铬钴合金帽、银铜焊帽和陶瓷管体等部件构成。与二极放电管不同,在三极放电管中增加了镍铬钴合金圆筒,作为第三极,即接地电极。

主要参数:
(1)直流击穿电压。此值由施加一个低上升速率(dv/dt=100V/s)的电压值来决定。
(2)冲击(或浪涌)击穿电压。它代表放电管的动态特性,常用上升速率为 dv/dt=1kV/us 的电压值来决定。
(3)标称冲击放电电流。8/20us 波形(前沿 8us,半峰持续时间 20us)的额定放电电流,通常放电 10 次。
(4)标准放电电流。通过 50Hz 交流电流的额定有效值,规定每次放电的时间为 1s,放电 10 次。
(5)最大单次冲击放电电流。对 8/20us 电流波的单次最大放电电流。
(6)耐工频电流值。对 8/20us 电流波的单次最大放电电流。对 50Hz 交流电,能经受连续 9 个周波的最大电流的有效值。
(7)绝缘电阻。对 8/20us 电流波的单次最大放电电流。对 50Hz 交流电,能经受连续 9 个周波的最大电流的有效值。
(8)电容。放电管电极间的电容,一般在 2~10pF 之间,是所有瞬变干扰吸收器件中最小的。

金属氧化物压敏电阻



压敏电阻一般都是以氧化锌为主要成分,另加少量的其它金属氧化物(颗粒),如:鈷、猛、铋等压制而成。由于两种不同性质的物体组合在一起,相当于一个 PN 结(二极管),因此,压敏电阻相当于众多的 PN 结串、并联组成。
5、超高浪涌电压抑制电路
实例 1

上图是一个可抗击较强雷电浪涌脉冲电压的电原理图,图中:G1、G2 为气体放电管,主要用于对高压共模浪涌脉冲抑制,对高压差模浪涌脉冲也同样具有抑制能力;VR 为压敏电阻,主要用于对高压差模浪涌脉冲抑制。经过 G1、G2 和 VR 抑制后,共模和差模浪涌脉冲的幅度和能量均大幅度降低。
G1、G2 的击穿电压可选 1000Vp~3000Vp,VR 的压敏电压一般取工频电压最大值的 1.7 倍。
G1、G2 击穿后会产生后续电流,一定要加保险丝以防后续电流过大使线路短路。
实例 2

增加了两个压敏电阻 VR1、VR2 和一个放电管 G3,主要目的是加强对共模浪涌电压的抑制,由于压敏电阻有漏电流,而一般电子产品都对漏电流要求很严格(小于 0.7mAp),所以图中加了一个放电管 G3,使平时电路对地的漏电流等于 0。G3 的击穿电压要远小于 G1、G2 的击穿电压,采用 G3 对漏电隔离后,压敏电阻 VR1 或 VR2 的击穿电压可相应选得比较低,VR1、VR2 对差模浪涌电压也有很强的抑制作用。
实例 3

G1 是一个三端放电管,它相当于把两个二端放电管安装在一个壳体中,用它可以代替上面两个实例中的 G1、G2 放电管。除了二端、三端放电管之外,放电管还有四端、五端的,各放电管的用途也不完全相同。
实例 4

增加了两个压敏电阻(VR1、VR2),主要目的是为了隔断 G1 击穿后产生的后续电流,以防后续电流过大使输入电路短路,但由于 VR1、VR2 的最大峰值电流一般只有 G1 的几十分之一,所以,本实例对超高浪涌电压的抑制能力相对实例 3 要的抑制能力差很多。
实例 5 直接在 PCB 板上制作避雷装置

在 PCB 板上直接制作放电避雷装置,可以代替防雷放电管,可以抑制数万伏共?;虿钅@擞康缪钩寤?,避雷装置电极之间距离一般要求比较严格,输入电压为 AC110V 时,电极之间距离可选 4.5mm,输入电压为 AC220V 时,可选 6mm;避雷装置的中间电极一定要接到三端电源线与 PCB 板连接的端口上。
实例 6 PCB 板气隙放电装置代替放电管

在 PCB 板上直接制作气隙放电装置,正常放电电压为每毫米 1000~1500V,4.5mm 爬电距离的放电电压大约为 4500~6800Vp,6mm 爬电距离的放电电压大约为 6000~9000Vp。
6、各种防雷器件的连接
避雷器件的安装顺序不能搞错,放电管必须在最前面,其次是浪涌抑制电感和压敏电阻(或放电管),再其次才是半导体 TVS 闸流管或 X 类电容及 Y 类电容。


免责声明:本文为转载文章,转载此文目的在于传递更多信息,版权归原作者所有。本文所用视频、图片、文字如涉及作品版权问题,请联系小编进行处理。
特别推荐
- 强强联手!贸泽电子携手ATI,为自动化产线注入核心部件
- 瞄准精准医疗,Nordic新型芯片让可穿戴医疗设备设计更自由
- 信号切换全能手:Pickering 125系列提供了从直流到射频的完整舌簧继电器解决方案
- 射频供电新突破:Flex发布两款高效DC/DC转换器,专攻微波与通信应用
- 电源架构革新:多通道PMIC并联实现大电流输出的设计秘籍
技术文章更多>>
- 瑞典Ionautics新一代HiPIMS设备HiPSTER 25落地瑞士Swiss PVD
- CITE 2026:以科创之钥,启电子信息新局
- 迈来芯单线圈驱动芯片:二十载深耕,实现无代码开发与高能效双突破
- 工业智能化利器:树莓派的多元应用与优势
- 电容选型核心指南:特性、误区与工程实践
技术白皮书下载更多>>
- 车规与基于V2X的车辆协同主动避撞技术展望
- 数字隔离助力新能源汽车安全隔离的新挑战
- 车用连接器的安全创新应用
- Melexis Actuators Business Unit
- Position / Current Sensors - Triaxis Hall
热门搜索






