中心议题:
- 噪声对手机接收器的影响
- 手机接收信道上的噪声源
- 频谱噪声是如何进入手机接收信道
解决方案:
- 手机接收器信道敏感性测试
在对移动电话进行测试时,了解可能的干扰信号源及其在手机前端所表现出来的效果是很重要的,它可以有助于确定接收器测试对RF干扰的感应情况,并找出消除干扰信号的可行方法。本文介绍CDMA手机接收器在测试时遇到的干扰特性,并加以详细分析,提出参考解决方案。
移动电话测试一个主要关心的问题是它在很宽动态范围内的响应情况。CDMA手机与模拟或TDMA手机比较尤其如此,因为它在很宽的带宽范围内具有80dB动态范围,这种大动态范围是CDMA技术的一个独特优点,CDMA手机和基站的发射功率平均起来要比其它技术都低。由于这种手机能收到-104dBm以下的信号,因此规定频谱内的噪声会影响最低性能标准如TIA/EIA-98C中列出的多项测试,所以了解干扰对CDMA手机接收器测试的影响是非常重要的。
1 噪声影响
对手机进行测试时,考虑噪声之前首先应了解手机的结构。手机里既有发射器(TX)又有接收器(RX),发射器发射功率在+30dBm到-55dBm之间,接受器信号接收范围则在-20dBm到-108dBm之间。CDMA手机的发射器和接收器动态范围都很大,超过80dB,最大功率(Ⅲ级手机为+23dBm)和接收器灵敏度(-104dBm)是需要了解的最重要的指标。

CDMA手机测试要进行多项试验以保证手机符合特定的标准要求。例如测试手机发射器功率保证传输功率范围在很宽动态范围内都是精确的,特别要测试手机最大传输功率,确保手机辐射功率靠近最大EIRP(有效各向同性辐射功率)规定的最小值,Ⅲ级手机发射功率范围是+23dBm~+30dBm。与噪声相比由于仪器测量到的功率较大,因此噪声一般在测得的整个功率中只是一个无关紧要的因素。另外手机发射器也要测试看是否符合最低发射要求,CDMA最低功率发射规定手机发射必须小于-50dBm,即使在这种情况下,发射信道噪声影响通常也是微不足道的,不会影响最低功率的测量。测量CDMA最低功率出现的问题一般是由使用的功率计噪声最低限制引起的。
在手机接收信道上,接收器灵敏度测量将会受到噪声的影响。CDMA手机接收器灵敏度规定为-104dBm,手机必须能够以低于0.5%帧差错率对以-104dBm发射的正向链路信号进行解调。Eb/Nt是表示手机准确接收和解调正向链路信号能力的参数,其中Eb是通信信道每位的能量,Nt是接收带宽上的总噪声,这有点像模拟电路中的信噪比(S/N)。当Eb/Nt比率增加时,接收器就能更好地准确解调出信号;而随着Eb/Nt降低,手机则很有可能错误解调正向链路信号。正向链路通信信道的实际位能量要比总正向链路功率-104dBm规定值低15.6dB,换言之,在测量中手机接收的实际信号是-119.6dBm,从这点出发,我们将在混合了Walsh代码的内容里参考正向链路信号。
根据手机接收器设计的容差不同,它对噪声的灵敏度也不相同,通常当手机性能处于边缘值时一般正向链路信道上都会有噪声问题,有很多因素会影响Eb/Nt中的Nt。
2 接收信道上的噪声源
2.1 KTB底噪声
Nt的本质是热噪声,这是环境中永远存在的。热噪声又被称作KTB底噪声,其中:K=波尔兹曼常数(1.38×10-23);T=参考温度(开氏);B=接收器有效噪声带宽
对于工作在1.23MHz带宽的CDMA系统,热噪声约-113dBm。你也许会问,接收器是如何通过-113dBm底噪声来解调-119dBm通信信号的?这是因为CDMA处理增益有将近21dB,可将14.4kbps/9.60kbps转到1.228Mcps速率。
[page]
2.2 元件噪声
收器前端元件(下转换器和放大器)的噪声也会产生Nt,影响手机灵敏度,即正向链路功率测试级所达到的-104dBm规定灵敏度水平。另外其它所有噪声因素都会提高Nt,同时影响灵敏度测试的成功。与处于性能指标边缘的手机比较,具有一定容差的手机有更大空间容纳增加的噪声。
2.3 环境噪声
还有众多来源不明的噪声也会降低正向通信信道的Eb/Nt。如任何有发射功率的电路都会产生频谱噪声,大小取决于信号本身或两个干扰信号互调是否有较高功率落在被测带宽上,还要看它是否和灵敏度测试一起出现。外部单元也会产生干扰噪声,测试800MHz CDMA手机时对AMPS系统尤其如此。甚至有报告指出微波炉也会干扰手机灵敏度测试,有很多生产工厂午餐地点靠近生产线,如果在中午或休息时间发现大量灵敏度问题,你应该知道去哪里查找原因。
2.4 紧密接触下的测试
在生产环境下,有很多测试台根据测试方案在各阶段对手机进行测试,这就是说正在某个阶段测试的手机会干扰另一个在不同阶段测试的手机。一般来讲,被干扰的手机测试的正是灵敏度。记住正向链路设定在-104dBm,主要干扰可能是邻近手机正在接收一个大的正向链路信号,而正好一个手机又在进行灵敏度测试,其正向链路信号设定在-104dBm或以下。将正向链路设定在较高水平的手机测试包括动态范围、最小发射功率和开环范围,一般来讲这些测试的正向链路为-25dBm。

