【导读】两种滤波器都是数字滤波器。根据冲激响应的不同,将数字滤波器分为有限冲激响应(FIR)滤波器和无限冲激响应(IIR)滤波器。对于FIR滤波器,冲激响应在有限时间内衰减为零,其输出仅取决于当前和过去的输入信号值。对于IIR滤波器,冲激响应理论上应会无限持续,其输出不仅取决于当前和过去的输入信号值,也取决于过去的信号输出值。
1.两种滤波器都是数字滤波器。根据冲激响应的不同,将数字滤波器分为有限冲激响应(FIR)滤波器和无限冲激响应(IIR)滤波器。对于FIR滤波器,冲激响应在有限时间内衰减为零,其输出仅取决于当前和过去的输入信号值。对于IIR滤波器,冲激响应理论上应会无限持续,其输出不仅取决于当前和过去的输入信号值,也取决于过去的信号输出值。
2.FIR:有限脉冲响应滤波器。有限说明其脉冲响应是有限的。与IIR相比,它具有线性相位、容易设计的优点。这也就说明,IIR滤波器具有相位不线性,不容易设计的缺点。而另一方面,IIR却拥有FIR所不具有的缺点,那就是设计同样参数的滤波器,FIR比IIR需要更多的参数。这也就说明,要增加DSP的计算量。DSP需要更多的计算时间,对DSP的实时性有影响。
以下都是低通滤波器的设计。
FIR的设计:
FIR滤波器的设计比较简单,就是要设计一个数字滤波器去逼近一个理想的低通滤波器。通常这个理想的低通滤波器在频域上是一个矩形窗。根据傅里叶变换我们可以知道,此函数在时域上是一个采样函数。通常此函数的表达式为:
sa(n)=sin(n∩)/n∏,但是这个采样序列是无限的,计算机是无法对它进行计算的。故我们需要对此采样函数进行截断处理。也就是加一个窗函数。就是传说中的加窗。也就是把这个时域采样序列去乘一个窗函数,就把这个无限的时域采样序列截成了有限个序列值。但是加窗后对此采样序列的频域也产生了影响:此时的频域便不在是一个理想的矩形窗,而是成了一个有过渡带,阻带有波动的低通滤波器。通常根据所加的窗函数的不同,对采样信号加窗后,在频域所得的低通滤波器的阻带衰减也不同。通常我们就是根据此阻带衰减去选择一个合适的窗函数。如矩形窗、汉宁窗、汉明窗、BLACKMAN窗、凯撒窗等。选择一个具体的窗函数 之后,根据所设计滤波器的参数来计算所需的阶数、此窗函数的表达式。然后用这个窗函数去和采样序列相乘,就可以得到实际滤波器的脉冲响应。
IIR的设计(双线性变换法):
IIR的设计理念是这样的:根据所要设计滤波器的参数去确定一个模拟滤波器的传输函数,然后再根据这个传输函数,通过双线性变换、或脉冲响应不变法来进行数字滤波器的设计。它的设计比较复杂,复杂在于它的模拟滤波器传输函数H(s)的确定。这一点我们可以让软件来实现。然后,我们说一下它的具体实现步骤:首先你要先确定你需要一个什么样的滤波器,巴特沃斯型,切比雪夫型,还是其它什么型的滤波器。当你选定一个型号后,你就可以根据设计参数和这个滤波器的计算公式来确定其阶数、传输函数的表达式。通常这个过程中还存在预扭曲的问题(这只是双线性变换法所需要注意的问题,脉冲响应不变法不存在这种问题)。确定H(S)后,就可以通过双线性变换得到其数字域的差分方程。
3.对于IIR和FIR的比较,有些书上有论述。我引用陈怀琛的“数字信号处理教程--MATLAB释义与实现”:
从性能上来说,IIR滤波器传递函数包括零点和极点两组可调因素,对极点的惟一限制是在单位圆内。因此可用较低的阶数获得高的选择性,所用的存储单元少,计算量小,效率高。但是这个高效率是以相位的非线性为代价的。选择性越好,则相位非线性越严重。FIR滤波器传递函数的极点固定在原点,是不能动的,它只能靠改变零点位置来改变它的性能。所以要达到高的选择性,必须用较高的阶数;对于同样的滤波器设计指标,FIR滤波器所要求的阶数可能比IIR滤波器高5-10倍,结果,成本较高,信号延时也较大;如果按线性相位要求来说,则IIR滤波器就必须加全通网络进行相位校正,同样要大大增加滤波器的阶数和复杂性。而FIR滤波器却可以得到严格的线性相位。
从结构上看,IIR滤波器必须采用递归结构来配置极点,并保证极点位置在单位圆内。由于有限字长效应,运算过程中将对系数进行舍入处理,引起极点的偏移。这种情况有时会造成稳定性问题,甚至产生寄生振荡。相反,FIR滤波器只要采用非递归结构,不论在理论上还是在实际的有限精度运算中都不存在稳定性问题,因此造成的频率特性误差也较小。此外FIR滤波器可以采用快速傅里叶变换算法,在相同阶数的条件下,运算速度可以快得多。
另外,也应看到,IIR滤波器虽然设计简单,但主要是用于设计具有分段常数特性的滤波器,如低通、高通、带通及带阻等,往往脱离不了模拟滤波器的格局。而FIR滤波器则要灵活得多,尤其是他易于适应某些特殊应用,如构成数字微分器或希尔波特变换器等,因而有更大的适应性和广阔的应用领域。
从上面的简单比较可以看到IIR与FIR滤波器各有所长,所以在实际应用时应该从多方面考虑来加以选择。从使用要求上来看,在对相位要求不敏感的场合,如语言通信等,选用IIR较为合适,这样可以充分发挥其经济高效的特点;对于图像信号处理,数据传输等以波形携带信息的系统,则对线性相位要求较高。如果有条件,采用FIR滤波器较好。当然,在实际应用中可能还要考虑更多方面的因素。
不论IIR和FIR,阶数越高,信号延迟越大;同时在IIR滤波器中,阶数越高,系数的精度要求越高,否则很容易造成有限字长的误差使极点移到单位园外。因此在阶数选择上是综合考虑的。
IIR滤波器(切比雪夫滤波)各滤波器比较(IIR和FIR,数字和模拟) 第19,20,21章内容,主要讲IIR滤波器和滤波器的比较
IIR滤波不使用卷积运算,而是用递归(recursive)运算,因此执行速度很快,但在性能上不一定比FIR滤波好。IIR的冲击响应由衰减性指数信号构成。
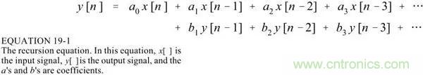
IIR输入输出的递推关系式为:

IIR递归系数和其频率响应之间的关系可以通过Z变换来转换,Z变换在此不涉及。
通过取不同的递归系数(下图中的a和b),就可以实现不同的滤波:


当然这是最简单的应用,递归系数的取法有一定的讲究和公式,这里略了。
推荐阅读:




