【导读】很多应用都需要差分信号,包括驱动现代模数转换器(ADC)、通过双绞线电缆传输信号、调理高保真音频信号。由于差分信号在一组特定电源电压下使用较大信号,提高了对共模噪声的抑制能力,降低了二次谐波失真,因而实现了更高的信噪比。由于这一需求,我们需要可将大多数信号链中的单端信号转换为差分信号的电路模块。
图1显示了简单的单端转差分转换器,它使用AD8476精密低功耗完全差分放大器(diff-amp),带有集成精密电阻。差分放大器内部配置的差分增益为1,因此电路的传递函数为:
输出共模电压(VOP + VON)/2由VOCM 引脚上的电压设置。如果允许VOCM引脚浮空,则由于形成电源的电阻分压器的内部1 MΩ电阻,输出共模电压将会浮动至电源电压中间值。电容C1会滤除1 MΩ电阻的噪声,以降低输出共模噪声。由于AD8476的内部激光调整增益设置电阻,因而电路的增益误差最大值仅为0.04%。

图1. 简单的单端转差分转换器。
对于很多应用,图1中的电路已足以用于执行单端转差分的转换。对于需要更高性能的应用,图2显示的单端转差分转换器具有很高输入阻抗,最大输入偏置电流为2 nA,最大失调(RTI)为60 µV,最大失调漂移为0.7 µV/°C。该电路通过将OP1177精密运算放大器(op amp)与AD8476级联,并将AD8476的正输出电压反馈至运算放大器的反相输入端,达到这种级别的性能。这种反馈方式使得运算放大器能够确定配置的精度和噪声性能,因为它将反馈环路内的差分放大器与前面的运算放大器的大开环增益相连。因此,当以输入为基准时,这种大增益可以减少AD8476的误差,包括噪声、失真、失调和失调偏移。

图2. 改进的单端转差分转换器。
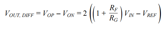
图2中的电路可以用以下公式表示:

联立(1)和(3):
公式3展示了有关电路的两个重要特性:首先,电路的单端转差分增益为2。第二,VREF节点作为输入信号的基准,因此它可用于消除输入信号中的偏置。例如,如果输入信号具有1 V的偏置,则将1 V施加于REF节点可以消除偏置。
如果目标应用需要大于2的增益,则可以修改图2中的电路,如图3所示。在这种情况下,电路的单端转差分增益取决于外部电阻RF和RG如下所示:
(5)和
(6)
图3. 改进的单端转差分转换器,具有电阻可编程增益。
与图2中的电路相似,这种经过改进的单端转差分转换器可将差分放大器放置在运算放大器的反馈环路内部,从而抑制差分放大器的误差。与任何反馈连接相同,我们必须小心地确保系统是稳定的。请参考图2,OP1177和AD8476的级联形成了复合差分输出运算放大器,频率范围的开环增益是运算放大器的开环增益和差分放大器的闭环增益的乘积。因此,AD8476的闭环带宽为OP1177的开环增益添加了一个极点。为确保稳定性,差分放大器的带宽应高于运算放大器的单位增益频率。在图3所示的电路中,这一要求有所放宽,因为电阻反馈网络有效地将OP1177的单位增益频率降低了RG/(RG + RF)倍。由于D8476具有5 MHz的带宽,OP1177具有1 MHz的单位增益频率,因此所示的电路不会出现稳定性问题。图4显示了图2中的电路的输入和输出信号的示波图,由以地为基准的10 Hz、1 V p-p正弦波驱动。为简明起见,VREF节点接地。

图4. 由以地为基准的10 Hz、1 V p-p正弦波驱动时,图2中电路的输入和输出信号。
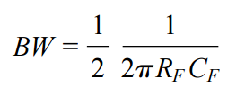
如果使用的运算放大器的单位增益频率远大于差分放大器的带宽,则可插入带宽限制电容CF,如图3所示。电容CF和反馈电阻RF构成积分器,因而整个电路的带宽按以下方式计算:
(7)带宽公式中的½是因为反馈是单端的,而不是差分的,这样会将反馈和带宽减少一半。如果减少的带宽低于差分放大器的闭环带宽,则电路将会非常稳定。这种带宽限制技术也可在增益为2的情况下使用,让RG保持开路。