2.5 接收器和发射器耦合
影响Nt大小的另一个噪声源是手机发射器与接收器的交*耦合,这是手机设计的问题,由于接收和发射信道之间没有适当隔离或匹配造成。因为是设计问题,所以解决方法的成本很高而且很困难。正向和反向链路间隔45或80MHz,故分别对单元波段和PCS波段来说干扰在链路之间是高度隔离的,在手机前端会发现从一个链路到另一个链路的串话现象,这是手机前端设计的问题。
3 接收器信道敏感性
既然频谱噪声主要来源上面都已列出,现在我们来看一下这些频谱噪声是如何进入手机接收信道的。
通常我们采用两种方法测试手机,最常用的是通过物理RF连接进行测试,这种连接常被称为“过电”连接,而不常用的测试连接方法则是直接通过手机天线。我们假定这里讨论的所有测试都是通过物理“过电”连接器进行,根据手机生产工艺决定是否连接天线。为了发现最坏的情况,我们假定天线已装配到手机里。
[page]
多数情况下,手机会因屏蔽很差的RF电缆或未连接的天线端口很容易受到噪声影响。一般来讲天线端口是噪声的主要来源,特别是如果天线是在测试时才接上。图3表示正在进行灵敏度试验的手机对另一个正向链路功率-25dBm手机可能产生的影响情况,手机1是正在进行测试的手机,具有较高的-25dBm正向链路功率。由于手机1发射信道功率为-25dBm,假设未连接开关的衰减是20dB,那么通过天线未连接端口泄露出的信号可能高达-45dBm。

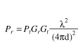
衰减值大小因设计而变化。由于通过天线泄漏的信号是经由空气传播,其传播衰减可用Friis转换方程计算:

其中:Pr=接收功率;Pt=传输功率;Gr=天线传输增益;Gt=天线接收增益;λ=波长;d=Tx与Rx之间的距离
假设在最坏情况下,手机1距离手机2 1米远(假定只有远场效应,近场因素很难考虑),将两个手机平行对准且手机之间没有衰减材料,则手机2的天线会收到一个高达-83.92dBm的信号。这样手机2的接收器就会有-103.92dBm干扰信号,因为假设天线到过电开关的衰减为20dB。这个例子说明了一个手机在另一手机接收信道上产生噪声的一般原因,根据例中所做假设,在实际执行中还有很多情况会引起不同的结果,这也为认识哪种噪声会从一个手机进入另一个手机信道提供了基础。方位、距离、开关衰减、屏蔽、天线设计和实现方式等,这些因素都会在引入噪声的整个转换中发挥作用。
4 几点注意事项
- 如果是通过“过电”连接测试,天线没有连接比连接了的要好。由于手机设计是围绕在所要求频段有效发射和接收信号,如果通过物理过电连接来测试,天线还是能够接收外来信号,加在发射和接收器前端。接上天线后,也可能在测量手机发射端时以较高功率把大信号发射到外面去。在希望测试频率上消除天线端口匹配(从天线连接器上取下天线)后,手机能在较高衰减电平上接收和发射信号。
- 由于外界干扰会进入被测RF电缆与手机的连接,因此使用适当屏蔽的电缆线是很重要的,最好是用有三重屏蔽电缆的N型连接器。
- 测试时对手机进行屏蔽会大大衰减来自其它手机或不明频谱噪声源的外界干扰,前面手机对手机干扰的例子在具体测试需要时确定屏蔽衰减很有用。屏蔽手机不受外来干扰并不是消除噪声的唯一办法,仔细处理所有被测手机频率也能有效地避免干扰,这要求有更加复杂的控制软件使信道数和频率初始化,以消除频率冲突。
- 密切关注正在使用两个相同频率的手机的距离还能实现频率重复使用,手机对手机干扰的例子在确定安, 全重复使用距离上非常有用。
5 本文结论
处理接收器干扰问题时,特别是在生产环境中,找出因灵敏度测试失效而使产量降低的原因不是一件容易的事,工厂的位置、工作时间、测试方式以及其它看似不相关的因素都会造成随机性灵敏度失效。退回一步去认识干扰噪声主要来源和这些噪声源如何影响接收器前端,这样对于解决灵敏度测试通过率低的问题会更加容易一些。




