桃花源qm花论坛(品茶),凤楼阁论坛官网入口网址,一品楼品凤楼论坛最新动态,风楼阁全国信息2024登录入口

你的位置:首页 > RF/微波 > 正文

电容的Q值和D值是什么?Q值和D值有什么作用?

发布时间:2018-09-14 责任编辑:wenwei

【导读】在做射频的时候,选择电感电容时特别关注他们的Q值,那什么是Q值呢?Q值是什么意思,它为什么重要?品质因数Q:表征一个储能器件(如电感线圈、电容等)、谐振电路所储能量同每周损耗能量之比的一种质量指标。元件的Q值愈大,用该元件组成的电路或网络的选择性愈佳。
 
电容的Q值和D值是什么?Q值和D值有什么作用?
 
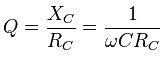
或Q=无功功率/有功功率,或称特性阻抗与回路电阻之比。
 
Q值越高,损耗越小,效率越高;
 
Q 值越高,谐振器的频率稳定度就越高,因此,能够更准确。
 
如何理解Q值和ESR值评估高频贴片电容器的一个重要性能指标是品质因素Q,或者是与其相关的等效串联电阻(ESR)。
 
理论上,一个“完美”的电容器应该表现为ESR为零欧姆、纯容抗性的无阻抗元件。不论何种频率,电流通过电容时都会比电压提前正好90度的相位。实际上,电容是不完美的,会或多或少存在一定值的ESR。一个特定电容的ESR随着频率的变化而变化,并且是有等式关系的。
 
这是由于ESR的来源是导电电极结构的特性和绝缘介质的结构特性。为了模型化分析,把ESR当成单个的串联寄生元。过去,所有的电容参数都是在1MHz的标准频率下测得,但当今是一个更高频的世界,1MHz的条件是远远不够的。一个性能优秀的高频电容给出的典型参数值应该为:200MHz ,ESR=0.04Ω;900MHz, ESR=0.10Ω;2000MHz,ESR=0.13Ω。Q值是一个无量纲数,数值上等于电容的电抗除以寄生电阻(ESR)。Q值随频率变化而有很大的变化,这是由于电抗和电阻都随着频率而变。频率或者容量的改变会使电抗有着非常大的变化,因此Q值也会跟着发生很大的变化。
 
定义电容的品质因数,也就是Q值,也就是电容的储存功率与损耗功率的比:
 
Qc=(1/ωC)/ESR
 
电容的Q值和D值是什么?Q值和D值有什么作用?
 
Q值对高频电容是比较重要的参数。
 
自谐振频率(Self-Resonance Frequency)
 
由于ESL的存在,与C一起构成了一个谐振电路,其谐振频率便是电容的自谐振频率。在自谐振频率前,电容的阻抗随着频率增加而变??;在自谐振频率后,电容的阻抗随着频率增加而变小,就呈现感性;如下图所示:
 
电容的Q值和D值是什么?Q值和D值有什么作用?
 
随着频率升高,电容的不理想模型会更复杂:
 
电容的Q值和D值是什么?Q值和D值有什么作用?
 
(C:电容  Rp:绝缘电阻和介质损耗 Rs:引线/电极电阻  L:引线/电极电感)
 
典型的电容器件等效电路如图1所示。在这个等效电路中,容值C是最主要的部分,串连电阻Rs和电感L是由于器件管脚引线或电极产生的寄生参数。并联电容Rp是反映电容两个管脚之间存。
 
电容的Q值和D值是什么?Q值和D值有什么作用?
 
把以上寄生参数全部考虑之后,阻抗公式如上面公式。
 
由于这些寄生参数的存在,现实中而非理想中的电容器件的总阻抗由下面表达式中的实部和虚部两个部分组成:
 
如果可以忽略电极间的泄漏,即Rp的阻抗无穷大(或远远大    Ls(ESL)     Rs (ESR)    C 于相对于容值C的阻抗),那么上面的等效电路可以进一步简化为下面的3元模型(如图所示)。其中ESL为等效串联电感Ls, ESR为等效串联电阻Rs。
 
电容的Q值和D值是什么?Q值和D值有什么作用?
 
根据这个简化的电路模型,可以得到电容器件总阻抗随频率变化的关系,如图所示。由于等效串联电感LS的存在,随着信号频率f的增加,电容C的容抗XC降低,而极性相反的等效串连电感Ls的感抗XL 增加,在某一个频率点f0,XC=-XL。此时电容器件的总阻抗|Z|=Rs,我们称此频率点f0为自谐振频率(SRF),小于SRF频率时,该器件成电容特性,反之大于SRF频率,器件发生极性转化,成电感特性(如图下图所示,红色相位曲线从-90°跳变到+90°)。
 
电容的Q值和D值是什么?Q值和D值有什么作用?
 
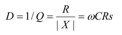
Q值相当于D值的倒数。损失角即D值: 一般电解电容器因为内阻较大故D值较高, 其规格视电容值高低决定, 为0.1-0.24以下. 塑料薄膜电容器则D值较低, 视其材质决定为0.001-0.01以下. 陶瓷电容器视其材质决定, Hi-K type 及S/C type为0.025以下. T/C type其规格以Q值表示需高于400-1000.
 
注:XC=-j/(2πfC);XL=j(2πfL)
 
根据损耗因子D的定义:D=1/Q=R/|X|>0 将前面的公式代入,得到:
 
电容的Q值和D值是什么?Q值和D值有什么作用?
 
如果可以忽略电极间的泄漏,即Rp的阻抗无穷大(或远远大于相对于容值C的阻抗),损耗因子D的计算公式大大简化为:
 
电容的Q值和D值是什么?Q值和D值有什么作用?
 
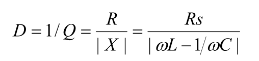
如果信号频率远远小于SRF谐振频率,则X C >>X L , 即X L 可以忽略,则公式进一步简化
 
电容的Q值和D值是什么?Q值和D值有什么作用?
 
即上面提到的:
 
电容的Q值和D值是什么?Q值和D值有什么作用?
 
由图可见,电容器的引线电感将随着频率的升高而降低电容器的特性。如果引线电感与实际电容器的电容谐振,这将会产生一个串联谐振,使总电抗趋向为0W。由于这个串联谐振产生一个很小的串联阻抗,所以非常适合在射频电路的耦合和去耦电路中应用。然而,当电路的工作频率高于串联谐振频率时,该电容器将表现为电感性而不是电容性。
 
 
推荐阅读:
 
探讨3D打印技术在医疗器械领域的应用
全息光波导:了解智能眼镜市场你必须get到的姿势和全球厂商动态
解析三菱电机6.5kV全SiC功率???/a>
工业过渡:实现可信的工业自动化
选择正确的开关:交流和直流大有不同
要采购电容器么,点这里了解一下价格!
特别推荐
技术文章更多>>
技术白皮书下载更多>>
热门搜索

关闭

?

关闭