桃花源qm花论坛(品茶),凤楼阁论坛官网入口网址,一品楼品凤楼论坛最新动态,风楼阁全国信息2024登录入口

你的位置:首页 > RF/微波 > 正文

超声波技术在智能流量测量中有哪些应用?

发布时间:2019-06-10 责任编辑:lina

【导读】由于超声波换能器的技术改进,使它们更便宜、更精确、尺寸更小,而且随处可以买到,因此超声波技术在流量测量中得到了广泛的应用。先进的集成模拟电路使得超声波换能器波形的实时捕获和处理更加容易,从而可以获得准确的TOF信息。
 
由于超声波换能器的技术改进,使它们更便宜、更精确、尺寸更小,而且随处可以买到,因此超声波技术在流量测量中得到了广泛的应用。先进的集成模拟电路使得超声波换能器波形的实时捕获和处理更加容易,从而可以获得准确的TOF信息。此外,超声波流量计更精确,尺寸更小,而且没有任何活动部件,使其成为制造商更换机械式流量计的绝佳选择。然而,制造商仍然要仔细了解管道设计和换能器安装定位,以确保超声波技术的所有优点在流量测量中得到充分利用。
 
在工业市场上,半导体芯片组在机械设备向机电或纯电子设备的转变中发挥着巨大作用。每个细分市场都可分解为许多应用,芯片制造商会针对每个应用而设计特定的产品。
 
任何应用领域的技术进步通常都包括一些较小的进步,这些技术进步要么是连续的,要么是同时发生。例如,应用程序的自动化通常需要感测一个或多个参数,然后进行处理,最终将导致控制和/或通信。技术先进的传感器可提高一些参数规格,例如更高的性能、更小的尺寸、更低的功耗和成本,以及更高的整体运行效率。在处理、控制类型和与外界通信的类似技术改进将进一步提高这些参数规格。
 
为了使电网更高效、更坚固和更安全,适应现代化需求,这方面的努力将使电子设备使用量的大幅增加,从而为创新、增加功能,以及减小尺寸和成本创造了机会。节能运动要求将传统电网与分布式电网融合,形成互联电网。智能仪表是电力和能源领域很不可或缺的部分,这一细分领域的全球半导体价值每年超过20亿美元。智能仪表进一步分为电表、水表、燃气表和供暖仪表。
 
超声波或超声技术已在一些民用、医疗和军事领域使用了100多年。几乎每个人在其一生中都会用到医疗超声波技术。然而,其最近的应用案例是在工业和汽车领域实现了自动化。我们很惊讶地看到这项技术在一系列真正多样化的应用中已经占据一席之地。超声波技术的无创(无腐蚀性)和非接触式特性使其成为医疗、制药、军事和工厂应用的理想选择。
 
在工业和汽车市场,可以发现超声波技术用于距离测量、占用检测、水平检测、成分分析、流速测量、停车辅助、着陆辅助和后备箱开启辅助等。超声波传感器也称为超声波换能器,可在人类听不到的频率之外工作,其工作频率在20千赫到几兆赫兹之间。
 
大多数超声换能器使用压电材料制造,当施加电脉冲时,就产生机械振动或超声波。一些换能器还能够将机械振动转换回电能。换能器大致分为三种类型:
•发送器将电信号转换为超声波。
•接收器将超声波转换为电信号。
•收发器可以发送和接收超声波。
对接收到的电信号进行后加工处理,就可以得到适合工业或汽车应用的相关的若干分量。其中最常见和最重要的一个分量就是超声波飞行时间(TOF),它是指超声波从传感器发射到目标物体,然后再从物体反射回传感器的往返时间估计。这是在智能仪表中使用超声波技术的基本原理,用来测量用水、煤气或供暖(无论是侵入式还是非侵入式)的流量,并将消费数据呈现给消费者以方便计费。
 
流量测量是对液体或气体流量的量化(体积或速度),测量单位类似于升/分钟(或秒或小时)或平方米/秒。流量计的范围比较广泛,从家庭用的简单公用仪表(煤气/水/供暖),到有害液体或气体(石油、采矿、废水处理、油漆和化学品等)的工业仪表或混合器。
 
