桃花源qm花论坛(品茶),凤楼阁论坛官网入口网址,一品楼品凤楼论坛最新动态,风楼阁全国信息2024登录入口

你的位置:首页 > 电源管理 > 正文

隔离式 AC-DC 反激电源设计

发布时间:2023-10-24 责任编辑:lina

【导读】LinkSwitch-LP 系列旨在取代手机/无绳电话、PDA、数码相机和便携式音频播放器等应用中输出功率 < 2.5 W 的低效线频线性变压器电源。LinkSwitch-LP 还可用作白色家电等应用中的辅助电源。


LinkSwitch-LP 系列旨在取代手机/无绳电话、PDA、数码相机和便携式音频播放器等应用中输出功率 < 2.5 W 的低效线频线性变压器电源。LinkSwitch-LP 还可用作白色家电等应用中的辅助电源。

LinkSwitch-LP 将高压功率 MOSFET 开关与 ON/OFF 控制器集成在一个设备中。它完全由漏极引脚自供电,具有低 EMI 的抖动开关频率,并且具有全面的故障?;?。自动重启可限制过载和输出短路条件下的器件和电路耗散,而迟滞过温?;せ嵩谌裙收掀诩浣媚诓?MOSFET。EcoSmart 技术使设计能够轻松实现 < 150 mW 的空载功耗,满足能源效率要求。

LinkSwitch-LP 的设计目的是在输出功率低于 2.5 W 时无需初级侧钳位电路,从而显着减少组件数量和总系统成本。图 1 显示了基于 LinkSwitch-LP 的 2 W 电源,不带初级侧钳位。LinkSwitch-LP 系列经过优化,当变压器上的辅助或偏置绕组提供反馈时,可提供近似的 CV/CC 输出特性。这非常适合取代工频变压器的应用,提供兼容的输出特性,但过载、短路电流和输入线电压变化较小。


 LinkSwitch-LP 系列旨在取代手机/无绳电话、PDA、数码相机和便携式音频播放器等应用中输出功率 < 2.5 W 的低效线频线性变压器电源。LinkSwitch-LP 还可用作白色家电等应用中的辅助电源。  LinkSwitch-LP 将高压功率 MOSFET 开关与 ON/OFF 控制器集成在一个设备中。它完全由漏极引脚自供电,具有低 EMI 的抖动开关频率,并且具有全面的故障保护。自动重启可限制过载和输出短路条件下的器件和电路耗散,而迟滞过温?;せ嵩谌裙收掀诩浣媚诓?MOSFET。EcoSmart 技术使设计能够轻松实现 < 150 mW 的空载功耗,满足能源效率要求。  LinkSwitch-LP 的设计目的是在输出功率低于 2.5 W 时无需初级侧钳位电路,从而显着减少组件数量和总系统成本。图 1 显示了基于 LinkSwitch-LP 的 2 W 电源,不带初级侧钳位。LinkSwitch-LP 系列经过优化,当变压器上的辅助或偏置绕组提供反馈时,可提供近似的 CV/CC 输出特性。这非常适合取代工频变压器的应用,提供兼容的输出特性,但过载、短路电流和输入线电压变化较小。     在无钳位设计中使用 LinkSwitch-LP 的基本电路原理图。  快速开始    LinkSwitch-LP 反激式设计流程图


在无钳位设计中使用 LinkSwitch-LP 的基本电路原理图。

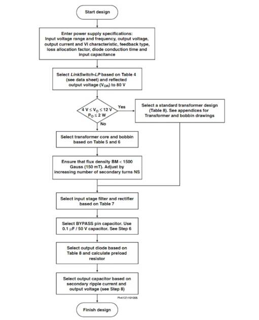
快速开始


 LinkSwitch-LP 系列旨在取代手机/无绳电话、PDA、数码相机和便携式音频播放器等应用中输出功率 < 2.5 W 的低效线频线性变压器电源。LinkSwitch-LP 还可用作白色家电等应用中的辅助电源。  LinkSwitch-LP 将高压功率 MOSFET 开关与 ON/OFF 控制器集成在一个设备中。它完全由漏极引脚自供电,具有低 EMI 的抖动开关频率,并且具有全面的故障?;?。自动重启可限制过载和输出短路条件下的器件和电路耗散,而迟滞过温保护会在热故障期间禁用内部 MOSFET。EcoSmart 技术使设计能够轻松实现 < 150 mW 的空载功耗,满足能源效率要求。  LinkSwitch-LP 的设计目的是在输出功率低于 2.5 W 时无需初级侧钳位电路,从而显着减少组件数量和总系统成本。图 1 显示了基于 LinkSwitch-LP 的 2 W 电源,不带初级侧钳位。LinkSwitch-LP 系列经过优化,当变压器上的辅助或偏置绕组提供反馈时,可提供近似的 CV/CC 输出特性。这非常适合取代工频变压器的应用,提供兼容的输出特性,但过载、短路电流和输入线电压变化较小。     在无钳位设计中使用 LinkSwitch-LP 的基本电路原理图。  快速开始    LinkSwitch-LP 反激式设计流程图
LinkSwitch-LP 反激式设计流程图


免责声明:本文为转载文章,转载此文目的在于传递更多信息,版权归原作者所有。本文所用视频、图片、文字如涉及作品版权问题,请联系小编进行处理。


推荐阅读:

选择适用于汽车应用的基准电压

使用一种高度集成的 ToF 位置传感器进行精确的距离测量

测量信号源相位噪声

射频信号链的原位非线性校准

全志的芯片为什么能覆盖到各行各业?专访全志科技集团副总裁胡东明


特别推荐
技术文章更多>>
技术白皮书下载更多>>
热门搜索

关闭

?

关闭