在结构上,流量计包括传感器单元、测量单元和控制/通信单元,这每一个单元又可进一步分为机械或电子。图1比较了构成传感器单元的不同类型的流量计传感技术。超声波类型的流量计具有多个优点。
超声波技术在智能流量测量中有哪些应用?
图1:液体或气体流量传感方法的比较
 
采用TOF或超声波的流量计通过计算发射和接收的超声信号的时间差(传播延迟)来测量流量。为了将其应用于流量测量,设计人员使用一对相同的收发器型换能器,分别在上游和下游方向上激励它们。当沿着与流体流动一致的方向传播时,超声波传播得较快,而在与流体流动相反的方向上,超声波传播得较慢。因此,需要至少一对换能器,但有些拓扑结构使用更多换能器。
 
图2示出了超声波检测流量的典型概念,可选择换能器在管道中的放置位置。
 
超声波传感器的选择取决于需要流速测量的介质类型。通常,液体传感使用频谱中较高频率的传感器(> 1 MHz),而气体介质使用频谱低端(<500 kHz)的传感器。此外,用于流量测量的超声波技术要求任何两个换能器之间要有一条直接路径,这需要对容纳换能器的流体管道进行仔细的机械构造设计。超声波技术在有气泡的情况下不起作用,因为气泡可能导致超声信号的显着衰减。
 
超声波技术在智能流量测量中有哪些应用?
图2:流量计的超声波传感和管道内安装位置的常见拓扑结构示例
 
图3示出了一种通用的管道设计,换能器放置在底部,有反射材料以确保超声波信号能够在换能器(图中的XDCR1和XDCR2)之间传播。
 
超声波技术在智能流量测量中有哪些应用?
图3:安装有一对换能器的通用流量管
 
超声波技术在智能流量测量中有哪些应用?
 
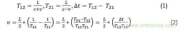
其中Δt是TOF,c是在管道内介质中传播的超声波信号的速度,v是流速,L是管道的传播长度,T12是上游的传播时间,T21是下游的传播时间。
 
有几种方法可以确定TOF信息,但所有方法都需要能够处理换能器的输出。图4显示了一种典型输出。
 
超声波技术在智能流量测量中有哪些应用?
图4:超声换能器受到电激励时的典型响应
 
对这一波形的处理提供了求解方程1和2所需的信息。有几种方法可以处理波形,其中包括时间-数字转换(TDC)、过零检测和波形捕获等。每种方法都各有利弊。
 
芯片供应商使用各种架构来解决超声波流量测量问题。有些厂商使用分立模拟元件,后面跟着数字处理器。其他厂商则试图将模拟元件集成到数字处理器中以形成单芯片方案。在波形捕获方法中,使用快速模拟电路捕获整个超声信号,再使用模数转换器将模拟信号转换为数字信号,然后数字信号处理算法即可获得TOF信息。
 
芯片供应商使用各种架构来解决超声波流量测量问题。有些厂商使用分立模拟元件,后面跟着数字处理器。其他厂商则试图将模拟元件集成到数字处理器中以形成单芯片方案。在波形捕获方法中,使用快速模拟电路捕获整个超声信号,再使用模数转换器将模拟信号转换为数字信号,然后数字信号处理算法即可获得TOF信息。
 
由于超声波换能器的技术改进,使它们更便宜、更精确、尺寸更小,而且随处可见,因此超声波技术在流量测量中得到了广泛的应用。先进的集成模拟电路使得超声波换能器波形的实时捕获和处理更加容易,从而可以获得准确的TOF信息。此外,超声波流量计更精确,尺寸更小,而且没有任何活动部件,使其成为制造商更换机械式流量计的绝佳选择。然而,制造商仍然要仔细了解管道设计和换能器安装定位,以确保超声波技术的所有优点在流量测量中得到充分利用。
 
 
 
 
推荐阅读:
详解AD849x热电偶放大器的特性及应用
分享NTC热敏电阻小知识
智慧工业领域顶级盛会!运动控制与自动化技术研讨会重磅来袭
如何克服电源轨噪声测量中的挑战?
无刷直流电机系统基础知识
要采购传感器么,点这里了解一下价格!
特别推荐
技术文章更多>>
技术白皮书下载更多>>
热门搜索

关闭

?

关闭